987. 二叉树的垂序遍历| 8月更文挑战

195 阅读2分钟

给你二叉树的根结点 root ,请你设计算法计算二叉树的 垂序遍历 序列。

对位于 (row, col) 的每个结点而言,其左右子结点分别位于 (row + 1, col - 1) 和 (row + 1, col + 1) 。树的根结点位于 (0, 0) 。

二叉树的 垂序遍历 从最左边的列开始直到最右边的列结束,按列索引每一列上的所有结点,形成一个按出现位置从上到下排序的有序列表。如果同行同列上有多个结点,则按结点的值从小到大进行排序。

返回二叉树的 垂序遍历 序列。

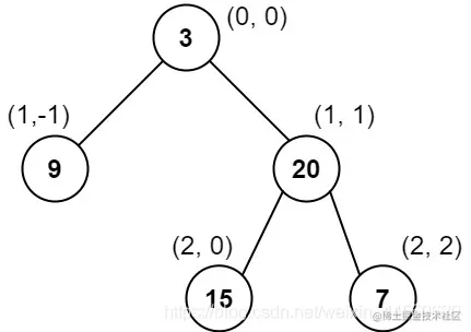
示例 1: 在这里插入图片描述

输入:root = [3,9,20,null,null,15,7] 输出:[[9],[3,15],[20],[7]] 解释: 列 -1 :只有结点 9 在此列中。 列 0 :只有结点 3 和 15 在此列中,按从上到下顺序。 列 1 :只有结点 20 在此列中。 列 2 :只有结点 7 在此列中。 示例 2:

输入:root = [1,2,3,4,5,6,7] 输出:[[4],[2],[1,5,6],[3],[7]] 解释: 列 -2 :只有结点 4 在此列中。 列 -1 :只有结点 2 在此列中。 列 0 :结点 1 、5 和 6 都在此列中。 1 在上面,所以它出现在前面。 5 和 6 位置都是 (2, 0) ,所以按值从小到大排序,5 在 6 的前面。 列 1 :只有结点 3 在此列中。 列 2 :只有结点 7 在此列中。 示例 3:

输入:root = [1,2,3,4,6,5,7] 输出:[[4],[2],[1,5,6],[3],[7]] 解释: 这个示例实际上与示例 2 完全相同,只是结点 5 和 6 在树中的位置发生了交换。 因为 5 和 6 的位置仍然相同,所以答案保持不变,仍然按值从小到大排序。

解题思路

  1. 使用TreeMap以节点的列号为key,value是一个list,记录该列里面所有节点的值以及对应的行号。因此我们获得的列号是有序的,再对相同列的节点进行排序,如果同行同列上有多个结点,则按结点的值从小到大进行排序,否则就按列号排序。
  2. 因此我们只需要对二叉树进行一次遍历,把节点的信息都记录在TreeMap即可。

代码

/**
 * Definition for a binary tree node.
 * public class TreeNode {
 *     int val;
 *     TreeNode left;
 *     TreeNode right;
 *     TreeNode() {}
 *     TreeNode(int val) { this.val = val; }
 *     TreeNode(int val, TreeNode left, TreeNode right) {
 *         this.val = val;
 *         this.left = left;
 *         this.right = right;
 *     }
 * }
 */
class Solution {
    Map<Integer,List<int[]>> map=new TreeMap<>((o1, o2) -> o2-o1);
    public List<List<Integer>> verticalTraversal(TreeNode root) {
        List<List<Integer>> res=new ArrayList<>();
        findVerticalTraversal(root,0,0);
        for (Map.Entry<Integer, List<int[]>> entry : map.entrySet()) {
            Collections.sort(entry.getValue(),(o1, o2) -> o1[1]!=o2[1]?o1[1]-o2[1]:o1[0]-o2[0]);
            ArrayList<Integer> list = new ArrayList<>();
            for (int i=0;i<entry.getValue().size();i++)
                list.add(entry.getValue().get(i)[0]);
            res.add(list);
        }
        return res;

    }
    public void findVerticalTraversal(TreeNode root,int cnt,int deep) {

        if (root==null) return;
        if (!map.containsKey(cnt))
            map.put(cnt,new ArrayList<>());
        map.get(cnt).add(new int[]{root.val,deep});
        findVerticalTraversal(root.left,cnt+1,deep+1);
        findVerticalTraversal(root.right,cnt-1,deep+1);
    }
}