掌握这七点,轻松学会Java数据结构

200 阅读8分钟

本文章转自:乐字节 文章主要讲解:Java 数据结构 获取更多Java相关资料及项目可以:

今天我们来学一下数据结构方面的知识,对扎实 Java 的基本功非常有用,学会了就会有一种自带大佬的感觉,嘿嘿。数据结构,也就是 Data Structure,是一种存储数据的结构体,数据与数据之间存在着一定的关系,这样的关系有数据的逻辑关系、数据的存储关系和数据的运算关系。

在 Java 中,数据结构一般可以分为两大类:线性数据结构和非线性数据结构。哈哈,这个非字很有灵魂吧?

先来说线性数据结构吧。

一、数组

一眼看上去就知道的,像 String []、int [] 这种;还有需要看两眼才能看透的(看源码了),像 ArrayList,内部对数组进行了封装。

数组这种数据结构最大的好处,就是可以根据下标(或者叫索引)进行操作,插入的时候可以根据下标直接插入到具体的位置,但与此同时,后面的元素就需要全部向后移动,需要移动的数据越多,就越累。

简单总结一下 ArrayList 的时间复杂度,方便大家在学习的时候作为参考。 1、通过下标(也就是 get(int index))访问一个元素的时间复杂度为 O(1),因为是直达的,无论数据增大多少倍,耗时都不变。 2、添加一个元素(也就是 add())的时间复杂度为 O(1),因为直接添加到末尾。 3、删除一个元素的时间复杂度为 O(n),因为要遍历列表,数据量增大几倍,耗时也增大几倍。 4、查找一个未排序的列表时间复杂度为 O(n),因为要遍历列表;查找排序过的列表时间复杂度为 O(log n),因为可以使用二分查找法,当数据增大 n 倍时,耗时增大 logn 倍(这里的 log 是以 2 为底的,每找一次排除一半的可能)。

二、链表

链表在物理存储空间是不连续的,但每个节点要么知道它的下一个节点是谁,要么知道它的上一个节点是谁,仿佛就像我们之间隔着千山万水,却心有灵犀一点链。像 LinkedList 就是最典型的链表结构,通过引用相互链接。 LinkedList 中的每一个元素都可以称之为节点(Node),每一个节点都包含三个项目:其一是元素本身,其二是指向下一个元素的引用地址,其三是指向上一个元素的引用地址。 LinkedList 看起来就像下面这个样子:

相比 ArrayList,LinkedList 有以下优势: 1、LinkedList 允许内存进行动态分配,这就意味着内存分配是由编译器在运行时完成的,我们无需在 LinkedList 声明的时候指定大小。 2、LinkedList 不需要在连续的位置上存储元素,因为节点可以通过引用指定下一个节点或者前一个节点。也就是说,LinkedList 在插入和删除元素的时候代价很低,因为不需要移动其他元素,只需要更新前一个节点和后一个节点的引用地址即可。

三、栈

栈是一种非常有用的数据结构,它就像一摞盘子,第一个放在最下面,第二个放在第一个上面,第三个放在第二个上面,最后一个放在最上面。栈遵循后进先出的原则,也就是“Last In First Out”(简称 LIFO)——最后的一个进的,最先出去。 对于栈这样一个数据结构来说,它有两个常见的动作:

\

四、队列

队列,只允许在队尾添加数据,队首移除数据。队列在 Java 中的出现频率非常高,有各种不同的类来满足不同的场景需求。像优先级队列 PriorityQueue、延时队列 DelayQueue 等等。队列遵循的是 First In First Out,缩写为 FIFO,也就是先进先出,第一个进入队列的第一个先出来。

再来说非线性数据结构。

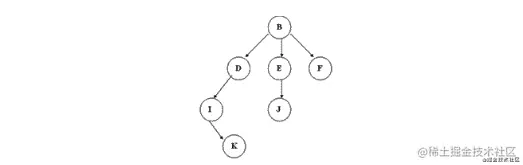
五、树

树是一种典型的非线性结构,它是由 n(n>0)个有限节点组成的一个具有层次关系的集合。之所以叫“树”,是因为这种数据结构看起来就像是一个倒挂的树,只不过根在上,叶在下。树形数据结构有以下这些特点:

下图展示了树的一些术语:

