【leedcode】971. 翻转二叉树以匹配先序遍历

188 阅读1分钟

这是我参与8月更文挑战的第20天,活动详情查看:8月更文挑战

难度: 中等

题目描述

给你一棵二叉树的根节点 root ,树中有 n 个节点,每个节点都有一个不同于其他节点且处于 1 到 n 之间的值。

另给你一个由 n 个值组成的行程序列 voyage ,表示 预期 的二叉树 先序遍历 结果。

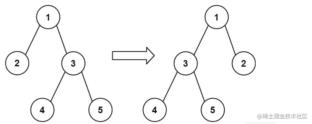
通过交换节点的左右子树,可以 翻转 该二叉树中的任意节点。例,翻转节点 1 的效果如下:

image.png

请翻转 最少 的树中节点,使二叉树的 先序遍历 与预期的遍历行程 voyage 相匹配 。 

如果可以,则返回 翻转的 所有节点的值的列表。你可以按任何顺序返回答案。如果不能,则返回列表 [-1]。

示例 1:

image.png

输入: root = [1,2], voyage = [2,1]
输出: [-1]
解释: 翻转节点无法令先序遍历匹配预期行程。

示例 2:

image.png

输入: root = [1,2,3], voyage = [1,3,2]
输出: [1]
解释: 交换节点 23 来翻转节点 1 ,先序遍历可以匹配预期行程。

示例 3:

image.png

输入: root = [1,2,3], voyage = [1,2,3]
输出: []
解释: 先序遍历已经匹配预期行程,所以不需要翻转节点。

提示:

  • 树中的节点数目为 n
  • n == voyage.length
  • 1 <= n <= 100
  • 1 <= Node.val, voyage[i] <= n
  • 树中的所有值 互不相同
  • voyage 中的所有值 互不相同

题目分析

主要思路就是:

dfs思想: 递归判断 先判断不翻转时 子树的第一个值是否能匹配 然后再考虑翻转

DFS

class Solution:
    def flipMatchVoyage(self, root: TreeNode, voyage: List[int]) -> List[int]:
        index = 0
        ans = []

        def dfs(node):
            nonlocal voyage, index, ans 
            
            if node is None: # 空节点返回上一层
                return True
            if node.val != voyage[index]: 
                return False
            index +=1 
            if node.left is None and node.right is None:
                return True
            if node.left and node.left.val == voyage[index]:
                return dfs(node.left) and dfs(node.right)
            if node.right and node.right.val == voyage[idx]:
                if node.left is not None:
                    # 如果另一棵子树是一个空节点 那么无需翻转遵从dfs顺序即可
                    ans.append(node.val)
                return dfs(node.right) and dfs(node.left)
            return False
        
        return ans if dfs(root) else [-1]