高等数学 总结

1,512 阅读10分钟

文章目录

原创不易,希望能得到一个赞,感谢各位!

1、函数

考点一:求函数的定义域

求具体函数的定义域

(1)原则

在这里插入图片描述

(2)做题方法

在这里插入图片描述

求抽象函数的定义域

(1)方法:由a≤φ(x)≤b 解出 x 的范围

在这里插入图片描述

(2)方法:求出φ(x) 在[a,b]上的值域.特别地,若φ(x)单调,则所求定义域为[φ(a),φ(b)]或[φ(b),φ[a]]

在这里插入图片描述

(3)已知f[φ(x)]的定义域为[a,b],求f[φ(x)]的定义域

在这里插入图片描述

笔记

  1. 分数的分母 ≠ 0
  2. 根号里面的数 ≥ 0
  3. ln、lg、log都是对数
  4. ln以1为底、lg以10为底
  5. 解不等式组(复合函数,取交集)
  6. 1-x 分之 1+x >0 和 (1+x)(1-x)>0 是同解,得出(1+x)(x-1)<0,最后得出:-1<x<1
  7. sinx ≠ 0 → x ≠ kπ,因为 sinx 是一个周期函数 ,函数图像为:当x=0、x=π、x=2π、x=3π 时,sinx
    都等于0,所以sin ≠ kπ
  8. 注意:定义域指的是自变量 x 的范围。

考点二:求函数的值域

笔记

  1. 值域指的是因变量 y 的范围

考点三:相同函数的判断

定理
在这里插入图片描述

笔记

  1. 根号里面开偶次方根,必须加绝对值,举个例子:f(根号x的平方)=绝对值x
  2. 绝对值函数 实际上就是 分段函数
  3. 当 x≥n时,要去掉绝对值,需每个数字都要变符号
  4. 当 x<n时,要去掉绝对值,则可直接去掉

考点四:求函数表达式

方法一:直接带入

在这里插入图片描述

方法二:做恒等变形

方法三:换元法

在这里插入图片描述

笔记

  1. 碰到f[f(x)]时,先将f(x)写出来,再将f(x)的每一个值替换x即可
  2. 奇变偶不变,符号看象限
  3. 如果换元法做不出就要用恒扥变形,反之同理。

考点五:函数的四种性质

单调性

(1)定义

在这里插入图片描述

(2)判断:利用倒数符号

在这里插入图片描述

奇偶性

(1)定义

在这里插入图片描述

(2)常见

在这里插入图片描述

(3)运算性质

在这里插入图片描述

有界性

(1)定义

在这里插入图片描述

(2)常见

在这里插入图片描述

周期性

(1)定义

在这里插入图片描述

(2)常见的周期函数

在这里插入图片描述

考点六:求反函数

定义

在这里插入图片描述

求反函数步骤
在这里插入图片描述

考点七:基本初等函数

幂函数
在这里插入图片描述

指数函数
在这里插入图片描述

对数函数

(1)概念

(2)运算公式

![在这里插入图片描述](https://img-blog.csdnimg.cn/20201214220832746.png?x-oss-process=image/watermark,type_ZmFuZ3poZW5naGVpdGk,shadow_10,text_aHR0cHM6Ly9ibG9nLmNzZG4ubmV0L3FxXzI3NDk0MjAx,size_16,color_FFFFFF,t_70

(3)指数与对数的恒等变形

在这里插入图片描述

三角函数
在这里插入图片描述

反三角函数
在这里插入图片描述

2、极限

考点一:数列极限的定义

定义

在这里插入图片描述

笔记

  1. 当n→∞时,n分之1 = 0
  2. 当n→∞时,q的n次方(|q|<1)=0

考点二:函数极限的定义

定义一
在这里插入图片描述

定义二

在这里插入图片描述

笔记

  1. x→∞,要想极限存在,要求x→+∞ 与 x→-∞ 的时候极限相等,若不相等,则极限不存在。
  2. 当x→x0时,极限存在充要条件:x→x0+ 与 x→x0- 相等且存在
  3. 极限存在,也要求左右极限都存在且相等。
  4. 当x→0,则 x分之1→ ∞
  5. 0分之1 → ∞
  6. 一个数的负N次方等于这个数的N次方的倒数

