浅谈树模型与集成学习-从决策树到GBDT

3,125 阅读13分钟

引言

  神经网络模型,特别是深度神经网络模型,自AlexNet在Imagenet Challenge 2012上的一鸣惊人,无疑是Machine Learning Research上最靓的仔,各种进展和突破层出不穷,科学家工程师人人都爱它。
机器学习研究发展至今,除了神经网络模型这种方法路径外,还存在许多大相径庭的方法路径,比如说贝叶斯算法、遗传算法、支持向量机等,这些经典算法在许多场景上也一直沿用。本文介绍的树模型,也是一种非常经典的机器学习算法,在推荐系统上经常能看到它的身影。
那这个树模型是怎样构建和实现的,其核心idea是什么?树模型效果不够好,又可以用什么样的思路和办法改进呢?本文主要包含以下三个方面的内容:

1.决策树  
2.集成学习  
3.随机森林与梯度提升决策树

决策树

  决策树(Decision Tree)是树模型中最简单的一个模型,也是后面将要介绍到的随机深林与梯度提升决策树两个模型的基础。利用决策树算法,在历史约会数据集上,我们可以画出这样一个树,这颗树上的叶子节点表示结论,非叶子节点表示依据。一个样本根据自身特征,从根节点开始,根据不同依据决策,拆分成子节点,直到只包含一种类别(即一种结论)的叶子节点为止。

图片

假设有如上面表格的一个数据集,基于这样数据可以构建成这样的一颗决策树,如下图所示。 图片

信息熵与基尼不纯度

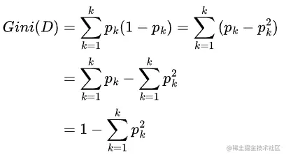
  可以看出构建决策树的关键是"分裂",不断地分裂成子节点,一直到叶子节点(不能分裂)为止。那么这个关键分裂的标准和方法是什么、怎么分才是最好最恰当的呢?显然,能把正负样本完全划分开,一边正一边负,两边集合都是很“确定的”最好。在这里确定性是指一个事件只出现一个结果的可能性,那如何量化“确定性”这个指标呢,一般有两种方法:信息熵和基尼不纯度。
信息熵Entropy,是用来衡量信息的不确定性的指标,其计算方式如下: 图片
其中P(X=i)为随机变量X取值为i的概率。
基尼不纯度,实际上是对信息熵的一种近似的简化计算,因为对图片进行泰勒展开后,由于图片,所以高阶项近似为0可忽略,仅保留一阶项1-P(X=i)
图片
其中图片表示选中样本为第k类的概率。从公式上看,基尼不纯度可理解为,从数据集D中随机抽取两个样本,这两个样本刚好不同类的概率。
信息熵和基尼不纯度都能客观而具体地量化出“不确定性”,这两个指标越大反映事物不确定性的程度越高。 图片
比如有三个硬币,第一个硬币其正背面质量完全均衡,抛出正背面概率相同,第二个硬币正面质量大于背面,其抛出正面概率远大于背面,第三个硬币则一定会抛出正面。这三个硬币里面,第三个硬币的不确定性的程度最低,因为其没有任何的不确定性,抛出正面是个必然事件;第一个硬币不确定性的程度最高,没办法确定抛出的正面还是背面;第二个硬币不确定性程度次之,因为其有比较大概率是能抛出正面,能相对确定一些。

构建分类树

  有了对"不确定性"的量化方法,我们利用这些指标,来指导我们应该选择那个特征、特征怎么分叉,保证每一步“分裂”都是最优的,一直迭代到叶子节点为止。显然这个决策树的构建算法就是个贪心算法。考虑到算法实现的问题,这个决策树最好是二叉的而不是多叉,所以我们一般用二叉的CART(Classification And Regression Tree)算法构建决策树。
以约会数据集D为例,Gini(D) = 0.5,划分成两个集合d1, d2,标签0和1表示否和是。基尼增益图片,如下表格所示我们利用基尼增益选特征,并确认其最佳分叉点。
图片
可见,基于气温特征在分叉点为26.5的情况下,将数据集D划分成<d1, d2>两个集合,其获得基尼增益最大。重复这个步骤,将d1和d2继续拆分下去,直到集合无法再分,或基尼增益小于或等于0为止。

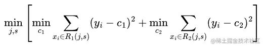
构建回归树

  决策树用于回归问题,思路与用分类问题的思路是一样的。只是将分裂好坏的评价方法,又信息熵改成平方误差函数,也就是把增益函数改成平方误差增益即可。
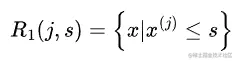
假设训练集中第j个特征变量图片 和它的取值s,作为切分变量和切分点,并定义两个区域图片图片为找出最优的j和s,对下式求解
图片

