15天算法入门(五)

267 阅读2分钟

这是我参与8月更文挑战的第6天,活动详情查看:8月更文挑战

image.png 今天考察的是双指针加链表的操作。必须要回顾一下链表的反转、删除、增加等基础操作,最为经典的还是取中间数的几种情况。

链表的中间节点

题目

给定一个头结点为 head 的非空单链表,返回链表的中间结点。

如果有两个中间结点,则返回第二个中间结点。

示例 1:
输入:[1,2,3,4,5]
输出:此列表中的结点 3 (序列化形式:[3,4,5])
返回的结点值为 3 。 (测评系统对该结点序列化表述是 [3,4,5])。
注意,我们返回了一个 ListNode 类型的对象 ans,这样:
ans.val = 3, ans.next.val = 4, ans.next.next.val = 5, 以及 ans.next.next.next = NULL.

题解

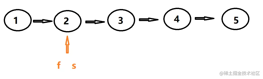
使用快慢指针,快指针一次走两格,慢指针一次一格。这样返回的慢指针正好指向中间节点。
只是需要考虑的是:节点是欧偶数个的时候,中间节点返回的是第二个节点。节点上取整还是下取整是根据快慢指针的起始位置决定的。

  • 如果偶数个上取整的话,直接从头节点开始:快指针两格,慢指针一格。
  • 如果偶数个下取整的话,就要从头节点的下一个节点开始,这样才能确保快指针走完后,慢指针指向的是中间节点的第二个节点。

image.png

image.png

代码

var middleNode = function (head) {
    if (head == null || head.next == null) return head
    let f = head.next, s = head.next
    while (f.next != null && f.next.next != null) {
        s = s.next
        f = f.next.next
    }
    return s
};

删除链表的倒数第 N 个结点

题目

给你一个链表,删除链表的倒数第 n 个结点,并且返回链表的头结点。

进阶:你能尝试使用一趟扫描实现吗?

示例 1:
输入:head = [1,2,3,4,5], n = 2
输出:[1,2,3,5]

题解

这题依旧使用快慢指针来解决。不过题目求的是到第N个,我们可以将快指针先走N步,然后让快慢指针同时同向而行,直到快指针遍历完成。
此时,慢指针正好指在到数第N+1的位置,然后使用链表的删除操作将N位置的节点删除。
最后直接返回原链表即可。

image.png

代码

var removeNthFromEnd = function (head, n) {
    if (head == null) return head
    let f = head, s = head
    while (n) {
        f = f.next
        n--
    }
    if (f == null) return head.next
    while (f.next != null) {
        f = f.next
        s = s.next
    }
    s.next = s.next.next
    return head
};

题目来源:leetcode