142. 环形链表 II

137 阅读1分钟

题目描述

给定一个链表,返回链表开始入环的第一个节点。 如果链表无环,则返回 null。
为了表示给定链表中的环,我们使用整数 pos 来表示链表尾连接到链表中的位置(索引从 0 开始)。 如果 pos 是 -1,则在该链表中没有环。注意,pos 仅仅是用于标识环的情况,并不会作为参数传递到函数中。

说明:不允许修改给定的链表。
进阶:你是否可以使用 O(1) 空间解决此题?  

示例

示例 1:

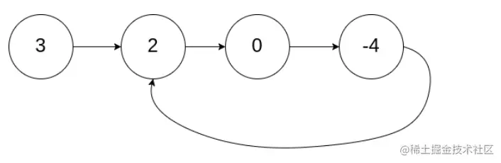
截屏2021-08-22 下午3.52.33.png 输入:head = [3,2,0,-4], pos = 1
输出:返回索引为 1 的链表节点
解释:链表中有一个环,其尾部连接到第二个节点。

来源:力扣(LeetCode)
链接:leetcode-cn.com/problems/li…

实现

/**
 * Definition for singly-linked list.
 * struct ListNode {
 *     int val;
 *     struct ListNode *next;
 * };
 */
struct ListNode *detectCycle(struct ListNode *head)
{
    if (head == NULL || head->next == NULL) {
        return NULL;
    }
    struct ListNode *fast = head;
    struct ListNode *slow = head;
    
    // 判断是否有环,fast能指向NULL就说明没有环
    while (true) {
        if (fast == NULL || fast->next == NULL) {    // 没有环
            return NULL;
        }
        fast = fast->next->next;
        slow = slow->next;
        if (fast == slow) {    // 两者相遇
            break;
        }
    }

    // 此时fast与slow相遇,将fast置为head
    fast = head;
    while (fast != slow) {
        fast = fast->next;
        slow = slow->next;
    }

    // 相遇的时候就是入口
    return fast;
}