考点三:极限的四则运算法则

法则

在这里插入图片描述

笔记

  1. √1开n次方 = 1的n分之1次方,例如:√4开平方 = 4的分之一次方 = 2
  2. n^0 = 1,例如:2012^0 = 1
  3. 等比数列前n相和公式
    在这里插入图片描述
    公式描述:公式中a1为数列首项,q为等比数列的公比,Sn为前n项和。
  4. 当分母极限 ≠ 0 成立时,才可以用四则运算法则
  5. 完全平方公式
    在这里插入图片描述
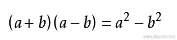
  6. 平方差公式
    在这里插入图片描述
    公式描述:公式表示两个数的和与这两个数的差的积等于这两个数的平方差。
  7. 化简特殊法则,根据分子与分母的最高次幂来相除可化简分式
  8. 同底数幂相乘,底数不变,指数相加
  9. lnM^n = nlnM
  10. lne = 1
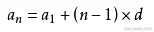
  11. 等差数列通项公式
    在这里插入图片描述
    公式描述:其中等差数列的首项为a1,末项为an,项数为n,公差为d,前n项和为Sn
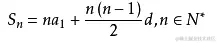
  12. 等差数列求和公式
    在这里插入图片描述
    公式描述:其中等差数列的首项为a1,末项为an,项数为n,公差为d,前n项和为Sn。
  13. 有理化就是分子分母通分
  14. 将一个数带到根号里化简需要平方再处,例如:n带入根号2n里化简,就是2n×n^2

考点四:抓大头

定义

在这里插入图片描述

考点五:夹逼定理

定义
在这里插入图片描述

笔记
用夹逼定理需要找出它 ≥ 谁 和 ≤ 谁,遵循:
≤时,分子不变,分母放大
≥时,分子不变,分母缩小

考点六:无穷小与无穷大

无穷小
在这里插入图片描述

无穷小的性质
在这里插入图片描述

无穷大

在这里插入图片描述

无穷小与无穷大的关系
在这里插入图片描述

考点七:无穷小的比较

定义
在这里插入图片描述

常见的等价无穷小
在这里插入图片描述

等价无穷小代换
在这里插入图片描述

笔记

  1. ln(1+x^2) 等价 x^2,例如:ln(1+x分之1) 等价 x分之1
  2. 如果乘除某一个因子,它的极限是一个非0常数,我们可以考虑先把它算出来
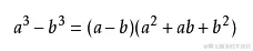
  3. 立方差公式
    在这里插入图片描述

考点八:两个重要极限

重要极限一
在这里插入图片描述

重要极限二
在这里插入图片描述

笔记
e^2a=e,得出2a=1,因为1的任何次方都等于它本身,所以推出e=1,然后待续…(还未推完)

3、连续

考点一:函数的连续性

定理

在这里插入图片描述

类型一:判断连续性
在这里插入图片描述

类型二:已知连续,反求未知参数

在这里插入图片描述

笔记

  1. 连续就是极限值等于该点函数值,我们就可以认为它是连续的
  2. 连续成立的三个条件:
    (1)f(x)在x0的某领域内有定义;
    (2)x->x0,limf(x)存在;(极限连续)
    (3)x->x0,limf(x)=f(x0)(极限相等)

考点二:函数的间断点

定义

分类

(1)第一间断点

可去间断点

跳跃间断点

(2)第二间断点

无穷间断点

振荡间断点

在这里插入图片描述

笔记

  1. x’ = 1(解析
  2. sinx/x = 1(解析
  3. 若分母为0则极限无定义
  4. x→2分之π,若tanx为分母,则tanx = ∞
  5. x→∞,x=0(解析
  6. 间断点的判断标准
    无定义的点一定是间断点
    分段函数的分段点可能是间断点
  7. 1/∞=0(解析
  8. 1/0=∞(解析
  9. 若 tanx=0,则 x=kπ
  10. 求间断点类型,实际上就是求极限的值
  11. 洛必达法则(解析
  12. ∞/n 或者 n/∞,结果都为:∞

考点三:利用零点定理证明根的存在性

零点定理

在这里插入图片描述

解题步骤

在这里插入图片描述

笔记

  1. ‘∃’这个符号指的是:存在
  2. 碰到具体函数,写显然连续
  3. 碰到抽象函数,写因为连续,所以连续
  4. 如果 ξ ∈ (0,1)直接解即可,但 ξ ∈ [0,1) 或者 ξ ∈(0,1] 再或者 [0,1]这种情况就要分开讨论了,题型难度也会提升很多

