leetcode 24. Swap Nodes in Pairs(python)

684 阅读1分钟

本文已参与掘金创作者训练营第三期「高产更文」赛道,详情查看:掘力计划|创作者训练营第三期正在进行,「写」出个人影响力

描述

Given a linked list, swap every two adjacent nodes and return its head. You must solve the problem without modifying the values in the list's nodes (i.e., only nodes themselves may be changed.)

Example 1:

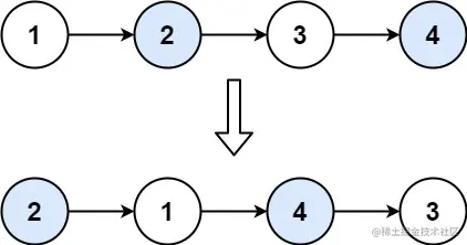
Input: head = [1,2,3,4]
Output: [2,1,4,3]

Example 2:

Input: head = []
Output: []

Example 3:

Input: head = [1]
Output: [1]

Note:

The number of nodes in the list is in the range [0, 100].
0 <= Node.val <= 100

解析

根据题意,就是给出了一个链表 head ,让我们在不对链表中各个节点的值进行修改的情况下,将两个相邻的节点进行互换,也就是第二个节点放到第一个节点之前,第四个节点放到第三个节点之前,先使用简单的方法,这种方法其实违背了题意,对链表的各个节点的值进行了修改,不推荐,思路如下:

  • 如果只有一个节点或者没有节点,直接返回 head
  • while 循环判断当 head 和 head.next 都不为空的情况下,(1)tail 保存第三个及之后的链表(2)使用 tmp 临时保存 head.val (3)将 head.next.val 赋予 head.val 表示将后一个节点的值赋给前一个节点(4)将 tmp 赋予 head.next.val 表示将前一个节点的值赋予后一个节点,这样两个节点的值就完成了互换
  • 判断第三个和第四个节点是否都存在,如果是,则将 tail 赋予 head ,表示下一次循环交换第三个和第四个节点的值,否则直接返回 result

解答

class ListNode(object):
    def __init__(self, val=0, next=None):
        self.val = val
        self.next = next
class Solution(object):
    def swapPairs(self, head):
        """
        :type head: ListNode
        :rtype: ListNode
        """
        if not head or not head.next: return head
        result = head
        while head and head.next:
            tail = head.next.next
            tmp = head.val
            head.val = head.next.val
            head.next.val = tmp
            if tail and tail.next:
                head = tail
            else:
                break
        return result
		

运行结果

Runtime: 12 ms, faster than 96.91% of Python online submissions for Swap Nodes in Pairs.
Memory Usage: 13.5 MB, less than 58.09% of Python online submissions for Swap Nodes in Pairs.

解析

我们可以用相同的解题方法,但是按照题意不修改节点值来完成题目。关键还是链表交换的基本操作要熟悉,:

p->first->second->third 变成 p->second->first->third

运行结果可以看出,所占内存都减小显著。

解答

class ListNode(object):
    def __init__(self, val=0, next=None):
        self.val = val
        self.next = next
class Solution(object):
    def swapPairs(self, head):
        """
        :type head: ListNode
        :rtype: ListNode
        """
        if not head or not head.next: return head
        result = p = ListNode(0)
        p.next = head
        while p.next and p.next.next:
            third = p.next.next.next
            second = p.next.next
            first = p.next
            p.next = second
            p.next.next = first
            p.next.next.next = third
            if third:
                p = p.next.next
            else:
                return result.next
        return result.next

运行结果

Runtime: 20 ms, faster than 60.06% of Python online submissions for Swap Nodes in Pairs.
Memory Usage: 13.3 MB, less than 85.00% of Python online submissions for Swap Nodes in Pairs.

原题链接:leetcode.com/problems/sw…

您的支持是我最大的动力