数值模拟流程记录和分享

539 阅读5分钟

简介

最近在做论文模拟实验并将实验结果进行可视化。下面是我这阶段的一些经验总结,在此记录下,也希望能够帮助到你。

方法不一定最优,也欢迎批评指正。由于工作还在继续,完整代码现阶段不会公开,下面给出部分代码和代码编写思路。

整个工作流程:由于参数不同,会得到不同的结果。我的目标是将不同参数模拟的结果最后通过一副图进行可视化。

难点:每个脚本代码量较大,模拟时间较长(10h+),为了方便起见,我将不同参数单独构建成一个脚本,然后开启多个Rstudio,进行“人工”并行运算并保存各个脚本的 Rdata 和数据集。最后新建一个 R 脚本,加载参数模拟结果并绘图。最终可视化结果如下:

图片

这里的每行图形来自一个Rdata(一组参数),整幅图中包含了三组不同参数的结果。

首先看下我每个脚本中的代码缩略图以及部分脚本:

图片代码缩略图

注意: 为了方便查看,我将自己论文所需函数都放到了all_function.r脚本中,然后使用source()将其进行加载。脚本中参数修改主要是numbers,sigma,nums和it。

工作流程

接下来给出操作流程:

1.打开多个 Rstudio并运行

每个 Rstudio 中运行一个脚本代码。

2. 在每个 R 脚本中存储所有 Rdata 和数据集

代码如下:

 write.xlsx(sheets, paste("./data/latex/sigma",sigma,"new2/R",numbers,"_",nums,"_",it,".xlsx",sep=""),
            colNames = T, rowNames = T)
 save.image(paste("./data/latex/sigma",sigma,"new2/R",numbers,"_",nums,"_",it,".Rdata",sep=""))

注意: 这里有个小技巧,使用 paste() 函数,自动根据参数不同(这里是 sigma,numbers,nums,it),改变路径和文件名称(文件夹要提前建立好)。

这是运行完的结果如下。

3. 新建了一个R脚本,绘制图形

文件名叫 plot_all.r。主要功能是将刚才每个不同参数的脚本得到的数据绘制图形,然后使用相应的包将他们合成一个图。代码缩略图可见文末,这里先介绍各个函数的功能。如果对ggplot2绘制还存在一定难度的朋友,可以在公众号输入[可视化文稿]得到教程文稿,再结合我的b站(账号:庄闪闪)“R可视化教程”, 进行快速的入门学习。

  • plot_5_methods功能:使用 ggplot2 包绘制一个数据集中某一列参数(b/c/d/sigma)的图形。
 plot_5_methods = function(dat = b_data){
   plot_5 = ggplot(dat,aes(class,value,fill = class)) + 
     geom_boxplot(na.rm = T) + 
     # scale_fill_viridis(discrete = TRUE, alpha=0.6) +
     stat_summary(fun.y=mean, na.rm=T, geom="point", shape=21, size=2, fill="red",color="red") +
     # geom_jitter(color="black", size=0.4, alpha=0.9) +
     # geom_hline(yintercept = yline) +
     theme_bw() +
     theme(
       legend.position="none",
       panel.grid.major = element_blank(),
       panel.grid.minor = element_blank(),
       plot.title = element_text(size=11)
     ) +
     ylab("") + 
     xlab("") 
   return(plot_5)
 }

