手撸二叉树之递增顺序搜索树

1,258 阅读2分钟

这是我参与8月更文挑战的第 16 天,活动详情查看:8月更文挑战

Hello, 大家好,今天是我参加8月更文的第 16 天,今天给大家带来的关于二叉树相关的算法题是求二叉树的递增顺序搜索树,正文如下:

题目

给你一棵二叉搜索树,请你 按中序遍历 将其重新排列为一棵递增顺序搜索树,使树中最左边的节点成为树的根节点,并且每个节点没有左子节点,只有一个右子节点。

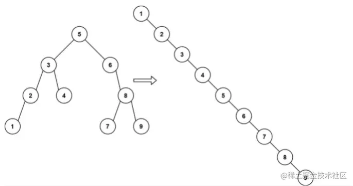
示例1

image

输入:root = [5,3,6,2,4,null,8,1,null,null,null,7,9]
输出:[1,null,2,null,3,null,4,null,5,null,6,null,7,null,8,null,9]

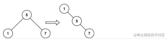
示例2

image

输入:root = [5,1,7]
输出:[1,null,5,null,7]

解题思路

根据题目可知,给出的是一个二叉搜索树,根据二叉搜索树的特点,将其中序遍历以后,得到的将是一个有序数组,所以我们可以将结果保存到一个列表中;然后,根据列表中的值,创建节点,将创建好的节点构建成一棵只含有右节点的二叉树,这棵二叉树就是递增顺序的二叉搜索树。

具体创建过程如下:

  1. 创建一个 dummyNode 哑结点,用于维系头结点;
  2. 创建一个指针 curr, 指向 dummyNode;
  3. 遍历有序数组,创建节点,并将 curr 节点的右指针指向新创建的节点;
  4. curr 指向它的右子树(相当于链表的后移);
  5. 循环结束后,返回 dummyNode 的右指针;

代码实现

/**
 * Definition for a binary tree node.
 * public class TreeNode {
 *     int val;
 *     TreeNode left;
 *     TreeNode right;
 *     TreeNode() {}
 *     TreeNode(int val) { this.val = val; }
 *     TreeNode(int val, TreeNode left, TreeNode right) {
 *         this.val = val;
 *         this.left = left;
 *         this.right = right;
 *     }
 * }
 */
class Solution {
    private List<Integer> arr;
    
    public TreeNode increasingBST(TreeNode root) {
        arr = new ArrayList();
        inOrder(root);
        TreeNode dummyNode = new TreeNode(-1);
        TreeNode curr = dummyNode;
        for (int val : arr) {
            curr.right = new TreeNode(val);
            curr = curr.right;
        }
        return dummyNode.right;
    }

    public void inOrder(TreeNode root) {
        if (root == null) {
            return;
        } 

        inOrder(root.left);
        arr.add(root.val);
        inOrder(root.right);
    }

}

最后

复杂度分析:

  • 时间复杂度:O(n),其中 n 是二叉搜索树的节点总数。

  • 空间复杂度:O(n),其中 n 是二叉搜索树的节点总数。需要长度为 n 的列表保存二叉搜索树的所有节点的值。