数据结构二叉树定义、性质、存储结构

898 阅读14分钟

这是我参与8月更文挑战的第7天,活动详情查看:8月更文挑战

数据结构二叉树定义、性质、存储结构

6.5 二叉树的定义

现在我们来做个游戏,我在纸上已经写好了一个100以内的正整数数字,请大家想办法猜出我写的是哪一个?注意你们猜的数字不能超过7个,我的回答只会告诉你是“大了”或“小了”。

这个游戏在一些电视节目中,猜测一些商品的定价时常会使用。我看到过有些人是一点一点的数字累加的,比如5、10、15、20这样猜,这样的猜数策略太低级了,显然是没有学过数据结构和算法的人才做得出的事。

其实这是一个很经典的折半查找算法。如果我们用图6-5-1(下三层省略)的办法,就一定能在7次以内,猜出结果来。

图6-5-1

由于是100以内的正整数,所以我们先猜50(100的一半),被告之“大了”,于是再猜25(50的一半),被告之“小了”,再猜37(25与50的中间数),小了,于是猜43,大了,40,大了,38,小了,39,完全正确。过程如表6-5-1所示。

表6-5-1

我们发现,如果用这种方式进行查找,效率高得不是一点点。对于折半查找的详细讲解,我们后面章节再说。不过对于这种在某个阶段都是两种结果的情形,比如开和关、0和1、真和假、上和下、对与错,正面与反面等,都适合用树状结构来建模,而这种树是一种很特殊的树状结构,叫做二叉树。

二叉树(Binary Tree)是n(n≥0)个结点的有限集合,该集合或者为空集(称为空二叉树),或者由一个根结点和两棵互不相交的、分别称为根结点的左子树和右子树的二叉树组成。

图6-5-2就是一棵二叉树。而图6-2-1的树,因为D结点有三个子树,所以它不是二叉树。

图6-5-2

6.5.1 二叉树特点

二叉树的特点有:

■ 每个结点最多有两棵子树,所以二叉树中不存在度大于2的结点。注意不是只有两棵子树,而是最多有。没有子树或者有一棵子树都是可以的。

■ 左子树和右子树是有顺序的,次序不能任意颠倒。就像人是双手、双脚,但显然左手、左脚和右手、右脚是不一样的,右手戴左手套、右脚穿左鞋都会极其别扭和难受。

■ 即使树中某结点只有一棵子树,也要区分它是左子树还是右子树。图6-5-3中,树1和树2是同一棵树,但它们却是不同的二叉树。就好像你一不小心,摔伤了手,伤的是左手还是右手,对你的生活影响度是完全不同的。

图6-5-3

二叉树具有五种基本形态:

1.空二叉树。

2.只有一个根结点。

3.根结点只有左子树。

4.根结点只有右子树。

5.根结点既有左子树又有右子树。

应该说这五种形态还是比较好理解的,那我现在问大家,如果是有三个结点的树,有几种形态?如果是有三个结点的二叉树,考虑一下,又有几种形态?

若只从形态上考虑,三个结点的树只有两种情况,那就是图6-5-4中有两层的树1和有三层的后四种的任意一种,但对于二叉树来说,由于要区分左右,所以就演变成五种形态,树2、树3、树4和树5分别代表不同的二叉树。

图6-5-4

6.5.2 特殊二叉树

我们再来介绍一些特殊的二叉树。这些树可能暂时你不能理解它有什么用处,但先了解一下,以后会提到它们的实际用途。

1.斜树

顾名思义,斜树一定要是斜的,但是往哪斜还是有讲究。所有的结点都只有左子树的二叉树叫左斜树。所有结点都是只有右子树的二叉树叫右斜树。这两者统称为斜树。图6-5-4中的树2就是左斜树,树5就是右斜树。斜树有很明显的特点,就是每一层都只有一个结点,结点的个数与二叉树的深度相同。

有人会想,这也能叫树呀,与我们的线性表结构不是一样吗。对的,其实线性表结构就可以理解为是树的一种极其特殊的表现形式。

2.满二叉树

苏东坡曾有词云:“人有悲欢离合,月有阴晴圆缺,此事古难全”。意思就是完美是理想,不完美才是人生。我们通常举的例子也都是左高右低、参差不齐的二叉树。那是否存在完美的二叉树呢?