提高树模型的性能

  在构建决策树的过程中,我们能看到只要样本不冲突(样本既是正样本,又是负样本),是一定能收敛的,代价就是在决策树上添加更多(覆盖样本少的)叶子节点。但是这样的决策树,是完全没用归纳总结数据的规律,只是相当于把训练集用树的形式给背了下来,对于未训练的数据样本可能完全不是一回事,这学到的模型实际上是没有意义的。
决策树比较容易过拟合,因此需要树的结构进行约束。利用剪枝等方法来砍掉冗余的分支,使得树结构尽量简单,以提高树模型在未训练数据上的预测表现(也就是泛化能力)。除此之外,集成学习(Ensemble Learning),横向地增加多个树,并利用多个树模型结果综合判断,也是个能提高模型性能常用方法。经常用在机器学习领域上的各种比赛和竞赛上,是个经典的刷榜套路。

集成学习

  我们知道模型都不是完美的,而是有误差的。而模型的误差可以分成两种,一种是偏差(Bias)可理解为与模型预测均值与样本真值的误差,一种是方差(Variance)可理解为模型预测值自身的变化幅度。下图形象地了描述这两个概念。
图片
集成学习算法思考的问题就是:多个误差大效果差的个体模型,能不能以某种形式集成起来,变成一个误差变小效果变好的总体模型呢?这个答案肯定是显然的,我们都知道人民群众力量大。其背后的思想就是即使有个别模型预测错误,那么还有其他模型可以纠正回来,正所谓三个臭皮匠胜过一个诸葛亮。
从集成形式上看,主要可以分成两类,一类模型并行集成的bagging方法,一类模型串行集成的boosting方法。至于为什么能通过这样形式的集成就能提性能,其理论依据是什么?这可由模型总体期望和方差,与个体模型方差和偏差之间关系,得出严格的数学推导和证明,这里就不展开了。

随机森林

  随机森林(Random Forrest),一个基于bagging方法,把多个决策树集成到一起的模型算法。其核心的算法思想就是,通过多个(低偏差高方差)个体模型的均值,来方式降低总体方差的学习方法。随机森林算法框架如下图所示。
图片
随机森林构建流程如下:

1. 把原始集上随机只采样N份样本数据集,且每份样本数据集随机只采样M个特征,得到若干份数据集
2. 在每个数据集上独立构建一颗决策树,得到N颗决策树   

  随机森林使用流程如下:

1. 把待预测的样本数据,输入到N个决策数,得到N个预测结果   
2. 对这些预测结果,以投票(分类)或平均(回归)的计算方式最终结果

  可见,在随机森林里面,每一颗决策树的构建(训练)都独立的,他们之间是并行的没有依赖。只是在最后使用(预测)时,要把森林上所有树的结果都过一遍,通过大家投票或平均的方式给出一个final decision。

梯度提升决策树

  简称GBDT(Gradient Boosting Decision Tree),一个基于boosting把多颗决策树串联集成一起训练学习的算法,其核心的算法思想是基于残差的学习,通过多个(低方差高偏差的)个体模型的叠加求和,来降低总体偏差的学习方法。
假设样本X的真值为30,模型1预测结果与真值的残差为10。为了修补这个残差,需要把样本X再送到模型2,但此时模型2训练的目标,并不是样本本身的真值30,而是当前的残差10。此时模型1和模型2相加后,残差已经从10减小4了。以相同的方式再训练模型3和模型4,总体的残差会越来越小,总体结果就是所有模型输出相加之和,如下为GBDT的训练过程示意图。
图片
可见,这与bagging的随机森林方法完全不一样。前者模型之间相互独立,只要把子模型一一单独训练完就好了。而后者模型前后之间有依赖的关系,必须是练好上一颗树好后,根据残差再练下一颗,one by one的方式来训练。那如何实现这样的学习算法呢?GBDT就是这样的学习算法,其框架图如下: 图片