根节点是第 0 层,它的子节点是第 1 层,子节点的子节点为第 2 层,以此类推。

树又可以细分为下面几种: 1、普通树:对子节点没有任何约束。

2、二叉树:每个节点最多含有两个子节点的树。 二叉树按照不同的表现形式又可以分为多种。 2.1、普通二叉树:每个子节点的父节点不一定有两个子节点的二叉树。 2.2、完全二叉树:对于一颗二叉树,假设其深度为d(d>1)。除了第 d 层外,其它各层的节点数目均已达最大值,且第 d 层所有节点从左向右连续地紧密排列。 2.3、满二叉树:一颗每一层的节点数都达到了最大值的二叉树。有两种表现形式,第一种,像下图这样(每一层都是满的),满足每一层的节点数都达到了最大值 2。

3、二叉查找树:英文名叫 Binary Search Tree,即 BST,需要满足以下条件:

3.1、平衡二叉树:当且仅当任何节点的两棵子树的高度差不大于 1 的二叉树。由前苏联的数学家 Adelse-Velskil 和 Landis 在 1962 年提出的高度平衡的二叉树,根据科学家的英文名也称为 AVL 树。 平衡二叉树本质上也是一颗二叉查找树,不过为了限制左右子树的高度差,避免出现倾斜树等偏向于线性结构演化的情况,所以对二叉搜索树中每个节点的左右子树作了限制,左右子树的高度差称之为平衡因子,树中每个节点的平衡因子绝对值不大于 1。 平衡二叉树的难点在于,当删除或者增加节点的情况下,如何通过左旋或者右旋的方式来保持左右平衡。 红黑树是一种常见的平衡二叉树,节点是红色或者黑色,通过颜色的约束来维持着二叉树的平衡:

\

4、B 树:一种对读写操作进行优化的自平衡的二叉查找树,能够保持数据有序,拥有多于两个的子树。

5、B+ 树:B 树的变体。

HashMap 里面的 TreeNode 就用到了红黑树,而 B 树、B+ 树在数据库的索引原理里面有典型的应用。

六、哈希表

哈希表(Hash Table),也叫散列表,是一种可以通过关键码值(key-value)直接访问的数据结构,它最大的特点就是可以快速实现查找、插入和删除。其中用到的算法叫做哈希,就是把任意长度的输入,变换成固定长度的输出,该输出就是哈希值。像 MD5、SHA1 都用的是哈希算法。 每一个 Java 对象都会有一个哈希值,默认情况就是通过调用本地方法执行哈希算法,计算出对象的内存地址 + 对象的值的关键码值。 数组的最大特点就是查找容易,插入和删除困难;而链表正好相反,查找困难,而插入和删除容易。哈希表很完美地结合了两者的优点, Java 的 HashMap 在此基础上还加入了树的优点。

哈希表具有较快(常量级)的查询速度,以及相对较快的增删速度,所以很适合在海量数据的环境中使用。 对于任意两个不同的数据块,其哈希值相同的可能性极小,也就是说,对于一个给定的数据块,找到和它哈希值相同的数据块极为困难。再者,对于一个数据块,哪怕只改动它的一个比特位,其哈希值的改动也会非常的大——这正是 Hash 存在的价值! 尽管可能性极小,但仍然会发生,如果哈希冲突了,Java 的 HashMap 会在数组的同一个位置上增加链表,如果链表的长度大于 8,将会转化成红黑树进行处理——这就是所谓的拉链法(数组+链表)。

七、图

图是一种复杂的非线性结构,由顶点的有穷非空集合和顶点之间边的集合组成,通常表示为:G(V,E),其中,G 表示一个图,V 是图 G 中顶点的集合,E 是图 G 中边的集合。 上图共有 V0,V1,V2,V3 这 4 个顶点,4 个顶点之间共有 5 条边。 在线性结构中,数据元素之间满足唯一的线性关系,每个数据元素(除第一个和最后一个外)均有唯一的“前驱”和“后继”; 在树形结构中,数据元素之间有着明显的层次关系,并且每个数据元素只与上一层中的一个元素(父节点)及下一层的多个元素(子节点)相关; 而在图形结构中,节点之间的关系是任意的,图中任意两个数据元素之间都有可能相关。

感谢大家的认同与支持,小编会持续转发《乐字节》优质文章