leetcode每日一题系列-二叉树寻路

297 阅读1分钟

leetcode-1104-二叉树寻路

[博客链接]

菜🐔的学习之路

掘金首页

[题目描述]

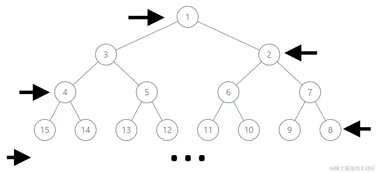
在一棵无限的二叉树上,每个节点都有两个子节点,树中的节点 逐行 依次按 “之” 字形进行标记。

如下图所示,在奇数行(即,第一行、第三行、第五行……)中,按从左到右的顺序进行标记;

而偶数行(即,第二行、第四行、第六行……)中,按从右到左的顺序进行标记。

给你树上某一个节点的标号 label,请你返回从根节点到该标号为 label 节点的路径,该路径是由途经的节点标号所组成的。

示例 1:

输入: label = 14
输出: [1,3,4,14]

示例 2:

输入: label = 26
输出: [1,2,6,10,26]

提示:

  • 1 <= label <= 10^6

Related Topics

  • 数学

  • 二叉树

  • 👍 94 👎 0

[题目链接]

leetcode题目链接

[github地址]

代码链接

[思路介绍]

思路一:满二叉树性质

  • 正常子节点是当前节点值2n,2n+1
  • 然后根据奇数行和偶数行做替换即可
public List<Integer> pathInZigZagTree(int label) {
            List<Integer> res = new ArrayList<>();
            Stack<Integer> stack = new Stack<>();
            while (label != 0) {
                stack.add(label);
                if (label % 2 == 0) {
                    label /= 2;
                } else {
                    label = (label - 1) / 2;
                }
            }
            boolean isOdd = stack.size() % 2 != 0;
            int max = 1;
            while (!stack.isEmpty()) {
​
                int temp = stack.pop();
                if (!isOdd) {
                    temp = max + max * 2 - 1 - temp;
                }
                res.add(temp);
                max = 2 * max;
                isOdd = !isOdd;
            }
            return res;
        }

时间复杂度lgnlgn