4、导数与微分

考点一:导数的定义

函数在一点处的导数

在这里插入图片描述
在这里插入图片描述
例题
在这里插入图片描述

单侧导数

(1)左导数

(2)右导数

在这里插入图片描述

充要条件
在这里插入图片描述
例题
在这里插入图片描述

笔记

  1. 判断函数在某一点处可导性的方法: 极限存在,说明函数可导
  2. 判断函数连续吗?可导吗?方法有两种: 方法一:求极限、求导 方法二:画图像(图像有尖点的函数都是不可导的)
  3. 把lim式子里所有的f去掉,算出来是几,就等于几倍的导

考点二:可导与连续的关系

知识点

在这里插入图片描述
例题

在这里插入图片描述
答案:C. 充分必要条件

笔记

  1. 可导一定连续,连续不一定可导
  2. 若A能推出B,A是B的充分条件,B是A的必要条件
  3. 连续是可导的必要条件
  4. 若原命题正确,则它的逆否命题也是正确的,例如: 可导 推出 连续 不连续 也能推出 不可导

考点三:导数的几何意义

知识点
在这里插入图片描述

切线方程、法线方程

在这里插入图片描述
例题
在这里插入图片描述

笔记

  1. 某一点处的导表示在该点处的切线斜率
  2. 直线方程:y-y0=k(x-x0)。其中,点表示 (x0,y0),k表示 斜率
  3. 切线也是直线
  4. 若切线和法线是相互垂直的,斜率相乘 = -1(k1 × k2=-1)
  5. 若两条直线平行,斜率相等

考点四:导数的基本公式及四则运算法则

基本初等函数的导数公式

在这里插入图片描述

求导法则

在这里插入图片描述

笔记

  1. 基本初等函数的导数公式:死记硬背
  2. 求导法则:死记硬背

考点五:求复合函数的导数

定理
在这里插入图片描述

例题
在这里插入图片描述

考点六:求隐函数的导数

定义
在这里插入图片描述

方法
在这里插入图片描述

例题
在这里插入图片描述

笔记

  1. 隐函数是相对于显函数来说的
  2. y=x+1 是一个显函数
  3. 解式子的时候,要把y’放在等式的一边,不含y’的放在等式的另一边
  4. 如果解隐函数式子到最后的时候与其他选项不一样(选择题),就要用原方程化简

考点七:求幂指函数的导数

幂指函数
在这里插入图片描述

求导方法
在这里插入图片描述

例题
在这里插入图片描述

笔记

  1. 两种解法:
    方法一:对数求导法(先两边同时取对数,取完对数后在两边对x进行求导,解出y’)
    方法二: 恒等变形(u^v = e^vlnu)

考点八:求由参数方程所确定的函数的导数

参数方程
在这里插入图片描述

求导方法
在这里插入图片描述

例题
在这里插入图片描述

笔记

  1. 参数方程求导就是分子分母同时除以dt
  2. 二阶导实际上就是对一阶导函数再对x求导
  3. dy/dt是y对t求导,dx/dt是x对t求导
  4. 求具体点处的导,先求函数导,再把具体的点往里面带
  5. cosx2-sinx2 = 1
  6. 想求二阶导,得先求一阶导

考点九:高阶导数

定义
在这里插入图片描述

例题
在这里插入图片描述

求n阶导的一般方法

在这里插入图片描述
例题
在这里插入图片描述

常见函数的高阶导数
在这里插入图片描述
例题
在这里插入图片描述

笔记

  1. (1/v)’ = -(v’/v^2)(由除法法则推导的公式)
  2. y’ 表示 一阶导,y’’ 表示 二阶导,y’’’ 表示 三阶导,y^(n) 表示 n阶导
  3. 对于幂函数,只要阶次比幂次高,值都是0,例如:(x5)(7)求7阶导 = 0

考点十:函数的微分

知识点
在这里插入图片描述
例题
在这里插入图片描述

笔记

  1. 一个函数可微分 实际上 就是可求导
  2. u^v = e^vlnu

5、不定积分

考点一:不定积分的概念及性质

原函数
在这里插入图片描述

例题
在这里插入图片描述

不定积分

例题
在这里插入图片描述

不定积分的性质

(1)线性性质

(2)积分运算与微分运算互逆

在这里插入图片描述

例题
在这里插入图片描述

笔记

  1. ∫ 表示 积分,d 表示 微分
  2. 不定积分 = 某一个原函数 + C
  3. 一个函数先积分再求导 = 这个函数本身,例如:[∫f(x)dx]’ = f(x)
  4. 一个函数先积分再求微分 = 这个函数本身 * dx,例如:d[∫f(x)dx] = f(x)*dx
  5. 一个函数求积分 = 函数本身 + C
  6. lnx=t,求得x=e^t(解析
  7. e^lnx=x(解析
  8. ∫(1+e^x)dx = x + e^x +C,最迷的是移出来1变成了x(因为它吧x dx变成某个常数乘以d(关于x^2)的东西了。)
  9. 求不定积分,结果一定要加上任意常数C

