4种基于像素分割的文本检测算法

752 阅读6分钟

摘要:文本检测是文本读取识别的第一步,对后续的文本识别有着重大的影响。一般场景下,可以通过对通用目标检测算法进行配置修改,来实现对文本行的检测定位。本文主要介绍基于像素分割的文本检测算法。

本文分享自华为云社区《技术综述十四:弯曲文本检测算法(二)》,作者:我想静静 。

背景介绍

文本检测是文本读取识别的第一步,对后续的文本识别有着重大的影响。一般场景下,可以通过对通用目标检测算法进行配置修改,来实现对文本行的检测定位。然而在弯曲文字场景,通用目标检测算法无法实现对文字边框的精准表述。因此,近年来很多学术论文都提出了新颖的解决场景文字检测的算法,主要包括两种思路:1. 基于区域重组的文本检测;2. 基于像素分割的文本检测。本文主要介绍基于像素分割的文本检测算法。

PSENet

PSENet 是一个纯分割的文本检测方法,该方法的初衷是为了有效地分离任意形状的相邻文本。它通过预测多个尺度的文本分割图来实现这个目的。具体如图 1 所示,这里以预测 3 个尺度的分割图为例,即(a),(e),(f)。后处理的流程如下:首先从最小尺度的分割图(a)给各个连接组件分配标签,然后将(a)向四周扩张从而合并(e)中的被预测为文本的像素。同理,合并(f)中的文本像素。

图 1. PSENet 渐进式扩展过程

这种渐进地、从小到大合并相邻文本像素的方法能有效地分离相邻文本实例,但是付出的代价就是速度很慢,通过 C++能缓解速度慢的问题。

PAN

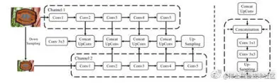
PAN 主要是针对现有的文本检测方法速度太慢,不能实现工业化应用而设计的。该方法从两方面来提升文本检测的速度。第一,从网络结构上,该方法使用了轻量级的 ResNet18 作为 backbone。但 ResNet18 的特征提取能力不够强,并且得到的感受野不够大。因此,进一步提出了轻量级的特征增强模块和特征融合模块,该特征增强模块类似于 FPN,且可以多个级联在一起。特征增强模块在只增加少量的计算量的前提下有效地增强了模型的特征提取能力,并增大了感受野。第二,从后处理上提升速度。该方法通过预测文本区域,文本中心区域(kernel),以及像素间的相似度来检测文本。使用聚类的思想,kernel 是聚类中心,文本像素是需要聚类的样本。为了聚类,属于同一个文本实例的 kernel 和对应的像素的相似度向量之间的距离应该尽可能小,不同 kernels 的相似度向量的距离应该远。在推理阶段,首先根据 kernel 得到连接组件,然后沿着四周合并与 kernel 的距离小于阈值 d 的像素。该方法在实现高精度的同时还取得了实时的文本检测速度。

图 2. PAN 网络结构

MSR

MSR 是为了解决多尺度文本检测困难而提出来的。与别的文本检测方法不同,该方法使用了多个一样的 backbone,并将输入图像下采样到多个尺度之后连同原图一起输入到这些 backbone,最后不同的 backbone 的特征经过上采样之后进行融合,从而捕获了丰富的多尺度特征。网络最后预测文本中心区域、文本中心区域每个点到最近的边界点的 x 坐标偏移和 y 坐标偏移。在推理阶段,文本中心区域的每个点根据预测的 x/y 坐标偏移得到对应的边界点,最终的文本轮廓是包围所有边界点的轮廓。

图 3. MSR 算法框架

图 4:MSR 网络结构

该方法的优点是对于多尺度文本有较强的检测能力,但是由于该方法定义的文本中心区域只是文本区域在上下方向上进行了缩小,而左右方向没有缩小,因此无法有效分离水平上相邻的文本。

DB

DB 主要是针对现有的基于分割的方法需要使用阈值进行二值化处理而导致后处理耗时且性能不够好而提出的。该方法很巧妙地设计了一个近似于阶跃函数的二值化函数,使得分割网络在训练的时候能学习文本分割的阈值。此外,在推理阶段,该方法根据文本中心区域的面积和周长直接扩张一定的比例得到最终的文本轮廓,这也进一步提升了该方法的推理速度。整体上而言,DB 对基于像素分割的文本检测方法提供了一个很好的算法框架,解决了此类算法阈值配置的难题,同时又有较好的兼容性--开发者可以针对场景难点对 backbone 进行改造优化,达到一个较好的性能和精度的平衡。

图 5. DB 网络结构

基于像素分割的算法能精准地预测出任意形状的文本实例,然后对于重叠文本区域,很难能将不同实例区分开来。要真正将该系列算法落地,满足业务需求,未来需解决重叠文本的问题。

Reference

[1]. Wang W, Xie E, Li X, et al. Shape robust text detectionwith progressive scale expansion network[C]//Proceedings of the IEEE/CVFConference on Computer Vision and Pattern Recognition. 2019: 9336-9345.

[2]. Wang W, Xie E, Song X, et al. Efficient and accuratearbitrary-shaped text detection with pixel aggregation network[C]//Proceedingsof the IEEE/CVF International Conference on Computer Vision. 2019: 8440-8449.

[3]. Xue C, Lu S, Zhang W. Msr: Multi-scale shape regression forscene text detection[J]. arXiv preprint arXiv:1901.02596, 2019.

[4]. Liao M, Wan Z, Yao C, et al. Real-time scene text detectionwith differentiable binarization[C]//Proceedings of the AAAI Conference onArtificial Intelligence. 2020, 34(07): 11474-11481.

想了解更多的 AI 技术干货,欢迎上华为云的 AI 专区,目前有 AI 编程 Python 等六大实战营供大家免费学习。

点击关注,第一时间了解华为云新鲜技术~