【医学图像分割】 基于matlab GVF算法医学图像分割【含Matlab源码 1213期】

962 阅读3分钟

一、GVF Snake算法简介

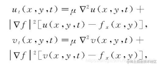
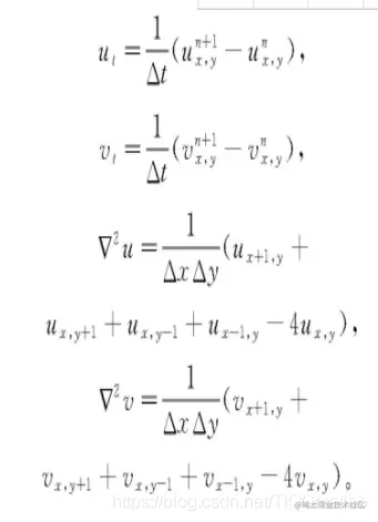
分割的过程中, 图像的轮廓曲线要尽可能变得光滑。然而, Snake模型使轮廓线更加平滑的同时不能凹陷, 对初始位置的选取较为敏感, 极大的增加了模型的不确定性 。GVF Snake模型, 将梯度力扩展至整个图像中, 一方面加大了轮廓曲线的动态捕捉能力, 另一方面克服了Snake模型中轮廓线不能凹陷的缺陷 。GVF Snake模型其外力作用范围较大,具有双向驱动轮廓运动的特点。对于一幅图像,首先使用边界检测算子获取该幅图像I(x,y)的边界f(x,y),w(x,y) =[u(x, y) , v(x, y) ] 为该模型的外力, 则GVF Snake模型的能量泛函可表示为 在这里插入图片描述 梯度矢量流中梯度力场u、v函数关于时间t的偏微分方程可表示为 在这里插入图片描述 在这里插入图片描述 在这里插入图片描述

二、部分源代码

clc; clear all; close all;
rand('state', 0);
warning off all;
path([pwd '\\toolbox'], path);
filename = 'chest'; % 待处理图像名称
% 载入图像
[I, map] = rawread(sprintf('images\\%s.pgm', filename));
% 计算边缘图像
f = 1 - I/255;
% GVF处理
[u,v] = GVF(f, 0.1, 80);
% 正规化处理
mag = sqrt(u.*u+v.*v);
px = u./(mag+1e-10); py = v./(mag+1e-10);
% 显示结果
figure(1);
subplot(1, 2, 1); imdisp(I); title('原图像', 'FontWeight', 'Bold');
subplot(1, 2, 2); imdisp(f); title('边缘图像', 'FontWeight', 'Bold');
% 初始边缘曲线
load(sprintf('.\\images\\%s.mat', filename));
[x,y] = snakeinterp(XSnake,YSnake,2,0.5);
subplot(1, 2, 1); hold on;
h = plot(x, y, 'r-');
% GVF迭代
load(sprintf('.\\images\\test_%s.mat', filename));
for i=1:25,
    [x,y] = snakedeform(x,y,alpha,beta,gamma,kappa,fx,fy,5);
    [x,y] = snakeinterp(x,y,dmax,dmin);
    set(h, 'XData', x, 'YData', y);
    title(['迭代过程,迭代次数为 = ' num2str(i*5)], 'FontWeight', 'Bold')
    pause(0.2);
end
title('GVF Snake边缘提取标记', 'FontWeight', 'Bold')
mag = sqrt(u.*u+v.*v);
px = u./(mag+1e-10); py = v./(mag+1e-10);
% 显示结果
figure(1);
subplot(1, 2, 1); imdisp(I); title('原图像', 'FontWeight', 'Bold');
subplot(1, 2, 2); imdisp(f); title('边缘图像', 'FontWeight', 'Bold');
% 初始边缘曲线
load(sprintf('.\\images\\%s.mat', filename));
[x,y] = snakeinterp(XSnake,YSnake,2,0.5);
% XSnake
% YSnake
% GVF snake (active contour) toolbox
% Version 1.0 17-June-1997
% Copyright (c) 1996-1997 by Chenyang Xu and Jerry L. Prince 
%
%  Image input/output
%    rawread       - Read a Portable Bitmap file, or a raw file
%    rawwrite      - Write a Portable Bitmap file, or a raw file
% 
%  Image Display
%    imdisp        - Display an image
% 
%  Active Contour
%    snakeinit     - Initialize the snake manually
%    snakedeform   - Deform snake in the given external force field
%    snakedeform2  - Deform snake in the given external force field with
%                    pressure force
%    snakedisp     - Display a snake
%    snakeinterp   - Interpolate the snake adaptively
%    snakeinterp1  - Interpolate the snake at a fixed resolution
%                    (better implemented than snakeinterp)
% 
%  Gradient Vector Flow
%    GVF           - Compute the gradient vector flow field
% 
%  Other
%    dt            - Simple distance transform
%    gaussianBlur  - Blurring an image using gaussian kernel   
%    gaussianMask  - Generate a discrete gaussian mask


三、运行结果

在这里插入图片描述

四、matlab版本及参考文献

1 matlab版本 2014a

2 参考文献 [1] 蔡利梅.MATLAB图像处理——理论、算法与实例分析[M].清华大学出版社,2020. [2]杨丹,赵海滨,龙哲.MATLAB图像处理实例详解[M].清华大学出版社,2013. [3]周品.MATLAB图像处理与图形用户界面设计[M].清华大学出版社,2013. [4]刘成龙.精通MATLAB图像处理[M].清华大学出版社,2015.