160 -相交链表 - python

84 阅读2分钟

编写一个程序,找到两个单链表相交的起始节点。

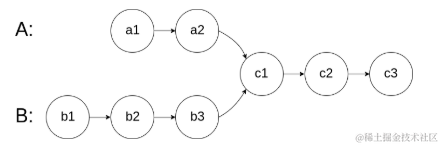
如下面的两个链表:


在这里插入图片描述

在节点 c1 开始相交。

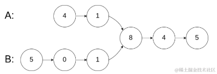
示例 1:


在这里插入图片描述

输入:intersectVal = 8, listA = [4,1,8,4,5], listB = [5,0,1,8,4,5], skipA = 2, skipB = 3
输出:Reference of the node with value = 8
输入解释:相交节点的值为 8 (注意,如果两个列表相交则不能为 0)。从各自的表头开始算起,链表 A 为 [4,1,8,4,5],链表 B 为 [5,0,1,8,4,5]。在 A 中,相交节点前有 2 个节点;在 B 中,相交节点前有 3 个节点。

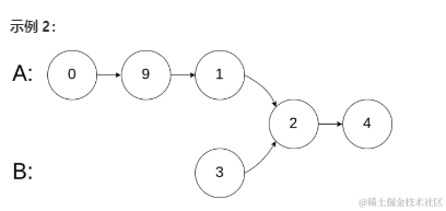
示例 2:


在这里插入图片描述

输入:intersectVal = 2, listA = [0,9,1,2,4], listB = [3,2,4], skipA = 3, skipB = 1
输出:Reference of the node with value = 2
输入解释:相交节点的值为 2 (注意,如果两个列表相交则不能为 0)。从各自的表头开始算起,链表 A 为 [0,9,1,2,4],链表 B 为 [3,2,4]。在 A 中,相交节点前有 3 个节点;在 B 中,相交节点前有 1 个节点。

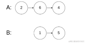
示例 3:


在这里插入图片描述

输入:intersectVal = 0, listA = [2,6,4], listB = [1,5], skipA = 3, skipB = 2
输出:null
输入解释:从各自的表头开始算起,链表 A 为 [2,6,4],链表 B 为 [1,5]。由于这两个链表不相交,所以 intersectVal 必须为 0,而 skipA 和 skipB 可以是任意值。
解释:这两个链表不相交,因此返回 null。
 

注意:

  • 如果两个链表没有交点,返回 null.
  • 在返回结果后,两个链表仍须保持原有的结构
  • 可假定整个链表结构中没有循环
  • 程序尽量满足 O(n) 时间复杂度,且仅用 O(1) 内存。

题目要求返回两个相交链表的交点,同时要求时间复杂度为O(n),空间复杂度为O(1),并且不能改变链表的结构。因此,我们不能使用额外的空间存储两个链表节点然后在寻找交点,需原地寻找

原地寻找两个链表的交点位置可以采用如下方法:

  • 获取两个链表的长度 l 1 l_1 l1​和 l 2 l_2 l2​
  • 让长的链表先走 a b s ( l 1 − l 2 ) abs(l_1- l_2) abs(l1​−l2​)步
  • 依次判断当前节点是否相同来寻找链表交点
class Solution:
    def getIntersectionNode(self, headA: ListNode, headB: ListNode) -> ListNode:
        if not headA or not headB: return None
        p, q = headA, headB
        
        def getLen(head):
            l = 0
            while head and head.next:
                l += 1
                head = head.next
            return l + 1

        l1, l2 = getLen(headA), getLen(headB)
        c = abs(l1 - l2)

        if c != 0 and l1 > l2:
            while c > 0:
                p = p.next
                c -= 1
        elif c != 0 and l2 > l1:
            while c > 0:
                q = q.next
                c -= 1

        while p.next and q.next:
            if p == q:
                return p
            p = p.next
            q = q.next

        return p if p == q else None