考点二:基本积分公式

基本积分公式

在这里插入图片描述
例题
在这里插入图片描述

笔记

  1. ∫(1/x^2)*dx = (-1/x)+C
  2. 再次强调,算不定义积分一定要 + 常数C
  3. 解不定积分式子时,有系数的情况,先把系数提出去
  4. tanx = sinx/cosx,cotx = cosx/sinx
  5. 倒数公式: cotx = 1/tanx secx = 1/cosx cscx = 1/sinx
  6. 倍角公式 sin2x = 2sinxcosx cos2x = 2cos^2 x-1=1-2sin^2 x=cos^2 x-sin^2 x
  7. sin^2 x+cos^2 x = 1,1+tan^2 x = sec^2 x,1+cot^2 x = csc^2 x
  8. 降幂公式 sin^2 x = 1-cos2x/2

6、中值定理及导数的应用

考点一:罗尔定理

罗尔定理

在这里插入图片描述

1、罗尔定理的验证

在这里插入图片描述
例题
在这里插入图片描述

2、利用罗尔定理证明根的存在性

(1)构造辅助函数

(2)验证罗尔定理的三个条件

(3)由罗尔定理得结论

在这里插入图片描述

3、利用罗尔定理判断根的个数
例题
在这里插入图片描述

笔记

  1. 对于具体函数:写显然可导 对于抽象函数:写因为…连续可导,所以…连续可导
  2. f(x)/x^2 求导后 可得:f’(x) - 2f(x)
  3. f(x)时五次多项式 推导出 f’(x)是四次多项式 推导出 f’(x)=0最多有4个实根
  4. 闭区间上连续,开区间上可导

考点二:拉格朗日中值定理

拉格朗日中值定理

在这里插入图片描述

1、拉格朗日中值定理的验证

在这里插入图片描述
例题
在这里插入图片描述

2、利用拉格朗日中值定理证明不等式

在这里插入图片描述
在这里插入图片描述

3、利用拉格朗日中值定理的推论证明恒等式

在这里插入图片描述
例题
在这里插入图片描述

笔记

  1. 区间断点看,将中间部分写成差的形式
  2. ln1=0
  3. 开区间要分情况讨论
  4. lnM-lnN=lnM/N

考点三:洛必达法则

知识点

在这里插入图片描述

例题
在这里插入图片描述

笔记

  1. 看到∞/∞,0/0时,分子分母同时求导
  2. 当x→0时,1-cos2x 与 二分之一 * x^2 等价
  3. 加减时不能等价无穷代换,乘除时才可以
  4. 看到幂指函数,一定会用到公式:u^v = e^vlnu
  5. 当x→0时,sinx 与 x 等价
  6. 用洛必达之前,式子能化简化简,否则会越解越复杂
  7. 如果乘除的某一个因子,它的极限算出来是非零常数,可以考虑先把这个非零常数先算出来
  8. 1+tan^2 x = sec^2 x

考点四:函数的单调性

1、定义

2、判断

在这里插入图片描述
例题
在这里插入图片描述

3、求单调区间

在这里插入图片描述
例题

在这里插入图片描述

4、利用单调性证明不等式
在这里插入图片描述
例题
在这里插入图片描述

笔记

  1. 要知道函数单调性,需要对函数进行求导
  2. 1-cosx >= 0
  3. 分解因式
  4. 求单调区间要与定义域取交集

考点五:函数的极值

1、极值的定义

在这里插入图片描述

2、驻点

3、极值的必要条件

在这里插入图片描述

例题
在这里插入图片描述

4、极值的充分条件

(1)第一充分条件

在这里插入图片描述

(2)第二充分条件

在这里插入图片描述
例题

在这里插入图片描述

笔记

  1. 求驻点就是求导,让导数=0 即可
  2. 可导函数的极值点一定是驻点,驻点就是导数 = 0 的点
  3. 可微 => 可导

原创不易,希望能得到一个赞,感谢各位!