神经网络如何模拟任意函数?

729 阅读2分钟

概述

神经网络之所以强大,在于它强大的模拟能力。理论上,它可以以无限小的误差模拟任意函数。

也就是说,我们可以利用神经网络构建任意函数,得到任意算法。

我们这里使用一些可视化的样例,帮助大家获得一些直观的理解。

一元函数的模拟

直线

这个是最简单的情况,我们使用一个不带激活函数的神经元即可模拟。

f(x)=wx+bf(x) = wx+b

通过调整w,bw, b参数,即可模拟任意直线。

阶跃函数Step Function

我们使用一个带Sigmoid激活函数的神经元来模拟。

随着ww参数继续增大,神经网络就会逐步逼近该函数。

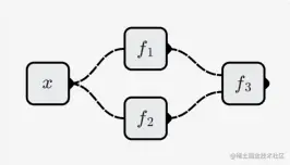
矩形脉冲函数

我们分成几步来模拟:

  1. 使用1个神经元来模拟函数的左半部分。

f1(x)=sigmoid(w1x+b1)f_1(x) = \text{sigmoid}(w_1x+b_1)

  1. 使用1个神经元来模拟函数的右半部分(上下颠倒)。

f2(x)=sigmoid(w2x+b2)f_2(x) = \text{sigmoid}(w_2x+b_2)

  1. 再使用一个神经元将前2步的图像进行合成

f3(x,y)=sigmoid(w31x+w32y+b3)f_3(x, y) = \text{sigmoid}(w_{31}x + w_{32}y + b_3)

得到的结果很好地近似了目标函数。

其它一元函数

利用矩形脉冲函数,我们很容易近似其它任意函数,就像积分原理一样。

二元函数的模拟

平面

这个是最简单的情况,我们使用一个不带激活函数的神经元即可模拟。

f(x,y)=w1x+w2y+bf(x, y) = w_1x + w_2y + b

通过调整w1,w2,bw_1, w_2, b参数,即可模拟任意平面。

二元阶跃函数Step Function

我们使用一个带Sigmoid激活函数的神经元来模拟。 f(x)=sigmoid(w1x+w2y+b)f(x) = \text{sigmoid}(w_1x + w_2y + b)

二元矩形脉冲函数

与一元函数的情况类似,我们分步实现它:

  1. 使用一个神经元来模拟函数的一个边缘

f1(x,y)=sigmoid(w11x+w12y+b1)f_1(x, y) = \text{sigmoid}(w_{11}x + w_{12}y + b_1)

  1. 然后我们可以得到以下函数:

  1. 最后,可以合成以下函数

最终的神经网络结构如下图所示:

其它二元函数

利用二元矩形脉冲函数,我们很容易近似其它任意二元函数,就像积分原理一样。

n元函数的模拟

原理一样,自己想象!😥

问题

我们已经拥有了数字电路以及软件程序算法,为什么还需要神经网络?

构建与数字电路之上的软件程序也可以模拟任意函数,那为什么还要发明人工神经网络呢?

参考软件

更多内容及可交互版本,请参考App:

神经网络与深度学习 神经网络与深度学习