嗯,有同学已经在空中手指比划起来。对的,完美的二叉树是存在的。

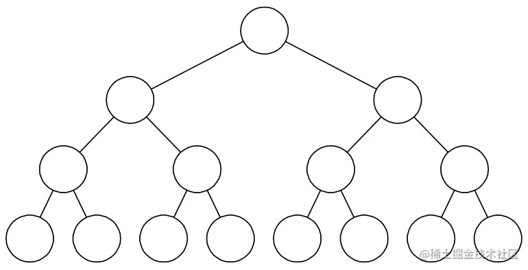
在一棵二叉树中,如果所有分支结点都存在左子树和右子树,并且所有叶子都在同一层上,这样的二叉树称为满二叉树。

图6-5-5就是一棵满二叉树,从样子上看就感觉它很完美。

图6-5-5

单是每个结点都存在左右子树,不能算是满二叉树,还必须要所有的叶子都在同一层上,这就做到了整棵树的平衡。因此,满二叉树的特点有:

(1)叶子只能出现在最下一层。出现在其他层就不可能达成平衡。

(2)非叶子结点的度一定是2。否则就是“缺胳膊少腿”了。

(3)在同样深度的二叉树中,满二叉树的结点个数最多,叶子数最多。

3.完全二叉树

对一棵具有n个结点的二叉树按层序编号,如果编号为i(1≤i≤n)的结点与同样深度的满二叉树中编号为i的结点在二叉树中位置完全相同,则这棵二叉树称为完全二叉树,如图6-5-6所示。

图6-5-6

这是一种有些理解难度的特殊二叉树。

首先从字面上要区分,“完全”和“满”的差异,满二叉树一定是一棵完全二叉树,但完全二叉树不一定是满的。

其次,完全二叉树的所有结点与同样深度的满二叉树,它们按层序编号相同的结点,是一一对应的。这里有个关键词是按层序编号,像图6-5-7中的树1,因为5结点没有左子树,却有右子树,那就使得按层序编号的第10个编号空档了。同样道理,图6-5-7中的树2,由于3结点没有子树,所以使得6、7编号的位置空档了。图6-5-7中的树3又是因为5编号下没有子树造成第10和第11位置空档。只有图6-5-6中的树,尽管它不是满二叉树,但是编号是连续的,所以它是完全二叉树。

图6-5-7

从这里我也可以得出一些完全二叉树的特点:

(1)叶子结点只能出现在最下两层。

(2)最下层的叶子一定集中在左部连续位置。

(3)倒数二层,若有叶子结点,一定都在右部连续位置。

(4)如果结点度为1,则该结点只有左孩子,即不存在只有右子树的情况。

(5)同样结点数的二叉树,完全二叉树的深度最小。

从上面的例子,也给了我们一个判断某二叉树是否是完全二叉树的办法,那就是看着树的示意图,心中默默给每个结点按照满二叉树的结构逐层顺序编号,如果编号出现空档,就说明不是完全二叉树,否则就是。---

