LeetCode.206 反转链表

1,039 阅读2分钟

这是我参与8月更文挑战的第9天,活动详情查看:8月更文挑战

题目描述:

206. 反转链表 - 力扣(LeetCode) (leetcode-cn.com)

给你单链表的头节点 head ,请你反转链表,并返回反转后的链表。

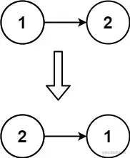
示例一

image.png

输入: head = [1,2,3,4,5]
输出: [5,4,3,2,1]

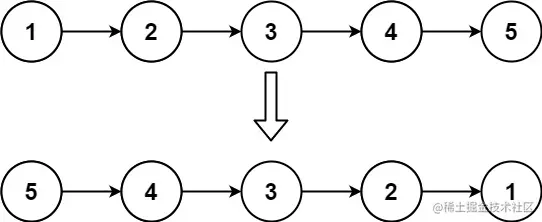
示例二

image.png

输入: head = [1,2]
输出: [2,1]

示例三

输入: head = []
输出: []

提示:

  • 链表中节点的数目范围是 [0, 5000]
  • -5000 <= Node.val <= 5000

思路分析

迭代

链表有指向,反转只要把指向反过来就可以了。

我们只要记录下当前节点,前一个节点和后一个节点就行了,把当前节点的 next 指向当前节点的前一个节点

  • 定义两个指针 precur
  • pre 最初指向 null 因为第一个节点没有前节点
  • 每次迭代 curnext 指向 pre

AC代码

class Solution {
    fun reverseList(head: ListNode?): ListNode? {
        var prev: ListNode? = null
        var curr: ListNode? = head
        var next: ListNode? = null
        while (curr != null) {
            next = curr.next
            curr.next = prev
            prev = curr
            curr = next
        }
        return prev
    }
}

递归

  • 使用递归函数,一直递归到链表的最后一个结点,该结点就是反转后的头结点,记作 prefix
  • 此后,每次函数在返回的过程中,让当前结点的下一个结点的 next 指针指向当前节点
  • 让当前结点的 next 指针指向 null ,从而实现从链表尾部开始的局部反转
  • 当递归函数全部出栈后,链表反转完成。

AC代码

class Solution {
    fun reverseList(head: ListNode?): ListNode? {
        if(null == head || null == head.next){
            return head
        }
        val prefix = reverseList(head.next)
        head.next.next = head
        head.next = null
        return prefix
    }
}

总结

这题用递归解的话主要就是递归不太好理解,甚至去翻题解看代码都是懵懵的,要实际去理解递归,还是要在纸上一步一步画一遍。 另外推荐下这个老哥的视频题解,讲的很透彻。

参考

反转链表 - 反转链表 - 力扣(LeetCode) (leetcode-cn.com)

动画演示+多种解法 206. 反转链表 - 反转链表 - 力扣(LeetCode) (leetcode-cn.com)

206. Reverse Linked List 反转链表 - 反转链表 - 力扣(LeetCode) (leetcode-cn.com)

简单易懂Java/C++ /Python/js 动画讲解 - 反转链表 - 反转链表 - 力扣(LeetCode) (leetcode-cn.com)

【反转链表】:双指针,递归,妖魔化的双指针 - 反转链表 - 力扣(LeetCode) (leetcode-cn.com)