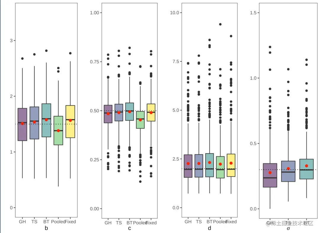
  • all_plot_compare 功能:绘制一个数据集所有列,并将其横向合并,结果如下所示:
 all_plot_compare = function(data1 = all_data_0.3,str1 = c(0, 3.5,0, 1,0, 10,0, 1.5)){
   ## b 
   b_data = data.frame("class" = factor(rep(c("GH","TS","BT","Pooled","Fixed"),each = dim1),
                                        levels = c("GH","TS","BT","Pooled","Fixed")),
                       "value" = c(data1[,1],data1[,5],data1[,9],data1[,13],data1[,17]))
   b_plot = plot_5_methods(dat = b_data) +
     geom_hline(yintercept = b,linetype = 3) +
     scale_y_continuous(limits = str1[1:2]) + 
     xlab(expression(b)) + 
     scale_fill_manual(values = col1) 
   ## c 
   c_data = data.frame("class" = factor(rep(c("GH","TS","BT","Pooled","Fixed"),each = dim1),
                                        levels = c("GH","TS","BT","Pooled","Fixed")),
                       "value" = c(data1[,2],data1[,6],data1[,10],data1[,14],data1[,18]))
   c_plot = plot_5_methods(dat = c_data) + 
     geom_hline(yintercept = c,linetype = 3) +
     scale_y_continuous(limits = str1[3:4]) + 
     xlab(expression(c)) + 
     scale_fill_manual(values = col1) 
   ## d
   d_data = data.frame("class" = factor(rep(c("GH","TS","BT","Pooled","Fixed"),each = dim1),
                                        levels = c("GH","TS","BT","Pooled","Fixed")),
                       "value" = c(data1[,3],data1[,7],data1[,11],data1[,15],data1[,19]))
   d_plot = plot_5_methods(dat = d_data) +
     geom_hline(yintercept = d,linetype = 3) +
     scale_y_continuous(limits = str1[5:6]) + 
     xlab(expression(d)) +  
     scale_fill_manual(values = col1) 
   ## sigma
   sigma_data = data.frame("class" = factor(rep(c("GH","TS","BT"),each = dim1),
                                            levels = c("GH","TS","BT")),
                           "value" = c(data1[,4],data1[,8],data1[,12]))
   sigma_plot = plot_5_methods(dat = sigma_data) +
     geom_hline(yintercept = sigma,linetype = 3) +
     scale_y_continuous(limits = str1[7:8]) + 
     xlab(expression(sigma)) + 
     scale_fill_manual(values = col1[1:3])  
   return(plot_grid(b_plot,c_plot,d_plot,sigma_plot,ncol = 4,nrow = 1))
 }

注意:这里我将每个参数的 ylim 都放到 str1 参数中,方便人工修改。all_data_0.3 表示某个脚本得到的数据集。期间还加了一些 ggplot 参数,修改了颜色和加入 x 轴标题等(看个人喜好添加)。

all_plot_compare函数结果

  • 加载Rdata并绘制图形

前面两函数基本可以绘制一个数据集的所有图形了,之后我要将不同数据集加载进来(例如:load("~/Desktop/2021.06.06/data/latex/plot_data/R11_500_200_0.3.Rdata")),然后内部关键数据集(point_final)进行重新定义,并通过前面写的函数进行绘制,并保存到变量中(p_0.3)。

 # sigma0.3
 load("~/Desktop/2021.06.06/data/latex/plot_data/R11_500_200_0.3.Rdata")
 all_data_0.3 = point_final
 dim1 = nrow(all_data_0.3) 
 p_0.3 = all_plot_compare(data1 = all_data_0.3)

最后使用ggpubr包中的annotate_figure()加入图片的标签,再使用cowplot包中的plot_grid()将图片进行合并。具体教程参考:R语言统计与绘图:给组合图形添加ABCD小标签R可视乎|合并多幅图形R语言ggplot2作图一些好看的颜色搭配paletteer包:拥有2100多个调色板!

代码如下:

 fig11 = annotate_figure(p_0.3,
                         top = text_grob(bquote("("*sigma==0.3*")"),
                                         color = "black", size = 12))
 fig21 = annotate_figure(p_0.5,
                         top = text_grob(bquote("("*sigma==0.5*")"),
                                         color = "black", size = 12))
 fig31 = annotate_figure(p_0.8,
                         top = text_grob(bquote("("*sigma==0.8*")"),
                                         color = "black", size = 12))
 plot_grid(fig11,fig21,fig31,ncol = 1,nrow = 3)

注意: 这里又有一个技巧:在标签中加入特殊符号,可以使用 expression() 函数,也可以使用我这里写的 bquote() 函数。

绘图代码缩略图

小编有话说

这里在做一些说明:

  • 可以直接 viridis 包进行颜色填充,例如:scale_fill_viridis(discrete = TRUE, alpha=0.6)。我这里使用手动加载颜色:scale_fill_manual(values = col1)
  • 如果图形中包含中文,可以使用 showtext 包解决该问题,代码如下:
 library(showtext)
 showtext.auto()
  • 整个流程还有一个思路:将所有函数构建成一个大的函数,只需要改变相应参数即可,这时代码量就会减少很多。
  • 希望半年后后头看这篇推文会有不一样的想法。希望到时候觉得现在的思路很幼稚!🤠

推荐: 可以保存以下照片,在b站扫该二维码,或者b站搜索【庄闪闪】观看Rmarkdown系列的视频教程。Rmarkdown视频新增两节视频(写轮眼幻灯片制作)需要视频内的文档,可在公众号回复【rmarkdown

R沟通|Rmarkdown教程(4)

R沟通|Rmarkdown教程(3)

R沟通|Rmarkdown教程(2)

R沟通|Rmarkdown教程(1)