分治(详解残缺棋盘 —— Java代码实现)

623 阅读3分钟

这是我参与8月更文挑战的第21天,活动详情查看:8月更文挑战

分治

总体思想

  • 将要求解的较大规模的问题分割成k个更小规模子问题
  • 对这k个子问题分别求解。如果子问题的规模仍然不够小,则再划分为k为子问题,如此递归进行下去,直到问题规模足够小,很容易求出其解为止
  • 将求出的小规模的问题的解合并为一个更大规模的问题的解,自底向上逐步求出原来的问题的解

使用条件

  • 该问题的规模缩小到一定的程度就可以容易地解决
  • 该问题可以分解为若干个规模较小的相同问题,即该问题具有最优子结构性质
  • 利用该问题分解出的子问题的解可以合并为该问题的解
  • 该问题所分解出的各个子问题是相互独立的,即子问题之间不包含公共的子问题

能否利用分治法完全取决于子问题是否具有这条特征,如果具备了前两条特征,而不具备第三条特征,则可以考虑贪心算法或动态规划

基本步骤

divide-and-conquer(P) {
	if (|P| <= n0) abhoc(P);  // 解决小规模的问题
	divide P into smaller subinstances P1, P2 ,... ,Pk  // 分解问题
	for (i = 1; i <= k; i++) {
		yi = divide-and-conquer(Pi);  // 递归的解各子问题
		return merge(y1, ... ,yk)  // 将各子问题的解合并为原问题的解
	}
}

案例

覆盖残缺棋盘

  • 在一个2k×2k 个方格组成的棋盘中,恰有一个方格与其他方格不同,称该方格为一特殊方格,且称该棋盘为一特殊棋盘。
  • 用 (n2) / 3个三重格放置在 n × n 的缺陷棋盘上,正好能够覆盖所有方格

具体步骤:

  • 划分为四个小棋盘

  • 其中一个是 4 × 4 缺陷棋盘

  • 在其他三个 4 × 4 棋盘都都相邻的拐角上放一个三格板,使它们也成为缺陷棋盘

  • 递归地覆盖四个4×4缺陷棋盘

  • 在其它三个 4 × 4 棋盘都相邻的拐角上放一个三格板,使它们也成为缺陷棋盘。

Java代码实现

package Chess;

public class Chess {
	// 表示棋盘
	private int[][] board;
	// 表示棋盘的大小为2的多少次方
	private int boardSize;
	// 棋盘中特殊方格的位置(行号,列号)
	private int dr, dc;
	private int tile = 1;
	
	public Chess() {
		board = new int[1][1];
		dr = 0;
		dc = 0;
		boardSize = 0;
	}
	
	public Chess(int r, int c, int s) {
		int n;
		n = (int) Math.pow(2, s);
		if (n <= r || n <= c)
			System.out.println("初始化参数错误!");
		else {
			board = new int[n][n];
			dr = r;
			dc = c;
			boardSize = s;
		}
	}
	
	public void Print() {
		for (int i = 0; i < Math.pow(2, this.boardSize); i++) {
			for (int j = 0; j < Math.pow(2, this.boardSize); j++) {
				System.out.printf("%3d|", this.board[i][j]);
			}
			System.out.println();
		}
	}
	
	public static void main(String[] args) {
		// 2^2*2^2棋盘, 假设特殊方格位置为(3, 3)
		Chess c1 = new Chess(3, 3, 2);
		c1.chessBoard(0, 0, c1.dr, c1.dc, (int)Math.pow(2, c1.boardSize));
		c1.Print();
	}
	
	
	/**
	 * @param tr:棋盘左上角方格的行号
	 * @param tc:棋盘左上角方格的列号
	 * @param dr:特殊方格所在的行号
	 * @param dc:特殊棋盘所在的列号
	 * @param size:2^k, 棋盘的规格为 2^k*2^k
	 **/
	public void chessBoard(int tr, int tc, int dr, int dc, int size) {
		if (size == 1) return;
		
		// t: L型骨牌号,s分割棋盘
		int t = tile++;
		int s = size / 2;
		
		// 覆盖左上角棋盘
		if (dr < tr + s && dc < tc + s) {
			// 特殊方格在此棋盘中
			chessBoard(tr, tc, dr, dc, s);
		} else { 
			// 此棋盘中无特殊方格则用t号L型骨牌覆盖右下角
			board[tr + s - 1][tc + s - 1] = t;
			// 覆盖其余方格
			chessBoard(tr, tc, tr + s - 1, tc + s - 1, s);
		}
		
