题19:删除链表的第N个节点

761 阅读1分钟

题19:删除链表的第N个节点

给你一个链表,删除链表的倒数第 n 个结点,并且返回链表的头结点。

进阶:你能尝试使用一趟扫描实现吗?

Snipaste_2021-08-15_14-38-00.jpg

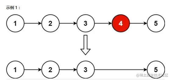
示例 1:

输入:head = [1,2,3,4,5], n = 2
输出:[1,2,3,5]

示例 2:

输入:head = [1], n = 1
输出:[]

示例 3:

输入:head = [1,2], n = 1
输出:[1]

提示:

链表中结点的数目为 sz
1 <= sz <= 30
0 <= Node.val <= 100
1 <= n <= sz

解题思路:

  1. 利用双指针n1,n2设置在头部
  2. 考虑边界问题,当只有一个节点时删除,就需要借助dummy节点,把dummy节点当做头结点
  3. 利用for循环遍历让n2比n1提前n个位置
  4. 当n2不为空节点时n1,n2同时移动,当n2为空节点时,n1所在的后一个节点就是需要删除的节点。
  5. 删除n1后一个节点的方法:让n1的下一个节点指向,n1的下一个节点的下一个节点,n1.next = n1.next.next
  6. 最后返回head也就是dummy.next

图解:

Snipaste_2021-08-15_15-09-05.jpg

代码:

**
 * Definition for singly-linked list.
 * function ListNode(val, next) {
 *     this.val = (val===undefined ? 0 : val)
 *     this.next = (next===undefined ? null : next)
 * }
 */
/**
 * @param {ListNode} head
 * @param {number} n
 * @return {ListNode}
 */
var removeNthFromEnd = function(head, n) {

    let dummy = new ListNode();
    dummy.next = head;

    let n1 = dummy;
    let n2 =dummy;
     
     for( let i = 0; i <= n; i++) {
         n2 = n2.next
     }

     while(n2 !== null) {
         n1 = n1.next;
         n2 = n2.next;
     }

     n1.next = n1.next.next;
     return dummy.next;
};