手撸二叉树之最小深度

1,482 阅读2分钟

这是我参与8月更文挑战的第 10 天,活动详情查看:8月更文挑战

Hello, 大家好,今天是我参加8月更文的第 10 天,今天给大家带来的关于二叉树相关的算法题是二叉树的最小深度,正文如下:

题目:

给定一个二叉树,找出其最小深度。

最小深度是从根节点到最近叶子节点的最短路径上的节点数量。

说明:叶子节点是指没有子节点的节点。

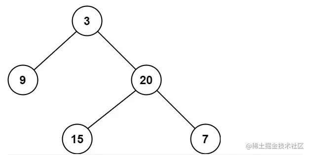
示例1:

image

输入:root = [3,9,20,null,null,15,7]
输出:2

示例2:

输入:root = [2,null,3,null,4,null,5,null,6]
输出:5

解题思路

首先可以想到使用深度优先搜索的方法,遍历整棵树,记录最小深度。

对于每一个非叶子节点,我们只需要分别计算其左右子树的最小叶子节点深度。这样就将一个大问题转化为了小问题,可以递归地解决该问题。

  • 当前节点 root 为空时,说明此处树的高度为 0,0 也是最小值。

  • 当前节点 root 的左子树和右子树都为空时,说明此处树的高度为 1,1 也是最小值。

  • 如果为其他情况,则说明当前节点有值,且需要分别计算其左右子树的最小深度,返回最小深度 +1,+1 表示当前节点存在有 1 个深度。

代码实现

/**
 * Definition for a binary tree node.
 * public class TreeNode {
 *     int val;
 *     TreeNode left;
 *     TreeNode right;
 *     TreeNode() {}
 *     TreeNode(int val) { this.val = val; }
 *     TreeNode(int val, TreeNode left, TreeNode right) {
 *         this.val = val;
 *         this.left = left;
 *         this.right = right;
 *     }
 * }
 */
class Solution {
    public int minDepth(TreeNode root) {
        if(root == null){
            return 0;
        } else if (root.left == null) {
            return minDepth(root.right) + 1;
        } else if (root.right == null){
            return minDepth(root.left) + 1;
        } else {
            return Math.min(minDepth(root.left), minDepth(root.right)) + 1;
        }
    }
}

最后

复杂度分析

  • 时间复杂度:O(N),其中 N 是树的节点数。对每个节点访问一次。

  • 空间复杂度:O(H),其中 H 是树的高度。空间复杂度主要取决于递归时栈空间的开销,最坏情况下,树呈现链状,空间复杂度为 O(N)。平均情况下树的高度与节点数的对数正相关,空间复杂度为 O(log N)。