《随机过程》重点考点整理|复习笔记

1,596 阅读2分钟

这是我参与8月更文挑战的第8天,活动详情查看:8月更文挑战

《随机过程》

随机过程对于人工智能算法的学习提供了很多很棒的思路,让我们从概率的角度去思考这些问题。 花了三天时间复习这门课,最后把握好了考察重点,写了这份笔记跟大家分享。字迹有点潦草请见谅。

第一章 随机过程及其分类

1.随机过程与样本函数与随机变量的区别:

随机过程指X(t,w),时间不确定、参数不确定,即所有参数下的样本函数的总和

样本函数X(·,w),时间不确定、参数确定,即确定参数下的一系列时间下的发生的事件

随机变量X(t,·),时间确定、参数不确定,即确定时间下的一系列参数下的不同事件

2.典型分布

指数分布,泊松分布,正态分布,均匀分布 在这里插入图片描述 在这里插入图片描述

第二章 Markov 过程

马尔可夫过程,是一类非常典型的随机过程

1.markov的定义

马尔可夫过程的大概意思就是**未来只与现在有关,与过去无关。**即:

[外链图片转存失败,源站可能有防盗链机制,建议将图片保存下来直接上传(img-G2qAsvIM-1612863342099)(C:\Users\YUANMU\AppData\Roaming\Typora\typora-user-images\image-20210209170852094.png)] 其中: 在这里插入图片描述

1表示一步转移概率,2表示初始状态,3表示状态转移率矩阵

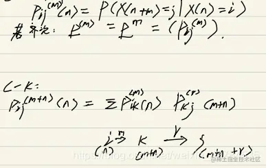
2.c-k方程

[外链图片转存失败,源站可能有防盗链机制,建议将图片保存下来直接上传(img-dIm0MItM-1612863342105)(C:\Users\YUANMU\AppData\Roaming\Typora\typora-user-images\image-20210209171117487.png)]

条件概率的乘法关系(应该是叫这个吧):

[外链图片转存失败,源站可能有防盗链机制,建议将图片保存下来直接上传(img-jiEDJIE6-1612863342107)(C:\Users\YUANMU\AppData\Roaming\Typora\typora-user-images\image-20210209171205541.png)]

两种关系:

[外链图片转存失败,源站可能有防盗链机制,建议将图片保存下来直接上传(img-WqsEtAIo-1612863342108)(C:\Users\YUANMU\AppData\Roaming\Typora\typora-user-images\image-20210209171227472.png)]

3.首达时间

[外链图片转存失败,源站可能有防盗链机制,建议将图片保存下来直接上传(img-YAkyxNRx-1612863342109)(C:\Users\YUANMU\AppData\Roaming\Typora\typora-user-images\image-20210209171336079.png)]

4.状态分类

[外链图片转存失败,源站可能有防盗链机制,建议将图片保存下来直接上传(img-vn1R8kZW-1612863342109)(C:\Users\YUANMU\AppData\Roaming\Typora\typora-user-images\image-20210209171413325.png)]

例1赌徒输光问题

解题思路

[外链图片转存失败,源站可能有防盗链机制,建议将图片保存下来直接上传(img-YcrDrKo2-1612863342110)(C:\Users\YUANMU\AppData\Roaming\Typora\typora-user-images\image-20210209171514047.png)]

[外链图片转存失败,源站可能有防盗链机制,建议将图片保存下来直接上传(img-njPZRNM5-1612863342111)(C:\Users\YUANMU\AppData\Roaming\Typora\typora-user-images\image-20210209171557491.png)]

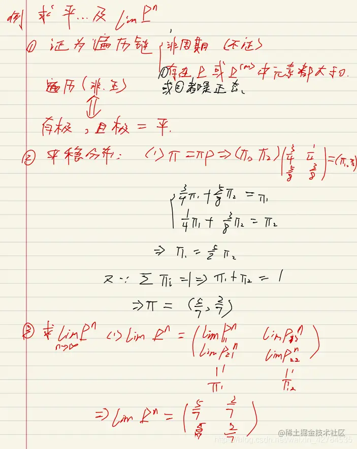
5.马氏链的有限状态与极限分布

[外链图片转存失败,源站可能有防盗链机制,建议将图片保存下来直接上传(img-AX9vBtCI-1612863342112)(C:\Users\YUANMU\AppData\Roaming\Typora\typora-user-images\image-20210209171657247.png)] 在这里插入图片描述 在这里插入图片描述

