NO1104.二叉树寻路

207 阅读1分钟

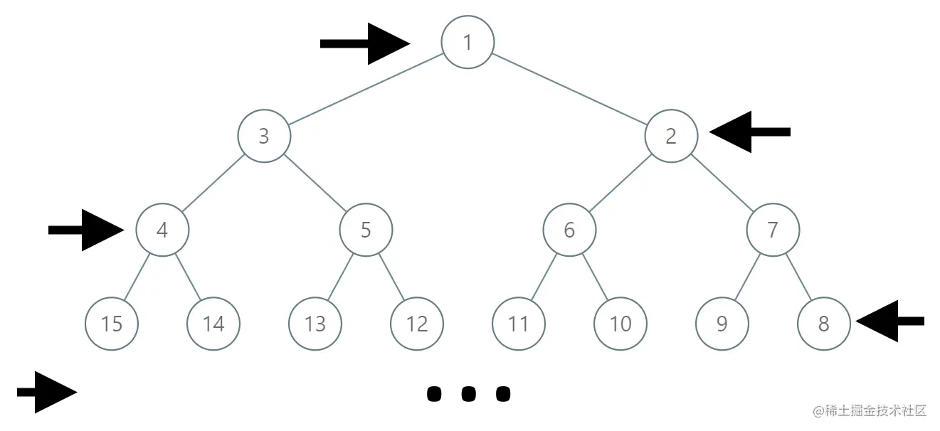
在一棵无限的二叉树上,每个节点都有两个子节点,树中的节点 逐行 依次按 “之” 字形进行标记。

如下图所示,在奇数行(即,第一行、第三行、第五行……)中,按从左到右的顺序进行标记;

而偶数行(即,第二行、第四行、第六行……)中,按从右到左的顺序进行标记。

tree.png

给你树上某一个节点的标号 label,请你返回从根节点到该标号为 label 节点的路径,该路径是由途经的节点标号所组成的。

示例 1:

输入: label = 14
输出: [1,3,4,14]

示例 2:

输入: label = 26
输出: [1,2,6,10,26]

提示:

  • 1 <= label <= 10^6

思考过程: 假如这是一个正常的按顺序写的二叉树,问题就非常简单,节点target的父节点就为target/2。现在二叉树按“之”字型排列,就有一个重要的信息:节点target和其父节点parent有且仅有一个在逆序的一行上。 我们只需要找到target所在行的对称节点symmetry,这样相当于消除了隔行逆序的影响,symmetry/2就是正常二叉树上的target的父节点。

时间复杂度:O(logN)
空间复杂度:O(1)

代码:

    List<Integer> res = new ArrayList<>();

    public List<Integer> pathInZigZagTree(int label) {
        int level = 0;
        int tempL = label;
        //获得target所在层数,root为第一层
        while(tempL != 0) {
            tempL /= 2;
            level++;
        }
        this.findParents(label, level);
        
        Collections.reverse(res);
        return res;
    }

    public void findParents(int label, int level) {
        if (level == 1) {
            res.add(1);
            return;
        }
        int i = (int)Math.pow(2, level) - 1;
        int j = (int)Math.pow(2, level - 1);

        int symmetry = i + j - label;
        int parent = symmetry / 2;
        res.add(label);
        
        findParents(parent, level - 1);
    }
}