6.6 二叉树的性质

二叉树有一些需要理解并记住的特性,以便于我们更好地使用它。

6.6.1 二叉树性质1

性质1:在二叉树的第i层上至多有2i-1个结点(i≥1)。

这个性质很好记忆,观察一下图6-5-5。

第一层是根结点,只有一个,所以21-1=20=1。

第二层有两个,22-1=21=2。

第三层有四个,23-1=22=4。

第四层有八个,24-1=23=8。

通过数据归纳法的论证,可以很容易得出在二叉树的第i层上至多有2i-1个结点(i≥1)的结论。

6.6.2 二叉树性质2

性质2:深度为k的二叉树至多有2 k -1个结点(k≥1)。

注意这里一定要看清楚,是2k后再减去1,而不是2k-1。以前很多同学不能完全理解,这样去记忆,就容易把性质2与性质1给弄混淆了。

深度为k意思就是有k层的二叉树,我们先来看看简单的。

如果有一层,至多1=20-1个结点。

如果有二层,至多1+2=3=22-1个结点。

如果有三层,至多1+2+4=7=23-1个结点。

如果有四层,至多1+2+4+8=15=24-1个结点。

通过数据归纳法的论证,可以得出,如果有k层,此二叉树至多有2k-1个结点。

6.6.3 二叉树性质3

性质3:对任何一棵二叉树T,如果其终端结点数为n 0,度为2的结点数为n 2,则n 0 =n 2 +1。

终端结点数其实就是叶子结点数,而一棵二叉树,除了叶子结点外,剩下的就是度为1或2的结点数了,我们设n1为度是1的结点数。则树T结点总数n=n0+n1+n2。

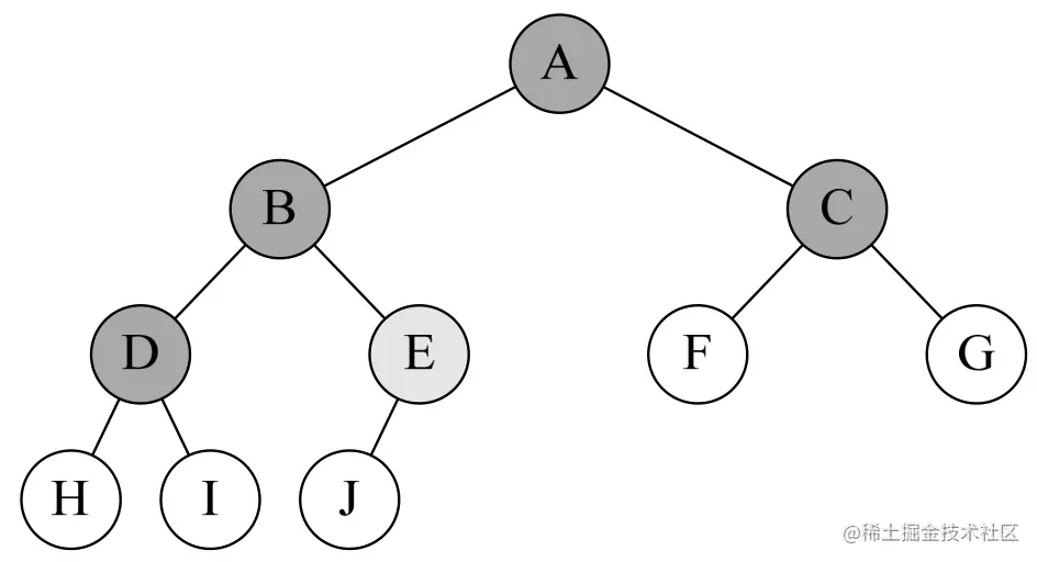
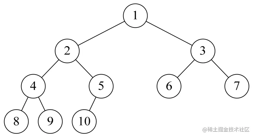
比如图6-6-1的例子,结点总数为10,它是由A、B、C、D等度为2结点,F、G、H、I、J等度为0的叶子结点和E这个度为1的结点组成。总和为4+1+5=10。

图6-6-1

我们换个角度,再数一数它的连接线数,由于根结点只有分支出去,没有分支进入,所以分支线总数为结点总数减去1。图6-6-1就是9个分支。对于A、B、C、D结点来说,它们都有两个分支线出去,而E结点只有一个分支线出去。所以总分支线为4×2+1×1=9。

用代数表达就是分支线总数=n-1=n1+2n2。因为刚才我们有等式n=n0+n1+n2,所以可推导出n0+n1+n2-1= n1+2n2。结论就是n0=n2+1。

