最长公共子序列问题 | 算法练习系列

256 阅读1分钟

这是我参与8月更文挑战的第21天,活动详情查看:8月更文挑战

前言

今天来一道最长公共子序列问题的题目,这道题在好久以前就接触过了,今天分享给掘金的小伙伴们,话不多说,咱直接上题目

题目描述

给出两个字符串A B,求A与B的最长公共子序列(子序列不要求是连续的)。 比如两个串为:

abcicba abdkscab

ab是两个串的子序列,abc也是,abca也是,其中abca是这两个字符串最长的子序列。 输入

第1行:字符串A 第2行:字符串B (A,B的长度 <= 1000)

输出

输出最长的子序列,如果有多个,随意输出1个。

输入示例

abcicba

abdkscab

输出示例

abca

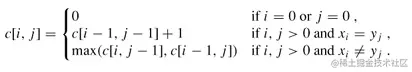
求解过程:引进一个二维数组c[][],用c[i][j]记录X[i]与Y[j] 的LCS 的长度,b[i][j]记录c[i][j]是通过哪一个子问题的值求得的,以决定搜索的方向。 我们是自底向上进行递推计算,那么在计算c[i,j]之前,c[i-1][j-1],c[i-1][j]与c[i][j-1]均已计算出来。此时我们根据X[i] = Y[j]还是X[i] != Y[j],就可以计算出c[i][j]。

递归表达式为:

image.png

回溯输出最长公共子序列过程:

image.png

算法分析

由于每次调用至少向上或向左(或向上向左同时)移动一步,故最多调用(m + n)次就会遇到i = 0或j = 0的情况,此时开始返回。返回时与递归调用时方向相反,步数相同,故算法时间复杂度为o(m + n)。

代码如下

#include<iostream>
#include<iomanip>
#include <string.h>
using namespace std;
long int c[1001][1001];
int main()
{
    string a,b;
    char d[1000];
    long long int n1,n2,i,j,k;
    cin>>a>>b;
    //n1=strlen(a);strlen(用于数组中) 
    //n2=strlen(b);
    n1=a.size();
    n2=b.size();
    k=0;
    for(i=1;i<=1000;i++){c[0][i]=0;c[i][0]=0;}
    for(i=1;i<=n1;i++)
        for(j=1;j<=n2;j++)
            c[i][j]=(a[i-1]==b[j-1])?(c[i-1][j-1]+1):max(c[i][j-1],c[i-1][j]);
             for(i=n1,j=n2;i>=1&&j>=1;)
                {
                    if(a[i-1]==b[j-1])
                    {
                        d[k]=a[i-1];
                        k++;
                        i--;
                        j--; 
                    }
                    else
                    {
                        if(c[i][j-1]>c[i-1][j])//也可以等于,无所谓,等于的话回溯路线会有所改变 
                        {
                            j--;
                        }
                        else
                        {
                            i--;
                        }
                    }
                }
                for(i=k-1;i>=0;i--)cout<<d[i];
                cout<<endl;
                return 0;
}

总结

今天这道题目有些难度,虽然是之前做过的题也回想了好久,这道题的核心是找出递归表达式,然后就好办了,分享给大家,gogogo