二叉树刷题(二)

361 阅读2分钟

这是我参与8月更文挑战的第8天,活动详情查看:8月更文挑战

前面写了比较基础的二叉树题目,有需要的童鞋请冲 二叉树刷题(一),这篇写下稍微复杂一点点的题。

一、路径总和

112. 路径总和

给你二叉树的根节点 root 和一个表示目标和的整数 targetSum ,判断该树中是否存在 根节点到叶子节点 的路径,这条路径上所有节点值相加等于目标和 targetSum 。

叶子节点 是指没有子节点的节点。

示例 1:

image.png

  • 输入:root = [5,4,8,11,null,13,4,7,2,null,null,null,1], targetSum = 22
  • 输出:true

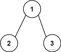
示例 2:

image.png

  • 输入:root = [1,2,3], targetSum = 5
  • 输出:false

示例 3:

  • 输入:root = [1,2], targetSum = 0
  • 输出:false

提示:

  • 树中节点的数目在范围 [0, 5000] 内
  • -1000 <= Node.val <= 1000
  • -1000 <= targetSum <= 1000

来源:力扣(LeetCode) 链接:leetcode-cn.com/problems/pa… 著作权归领扣网络所有。商业转载请联系官方授权,非商业转载请注明出处。

解题思路

递归遍历所有节点,用targetSum减去当前节点,直到遍历到叶子节点时,判断叶子节点和当前targetSum是否等,若相等则表示这个路径的总和为targetSum返回true,否则返回false。

当左右子树有一个子树找到这个路径时,就返回true,否则返回false。

代码实现

/**
 * Definition for a binary tree node.
 * function TreeNode(val, left, right) {
 *     this.val = (val===undefined ? 0 : val)
 *     this.left = (left===undefined ? null : left)
 *     this.right = (right===undefined ? null : right)
 * }
 */
/**
 * @param {TreeNode} root
 * @param {number} targetSum
 * @return {boolean}
 */
var hasPathSum = function(root, targetSum) {
    if(root == null) return false;
    // 若当前为叶子节点(无左右节点),则返回该节点值是否等于当前targetSum
    if(root.left == null && root.right == null) {
        return root.val == targetSum;
    }
    targetSum = targetSum - root.val;
    // 递归遍历当前的左右节点
    return hasPathSum(root.left, targetSum) || hasPathSum(root.right, targetSum);
};

二、判断平衡二叉树

110. 平衡二叉树

给定一个二叉树,判断它是否是高度平衡的二叉树。

本题中,一棵高度平衡二叉树定义为:

一个二叉树每个节点 的左右两个子树的高度差的绝对值不超过 1 。

 

示例 1:

image.png

  • 输入:root = [3,9,20,null,null,15,7]
  • 输出:true

示例 2:

image.png

  • 输入:root = [1,2,2,3,3,null,null,4,4]
  • 输出:false

示例 3:

  • 输入:root = []
  • 输出:true

提示:

  • 树中的节点数在范围 [0, 5000] 内
  • -104 <= Node.val <= 104

来源:力扣(LeetCode) 链接:leetcode-cn.com/problems/ba… 著作权归领扣网络所有。商业转载请联系官方授权,非商业转载请注明出处。

解题思路

使用递归遍历所有节点,返回左右子树的高度,当左右子树的高度差不超过1时,则是平衡二叉树。

代码实现

/**
 * Definition for a binary tree node.
 * function TreeNode(val, left, right) {
 *     this.val = (val===undefined ? 0 : val)
 *     this.left = (left===undefined ? null : left)
 *     this.right = (right===undefined ? null : right)
 * }
 */
var dfs = function(root) {
    if(root == null) return 0;
    // 获取左右子树高度
    let leftHeight = dfs(root.left);
    let rightHeight = dfs(root.right);
    // 当前面遍历到的节点 有失衡的情况说明 整个二叉树已经不是平衡二叉树,直接返回-2
    // 此处设定返回-2是非平衡二叉树
    if(leftHeight == -2 || rightHeight == -2) return -2;
    // 两个子树的高度差的绝对值不超过 1 ,若超过1,则不是平衡二叉树,返回-2
    if(Math.abs(leftHeight - rightHeight) > 1) {
        return -2
    }
    // 返回当前子树的高度
    return Math.max(leftHeight, rightHeight) + 1;
}
/**
 * @param {TreeNode} root
 * @return {boolean}
 */
var isBalanced = function(root) {
    // 如果不返回-2 + 1 = -1,证明是平衡二叉树
    return dfs(root) >= 0
};

三、二叉树的层序遍历 II

107. 二叉树的层序遍历 II

给定一个二叉树,返回其节点值自底向上的层序遍历。 (即按从叶子节点所在层到根节点所在的层,逐层从左向右遍历)

例如: 给定二叉树 [3,9,20,null,null,15,7],

   3
   / \
  9  20
    /  \
   15   7

返回其自底向上的层序遍历为:

[
  [15,7],
  [9,20],
  [3]
]

来源:力扣(LeetCode) 链接:leetcode-cn.com/problems/bi… 著作权归领扣网络所有。商业转载请联系官方授权,非商业转载请注明出处。

解题思路

先自顶向下递归遍历所有节点,给节点标记在第几层,将遍历到的当前节点放在该层。 在获取到整个二叉树自顶向下的层级后,进行位置反转。

代码实现

/**
 * Definition for a binary tree node.
 * function TreeNode(val, left, right) {
 *     this.val = (val===undefined ? 0 : val)
 *     this.left = (left===undefined ? null : left)
 *     this.right = (right===undefined ? null : right)
 * }
 */

var dfs = function(root, ans, deep) {
    if(root == null) return;
    if(deep == ans.length) ans.push([]);
    ans[deep].push(root.val);
    dfs(root.left, ans, deep + 1);
    dfs(root.right, ans, deep + 1);
}
/**
 * @param {TreeNode} root
 * @return {number[][]}
 */
var levelOrderBottom = function(root) {
    let ans = [];
    dfs(root, ans, 0);
    for(let i = 0, j = ans.length - 1; i < j; i++, j--) {
        let temp = ans[i];
        ans[i] = ans[j];
        ans[j] = temp;
    }
    return ans;
};