6.6.4 二叉树性质4

性质4:具有n个结点的完全二叉树的深度为⌊log 2 n⌋+1(⌊x⌋表示不大于x的最大整数)。

由满二叉树的定义我们可以知道,深度为k的满二叉树的结点数n一定是2k-1。因为这是最多的结点个数。那么对于n=2k-1倒推得到满二叉树的度数为k=log2(n+1),比如结点数为15的满二叉树,度为4。

完全二叉树我们前面已经提到,它是一棵具有n个结点的二叉树,若按层序编号后其编号与同样深度的满二叉树中编号结点在二叉树中位置完全相同,那它就是完全二叉树。也就是说,它的叶子结点只会出现在最下面的两层。

它的结点数一定少于等于同样度数的满二叉树的结点数2k-1,但一定多于2k-1 -1。即满足2k-1-1<n≤2k-1。由于结点数n是整数,n≤2k-1意味着n<2k,n>2k-1-1,意味着n≥2k-1,所以2k-1≤n<2k,不等式两边取对数,得到k-1≤log2n<k,而k作为度数也是整数,因此k=⌊log2n⌋+1。

6.6.5 二叉树性质5

性质5:如果对一棵有n个结点的完全二叉树(其深度为⌊log 2 n⌋+1)的结点按层序编号(从第1层到第⌊log 2 n⌋+1层,每层从左到右),对任一结点i(1≤i≤n)有:

1.如果i=1,则结点i是二叉树的根,无双亲;如果i>1,则其双亲是结点⌊i/2⌋。

2.如果2i>n,则结点i无左孩子(结点i为叶子结点);否则其左孩子是结点2i。

3.如果2i+1>n,则结点i无右孩子;否则其右孩子是结点2i+1。

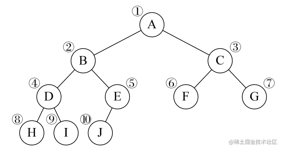
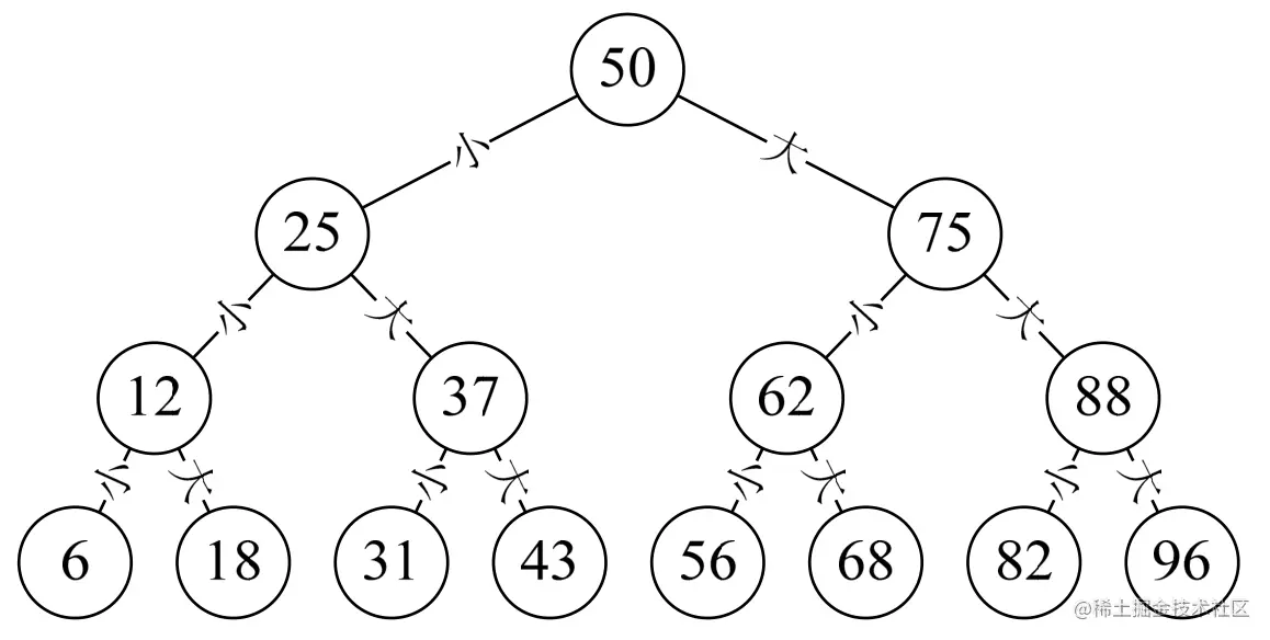
我们以图6-6-2为例,来理解这个性质。这是一个完全二叉树,度为4,结点总数是10。