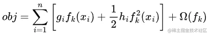
目标函数构建

  我们知道对于逻辑回归模型的学习问题,其优化目标就是最小化交叉熵(CrossEntropy)损失函数: 图片
由于这函数是个凸函数的,所以这个最小值的求解问题比较简单。只要通过梯度下降法,迭代参数W逼近极值,就能使得交叉熵损失函数取到最小值。那么对于boosting这样加法模型的学习问题,其优化目标或者说损失函数,这个函数应该是长什么样子的,又是如何构建的呢?
要确定损失函数,首先第一步得确定模型是怎么输出预测值的。假定有已经训练了K颗树,则对于第i个样本的当前预测值为:
图片
那么目标函数则就可以这样构建:
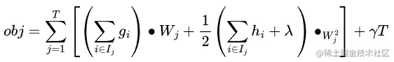
图片
表达式右边的为正则项,用来控制模型结构的复杂程度,在决策树模型中,常用树的叶节点数量、叶子节点的值、以及树的深度来定义之。重点来关注左边的损失函数,应该怎么求解其最小值呢。进一步拆解损失函数,实现损失函数参数化:假定现有K颗树,前面的K-1颗树已经训练好,当前需要训练第K颗树。对于输入样本图片,如下图所示:
图片
图片
则目标函数可简化为
图片
当训练第K颗树时,前K-1颗树已经确定下来,所以图片可作常数看待,图片与第K颗树无关,故此时目标函数为:
图片
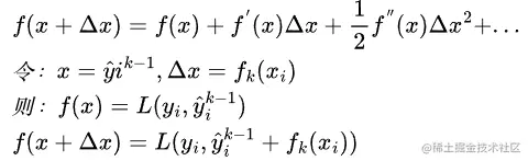
目标函数仍难以优化,利用泰勒级数来近似
图片
泰勒展开只保留前二阶,此时目标函数可写成:
图片
现在最优化的目标参数是图片,所以与图片无关的项都可以去掉。令图片图片图片关于图片的一二阶导数,因为前K-1颗树已训练,所以这两个值可算出,可认为是已知的。
图片
故目标函数再简化为:
图片

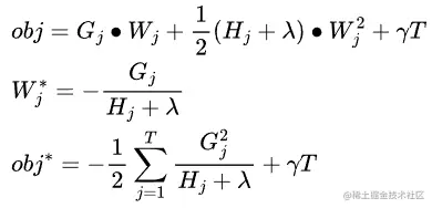
最优化树参数的求解

  决策树的输出函数f的,可以这样定义:图片,其中q(x)是位置函数,表示样本x会落到树的那个位置(第几个叶子节点),图片表示第j个叶子的值。而树结构约束函数图片,与叶子的值W和叶子的个数T有关,分别由两个超参数来控制:
图片
故此时目标函数再简化为:
图片
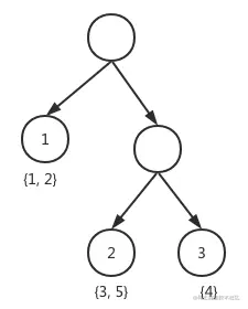
在树形态确定情形下,遍历样本组织形式,可叶子上样本集合划分,逐个集合形式来遍历,比如下图先叶子节点1上的{1,2}样本,再叶子接上2上{3,5},如下图:
图片
表示叶子节点j上的样本集合图片, 则的目标函数写成下形式为:
图片
再令图片,在树形状确定已知时,这两个都是常数。此时就只剩下W一个参数了,而此时的目标函数就成了一个最简单的一元二次函数,这个函数极值点可以直接用通解公式就可以算出来。
图片

最优化树形态的求解

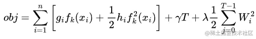
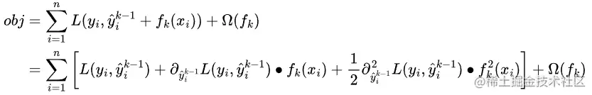
   训练数据有限,而树的形态是无限的。有无限多种形态的树,都能把这些训练放入到其叶子节点上。在这里寻找一个最优的,其实就是个典型NP-hard问题,很难直接优化。而且树的形态,也很难定义成一个连续的函数,没有条件用梯度下降来求解。那么如何求解之?跟决策树的构建算法一样,沿用贪心算法思路,遍历所有特征,找当前最优的特征划分方法F,确定最优树形态。
图片
如上图,假定当前已经决策树已经分成了两个叶子点(框线内),此时应该不应该通过特征F继续分裂,选择那种划分方式最好?
图片
故通过特征划分方法F所形成的树形,使得图片最大化,就是当前最优的树形状。为了算法实现的便利,我们限制了特征划分的形式,对于每一步叶子节点划分操作,都只能分裂左右两个叶子节点,以确保树是二叉的。所以最终有:
图片

引用

XGBoost:A Scalable Tree Boosting System. KDD 2016 ChenTianqi
【机器学习】决策树(中)zhuanlan.zhihu.com/p/86263786