林轩田机器学习基石课程个人笔记-第十二讲

132 阅读7分钟

在前面学习的算法基本上都是用于线性分类或是线性回归,所用的数据集基本上也是线性可分的。但是在实际中这种理想的情况是大概率不存在的,也就是说我们的问题是线性不可分问题,这时应该怎么处理呢?这就是下面学习的内容
在这里插入图片描述
举例来说,如下所示:如果数据集是线性可分的,意味着我们可以找到一条线较好的将不同的部分进行区分,数学上来说就是可以求出一个矩阵W来得到S;如果数据集是线性不可分的,那么很难找到一条直线进行很好的划分吗,这dvc是很难控制的,选择的划分直线的Ein也会特别的大。那么如何解决这种非线性可分的问题呢?
在这里插入图片描述
比如有如下的数据集可视化如图所示,很明显数据集属于线性不可分,无法找到一条很合适的直线将其进行一个划分。但是如果用一个圆心在原点,半径为根号下0.6为半径的圆来划分,结果会很好,它的h如图所示。这就给了一个启发:可以经过一些变换来得到想要的结果。基于这种非线性思想,我们之前讨论的PLA、Regression问题都可以有非线性的形式进行求解
在这里插入图片描述
我们将上面的表达式做一下代换和整理,经过处理又回到了熟悉的形式。现在形式相似,但是元素不同了,这就意味了数据的形式也发生了变化
在这里插入图片描述
这种的转换可以看成是一种元素空间的转换,即把x空间的点映射到z空间中去,而在z域中,数据是线性可分的,即从x空间的圆形可分映射到z空间的线性可分,z域中的直线对应于x域中的圆形。将这种变换称之为特征转换(Feature Transform)。通过这种特征转换,可以将本来非线性可分的问题,经过转换为另一个域,将其变成线性可分的,其中不同域之间的这个映射的规则起到很重要的作用。
在这里插入图片描述

那么如果在X域中圆形可分,对应的Z域中线性可分,反过来说是否成立呢?答案是不一定!因为在映射过程中当W的值取的不同时,映射到X域中就不一定是圆了,可能是椭圆、双曲线等其他的情况
在这里插入图片描述
但总体上我们可以这样说:如果在Z域中是线性可分的,那么在X域中有一个特殊的曲线与之对应,可以较好的划分数据集
在这里插入图片描述
如果z域含有更多的项时,那么z域中每一条线对应x域中的某二次曲线的分类方式,也许是圆,也许是椭圆,也许是双曲线等等。那么z域中的hypothesis可以写成如下的形式
在这里插入图片描述

经过上面的学习,我们知道了存在如下的规则对应
在这里插入图片描述
那么在此基础上,很多问题的需要在Z域中找到一个很好的分类线
在这里插入图片描述
利用映射变换的思想,通过映射关系,把x域中的最高阶二次的多项式转换为z域中的一次向量,也就是从quardratic hypothesis转换成了perceptrons问题。用z值代替x多项式,其中向量z的个数与x域中x多项式的个数一致(包含常数项)。这样就可以在z域中利用线性分类模型进行分类训练。训练好的线性模型之后,再将z替换为x的多项式。简单的分为如下几步:
• 通过某种映射规则进行数据集的转换
• 在转换后的数据集上,选择你想要用的算法来得到一个很好的perceptron
• 多项式的变换
具体过程如下:
在这里插入图片描述

其中就涉及到两个很重要的部分:映射规则的选择和学习算法的选择(这里不仅限于二分类算法)
在这里插入图片描述
这样来看好像很多问题就很好解决了,但现实真的是这么简单吗?上面提到的很多都是在一维或是二维情况下的问题,如果维数很高时,比如下面的情况
在这里插入图片描述
这时映射规则中的项就很多,很难直观上找到一个规则。当x特征维度是2维的,那么它的二次多项式中的元素就有6个;当x特征维度是d维的,也就是包含d个特征,那么二次多项式个数,即z域特征维度是d(d+3)/2 + 1。如果阶数更高,假设阶数为Q,那么对于x特征维度是d维的,它的z域特征维度为O(Q^d)
在这里插入图片描述
由分析可得,如果我们的Q和d很大时,计算量会变得很大,空间复杂度也大,同时存储耗费也会很大。
在这里插入图片描述
从VC Dimension的角度来看,当Q和d都很大时,自由度就会很大,而自由大时模型的泛化能力就会下降。
在这里插入图片描述
所以在实际中要做一个权衡,比如一个模型效果很好但各种复杂度都高,而另一个模型虽然效果差一点,但是复杂度很低时,改如何选择?例如下面的例子,左面是选了一条直线,对应的计算量是很小的,但是有一些点分错了;而右边的都分对了,但是分隔线都是各种曲线。那么哪一个分类效果好呢?单从平面上这些训练数据来看,右面的分类效果更好,但是很容易带来过拟合的问题,虽然它的Ein比较小,从泛化能力上来说,还是左边的分类器更好一些
在这里插入图片描述
那么如何选择合适的Q,来保证不会出现过拟合问题,使模型的泛化能力强呢?一般情况下,为了尽量减少特征自由度,我们会根据训练样本的分布情况,人为地减少、省略一些项。但是,这种人为地删减特征会带来一些“自我分析”代价,虽然对训练样本分类效果好,但是对训练样本外的样本,不一定效果好。所以,一般情况下,还是要保存所有的多项式特征,避免对训练样本的人为选择。
在这里插入图片描述
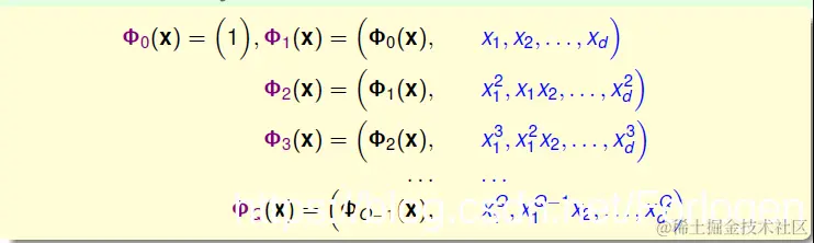
下面再看一下映射的规则,我们可以将其看成是一种递归的定义方式,即后面的表达式包含前面的部分
在这里插入图片描述
用集合来看就如下图所示,称之为Structured Hypothesis Sets:
在这里插入图片描述
有如上结构时,它们的dvc和Ein就满足如下的形式:当结构越复杂时,dvc自然就会越来越大,但是也更有机会找到更小的Ein
在这里插入图片描述
但是是不是我们的模型阶数越高,得到的效果约好呢?,从下面的图中可以看出,随着变换多项式的阶数dvc增大,虽然Ein逐渐减小,但是model complexity会逐渐增大,导致Eout也很大,所以不是阶数越高越好
在这里插入图片描述
那么,如果选择的阶数很大,确实能使Ein接近于0,但是模型的泛化能力通常很差,各种复杂度也很大,我们把这种情况叫做tempting sin。故一般最合适的做法是先从低阶开始,如先选择一阶hypothesis,看看是否很小,如果足够小的话就没必要使用更复杂的模型了;如果这时的Ein还是很大的话,可以再逐渐增加阶数,直到满足要求为止。即尽量选择低阶的hypothes来解决问题,就不要给自己增加难度
在这里插入图片描述
最后总结一下,这一讲学习到了如何来处理非线性可分的相关问题,以及过程中要注意的一些问题。
在这里插入图片描述