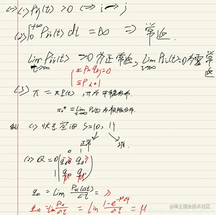
6.非常返态的分析

[外链图片转存失败,源站可能有防盗链机制,建议将图片保存下来直接上传(img-SSkX7621-1612863342115)(C:\Users\YUANMU\AppData\Roaming\Typora\typora-user-images\image-20210209171826688.png)] 在这里插入图片描述

7.参数连续、状态离散的马氏链

即纯不连续马氏链

在这里插入图片描述 在这里插入图片描述 在这里插入图片描述

8.纯不连续马氏过程的极限性质

[外链图片转存失败,源站可能有防盗链机制,建议将图片保存下来直接上传(img-Ccj3Z0fT-1612863342118)(C:\Users\YUANMU\AppData\Roaming\Typora\typora-user-images\image-20210209172021852.png)]

第三章 Poisson 过程( Poisson 信号流)

Poisson 过程是一种特殊的纯不连续马氏过程。

一.概念

1.独立增量过程

x(t)的增量相互独立,若x(t)的x(0)为一个确定的值,则为马氏过程

2.计数过程

[外链图片转存失败,源站可能有防盗链机制,建议将图片保存下来直接上传(img-OsPCdE5V-1612863342119)(C:\Users\YUANMU\AppData\Roaming\Typora\typora-user-images\image-20210209172308021.png)]

3.齐次泊松过程

[外链图片转存失败,源站可能有防盗链机制,建议将图片保存下来直接上传(img-CoXhT5wC-1612863342120)(C:\Users\YUANMU\AppData\Roaming\Typora\typora-user-images\image-20210209172343466.png)]

二.泊松过程与指数分布过程

[外链图片转存失败,源站可能有防盗链机制,建议将图片保存下来直接上传(img-8IiotMeX-1612863342121)(C:\Users\YUANMU\AppData\Roaming\Typora\typora-user-images\image-20210209172446235.png)]

在这里插入图片描述 在这里插入图片描述 在这里插入图片描述 在这里插入图片描述 在这里插入图片描述

五.非时齐过程

[外链图片转存失败,源站可能有防盗链机制,建议将图片保存下来直接上传(img-RonZpQeD-1612863342126)(C:\Users\YUANMU\AppData\Roaming\Typora\typora-user-images\image-20210209172625443.png)]

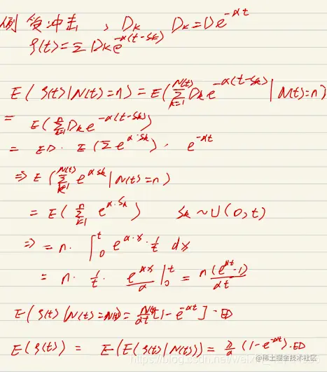
六.复合poisson

[外链图片转存失败,源站可能有防盗链机制,建议将图片保存下来直接上传(img-3L3NXKNs-1612863342127)(C:\Users\YUANMU\AppData\Roaming\Typora\typora-user-images\image-20210209172636346.png)]

九.更新过程

[外链图片转存失败,源站可能有防盗链机制,建议将图片保存下来直接上传(img-IrDtJFjd-1612863342128)(C:\Users\YUANMU\AppData\Roaming\Typora\typora-user-images\image-20210209172741866.png)]

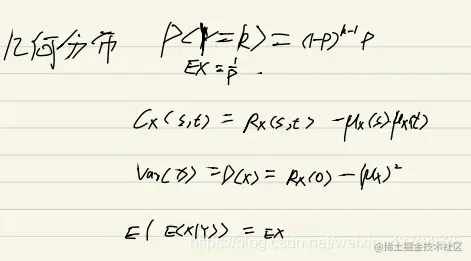
第四章 二阶矩过程、平稳过程和随机分析

在这里插入图片描述 在这里插入图片描述 在这里插入图片描述 在这里插入图片描述

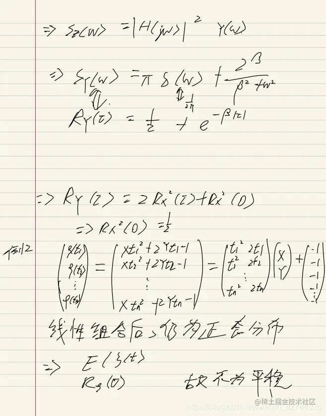
第五章 平稳过程的谱分析

在这里插入图片描述 在这里插入图片描述 在这里插入图片描述 在这里插入图片描述

第六章 高斯过程(维纳过程)

在这里插入图片描述 在这里插入图片描述 在这里插入图片描述

码字不易,都看到这里了不如点个赞哦~
我还写了很多文章,欢迎关注我哦~

在这里插入图片描述