数据结构-堆

239 阅读2分钟

这是我参与8月更文挑战的第6天,活动详情查看:8月更文挑战

一种比较特殊的数据结构,可以被看做一棵树的数组对象;
是可以迅速找到一堆数中的`最大值`或者`最小值`的数据结构,所以堆可以用来实现优先队列。

特点

1、必定是完全二叉树,所以一定是平衡二叉树。

什么是完全二叉树?

完全二叉树的特点:
1、叶子结点只能出现在最下层和次下层。
2、最下层的叶子结点集中在树的左部。
3、倒数第二层若存在叶子结点,一定在右部连续位置。
4、如果结点度为1,则该结点只有左孩子,即没有右子树。
5、同样结点数目的二叉树,完全二叉树深度最小。

意思是说完全二叉树的节点是自上而下,自左向右的;树的上层节点没放满之前是不会放下一层的,同一层左节点全部放满才放右节点;如下图

image.png

image.png

2、分为大顶堆和小顶堆

大顶堆

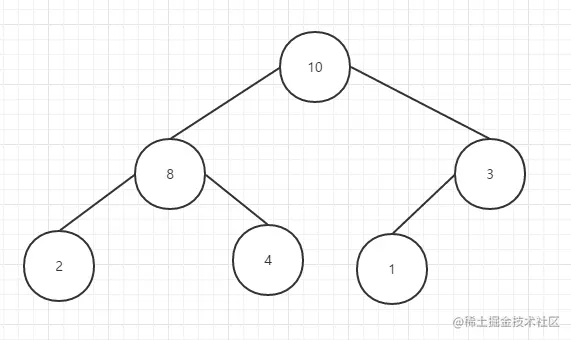
在大顶堆中:任意节点的值比其子树节点的值都要大

image.png

小顶堆

在小顶堆中:任意节点的值比其子树节点的值都要小

image.png

3、因为堆有序的特点,一般用来做数组中的排序,称为堆排序。

image.png

堆节点的访问

  • 父节点i的左子节点所在位置(2i+1)
  • 父节点i的右子节点所在位置(2i+2)
  • 子节点i的父节点所在位置(i-1)/2向下取整

排序的基本思路

  • 无序的堆序列
  • 将每个父节点跟左右子节点作比较,将大/小的子节点和父节点做交换,直到将堆变成最小堆或者最大堆
  • 将堆顶的值跟未排序的二叉树最后的一个节点做交换
  • 一直重复这些步骤,直到排序完成

适用场景

  • 构建优先队列(堆顶总是最大(最小)元素)
  • 堆排序
  • 寻找最大值/最小值