考研数据结构 第6章图|图的存储结构1.邻接矩阵法2.邻接表法

1,475 阅读3分钟

这是我参与8月更文挑战的第21天,活动详情查看:8月更文挑战

图的存储结构

1.邻接矩阵法

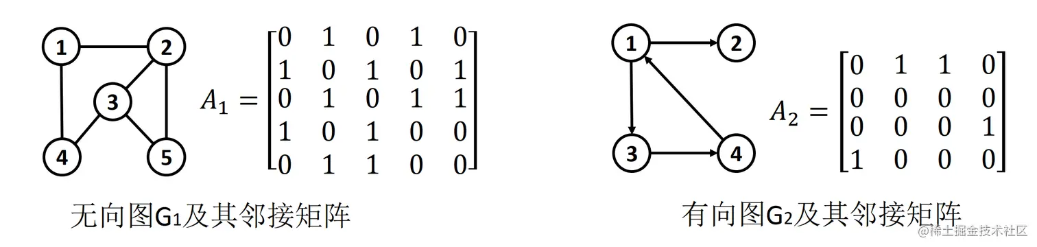
用一个一维数组存储图中顶点的信息,用一个二维数组存储图中边的信息, 存储顶点之间邻接关系的二维数组称为邻接矩阵
对非带权图,结点数为n的图G的邻接矩阵A是n×n。

image.png

image.png 用一个一维数组存储图中顶点的信息,用一个二维数组存储图中边的信息, 存储顶点之间邻接关系的二维数组称为邻接矩阵
对带权图,结点数为n的图G的邻接矩阵A是n×n。

image.png

image.png

图的邻接矩阵存储结构定义代码

#define  MaxVertexNum  100        //顶点数目的最大值
typedef  char  VertexType;            // 顶点的数据类型
typedef int EdgeType; //带权图中边上权值的数据类型 
typedef  struct{
VertexType Vex[MaxVertexNum]; //顶点表
EdgeType  Edge[MaxVertexNum][MaxVertexNum];  //邻接矩阵,边表 
int  vexnum,arcnum;                               //图的当前顶点数和弧数
}MGraph;

用一个一维数组存储图中顶点的信息,用一个二维数组存储图中边的信息, 存储顶点之间邻接关系的二维数组称为邻接矩阵

注意

  • 无向图的邻接矩阵是对称矩阵,对规模较大的邻接矩阵可使用压缩存储
  • 邻接矩阵表示法的空间复杂度是O(𝑛2),其中n为图的顶点数𝑉
  • 对无向图,邻接矩阵的第i行(或第i列)非零元素(或非∞元素)的个数,正好是第i个顶点的度TD(𝑉𝑖)
  • 对有向图,邻接矩阵的第i行(或第i列)非零元素(或非∞元素)的个数,正好是第i个顶点的出度OD(𝑉𝑖)(或入度ID(𝑉𝑖))
  • 邻接矩阵法存储图,确定图中任意两个顶点之间是否有边相连只需O(1)时间复杂度
  • 但要确定图中有多少条边,则必须遍历整个二维数组,时间复杂度为O(𝑛2)
  • 稠密图适合使用邻接矩阵的存储表示

2.邻接表法

对图G中的每个顶点𝑣𝑖建立一个单链表,第i个单链表中的结点表示依附于顶点𝑣𝑖的边(对有向图是以顶点𝑣𝑖为尾的弧),这个单链表称为顶点𝑣𝑖的边表(对有向图称为出边表)
邻接表中有两种结点:顶点表结点和边表结点

无向图邻接表法

image.png

有向图邻接表法

image.png

图的邻接表法存储结构定义代码

#define  MaxVertexNum  100     //图中顶点数目的最大值
typedef  struct  ArcNode{            //边表结点
int  adjvex;                              //该弧指向的顶点位置
struct  ArcNode  *next;        //指向下一条弧的指针 
//InfoType  info;                    //网的权值
}ArcNode;
typedef   struct  VNode{             //顶点表结点
VertexType  data;                 //顶点信息
ArcNode  *first;                    //指向第一条依附于该顶点的弧的指针
}VNode,AdjList[MaxVertexNum]; 
typedef  struct{
AdjList  vertices; //邻接表
int  vexnum,arcnum;        //图的顶点数与弧数
}ALGraph;

注意

  • 对无向图,所需存储空间为O(|V|+2|E|)
  • 对有向图,所需存储空间为O(|V|+|E|)
  • 对稀疏图采用邻接表表示可极大地节省存储空间
  • 对一给定顶点找它所有邻边,邻接表中只需O(1)时间复杂度,在邻接矩阵中,相同操作需要扫描一行,时间复杂度为O(n)
  • 若要确定给定的两顶点之间是否存在边,邻接矩阵只需要O(1)的时间复杂度,邻接表中则要查对应结点的边表,效率较低
  • 对有向图的邻接表表示,求一给定顶点的出度只需扫描相应的边表,但求其入度需要遍历整个邻接表
  • 图的邻接表表示不唯一,这是因为每个顶点对应的单链表中各边结点的链接次序可以是任意的