		// 覆盖右上角子棋盘
		if (dr < tr + s && dc >= tc + s) {
			// 特殊方格在此棋盘中
			chessBoard(tr, tc + s, dr, dc, s);
		} else {
			// 无特殊方格,用t号骨牌覆盖左下角
			board[tr + s - 1][tc + s] = t;
			chessBoard(tr, tc + s, tr + s - 1, tc + s, s);
		}
		
		// 覆盖左下角棋盘
		if (dr >= tr + s && dc < tc + s) {
			chessBoard(tr + s, tc, dr, dc, s);
		} else {
			// 无特殊方格,用t号骨牌覆盖右上角
			board[tr + s][tc + s - 1] = t;
			chessBoard(tr + s, tc, tr + s, tc + s - 1, s);
		}
		
		// 覆盖右下角棋盘
		if (dr >= tr + s  && dc >= tc + s) {
			// 特殊方格在此棋盘中
			chessBoard(tr + s, tc + s, dr, dc, s);
		} else {
			// 无特殊方格,用t号骨牌覆盖左上角
			board[tr + s][tc + s] = t;
			chessBoard(tr + s, tc + s, tr + s, tc + s, s);
		}
	}
}

  2|  2|  3|  3|
  2|  1|  1|  3|
  4|  1|  5|  5|
  4|  4|  5|  0|

大整数的乘法

  • 小学的方法:效率太低 O(n2)
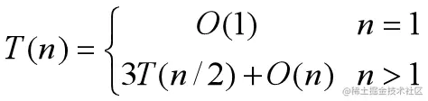
  • 分治法: 在这里插入图片描述 X = A × 2n/2 + B Y = C × 2n/2 + D XY = (A × 2n/2 + B)(C × 2n/2 + D)      =AC × 2n + (AD + CB) × 2n/2 + BD 在这里插入图片描述 实质上没有改进 再次进行改进: XY = AC × 2n + (AD + CB) × 2n/2 + BD      =AC × 2n + ((A - B)(D - C) + AC + BD) × 2n/2 + BD 这样只需进行3次 n/2 位乘法 在这里插入图片描述 T(n) = O(nlog3) = O(n1.59) (有了较大的改进

如果将大整数分成更多段,用更复杂的方式把它们组合起来,将有可能得到更优的算法

Strassen矩阵乘法

在这里插入图片描述 易知,时间复杂度为 O(n3) 分治法:

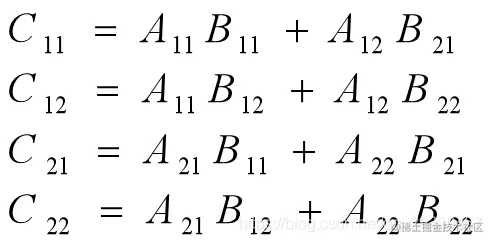
  • 将矩阵A、B和C中每一矩阵都分成4个大小相等的子矩阵,则 C = AB 可写为: 在这里插入图片描述 由此可得: 在这里插入图片描述 在这里插入图片描述 实际复杂度还是没有变,仍然为 O(n3)

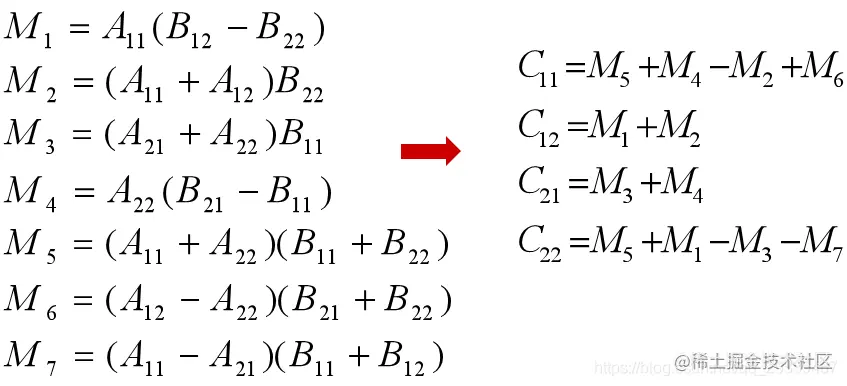
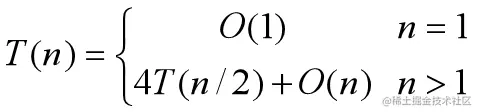
  • 为了降低时间复杂度,要减少乘法的次数 在这里插入图片描述 这样,复杂度得到了改进 在这里插入图片描述