图6-6-2

对于第一条来说是很显然的,i=1时就是根结点。i>1时,比如结点7,它的双亲就是⌊7/2⌋=3,结点9,它的双亲就是⌊9/2⌋=4。

第二条,比如结点6,因为2×6=12超过了结点总数10,所以结点6无左孩子,它是叶子结点。同样,而结点5,因为2×5=10正好是结点总数10,所以它的左孩子是结点10。

第三条,比如结点5,因为2×5+1=11,大于结点总数10,所以它无右孩子。而结点3,因为2×3+1=7小于10,所以它的右孩子是结点7。

6.7 二叉树的存储结构

6.7.1 二叉树顺序存储结构

前面我们已经谈到了树的存储结构,并且谈到顺序存储对树这种一对多的关系结构实现起来是比较困难的。但是二叉树是一种特殊的树,由于它的特殊性,使得用顺序存储结构也可以实现。

二叉树的顺序存储结构就是用一维数组存储二叉树中的结点,并且结点的存储位置,也就是数组的下标要能体现结点之间的逻辑关系,比如双亲与孩子的关系,左右兄弟的关系等。

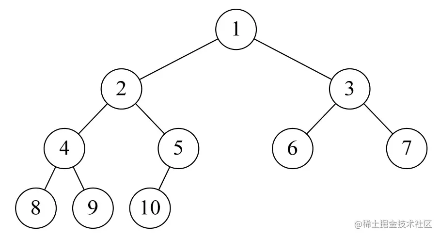
先来看看完全二叉树的顺序存储,一棵完全二叉树如图6-7-1所示。

图6-7-1

将这棵二叉树存入到数组中,相应的下标对应其同样的位置,如图6-7-2所示。

图6-7-2

这下看出完全二叉树的优越性来了吧。由于它定义的严格,所以用顺序结构也可以表现出二叉树的结构来。

当然对于一般的二叉树,尽管层序编号不能反映逻辑关系,但是可以将其按完全二叉树编号,只不过,把不存在的结点设置为“∧”而已。如图6-7-3,注意浅色结点表示不存在。

图6-7-3

考虑一种极端的情况,一棵深度为k的右斜树,它只有k个结点,却需要分配2k-1个存储单元空间,这显然是对存储空间的浪费,例如图6-7-4所示。所以,顺序存储结构一般只用于完全二叉树。

图6-7-4

6.7.2 二叉链表

既然顺序存储适用性不强,我们就要考虑链式存储结构。二叉树每个结点最多有两个孩子,所以为它设计一个数据域和两个指针域是比较自然的想法,我们称这样的链表叫做二叉链表。结点结构图如表6-7-所示。

表6-7-1

其中data是数据域,lchild和rchild都是指针域,分别存放指向左孩子和右孩子的指针。

以下是我们的二叉链表的结点结构定义代码。

    /* 二叉树的二叉链表结点结构定义 */
    typedef  struct BiTNode  /* 结点结构 */
    {
        TElemType data;      /* 结点数据 */
        struct BiTNode *lchild, *rchild;    /* 左右孩子指针 */
    } BiTNode, *BiTree;

结构示意图如图6-7-5所示。

图6-7-5

就如同树的存储结构中讨论的一样,如果有需要,还可以再增加一个指向其双亲的指针域,那样就称之为三叉链表。由于与树的存储结构类似,这里就不详述了。