Generalized Focal Loss:Focal loss魔改以及预测框概率分布,保涨点 | NeurIPS 2020

1,189 阅读7分钟

为了高效地学习准确的预测框及其分布,论文对Focal loss进行拓展,提出了能够优化连续值目标的Generalized Focal loss,包含Quality Focal loss和Distribution Focal loss两种具体形式。QFL用于学习更好的分类分数和定位质量的联合表示,DFL通过对预测框位置进行general分布建模来提供更多的信息以及准确的预测。从实验结果来看,GFL能够所有one-stage检测算法的性能
来源:晓飞的算法工程笔记 公众号

论文: Generalized Focal Loss: Learning Qualified and Distributed Bounding Boxes for Dense Object Detection

Introduction


  目前,dense detector(one-stage)是目标检测中的主流方向,论文主要讨论其中的两个做法:

  • 预测框的表示方法(representation):可认为是网络对预测框位置的输出,常规方法将其建模为简单的Dirac delta分布,即直接输出位置结果。而有的方法将其建模为高斯分布,输出均值和方差,分别表示位置结果和位置结果的不确定性,提供额外的信息。

  • 定位质量估计:最近一些研究增加了额外的定位质量预测,比如IoU-Net加入了IoU分数的预测和FCOS加入了centerness分数的预测,最后将定位质量以及分类分数合并为最终分数。

  经过分析,论文发现上述的两个做法存在以下问题:

  • 定位质量估计和分类分数实际不兼容:首先,定位质量估计和分类分数通常是独立训练的,但在推理时却合并使用。其次,定位质量估计只使用正样本点进行训练,导致负样本点可能估计了高定位质量,这种训练和测试的差异会降低检测的性能。
  • 预测框表示方法不够灵活:大多算法将其建模为Dirac delta分布,这种做法没有考虑数据集中的歧义和不确定部分,只知道结果,不知道这个结果靠不靠谱。虽然有的方法将其建模为高斯分布,但高斯分布太简单粗暴了,不能反映预测框的真实分布。

  为了解决上面的两个问题,论文分别提出了解决的策略:

  • 对于定位质量估计,论文将其直接与分类分数进行合并,保留类别向量,每个类别的分数的含义变为与GT的IoU。另外,使用这种方式能够同时对正负样本进行训练,不会再有训练和测试的差异。

  • 对于预测框的表示方法,使用general的分布进行建模,不再强加任何的约束,不仅能够获得可靠和准确的预测结果,还能感知其潜在的真实分布情况。如上图所示,对于存在歧义或不确定的边界,其分布会表现为较平滑的曲线,否则,其分布会表示为尖锐的曲线。

  实际上,使用上述提到的两种策略会面临优化的问题。在常规的one-stage检测算法中,分类分支都使用Focal loss进行优化,而Focal loss主要针对离散的分类标签。在论文将定位质量与分类分数结合后,其输出变为类别相关的连续的IoU分数,不能直接使用Focal loss。所以论文对Focal loss进行拓展,提出了GFL(Generalized Focal Los),能够处理连续值目标的全局优化问题。GFL包含QFL(Quality Focal Los)和DFL( Distribution Focal Los)两种具体形式,QFL用于优化难样本同时预测对应类别的连续值分数,而DFL则通过对预测框位置进行general分布的建模来提供更多的信息以及准确的位置预测。
总体而言,GFL有以下优点:

  • 消除额外的质量估计分支在训练和测试时的差异,提出简单且高效的联合预测策略。
  • 很好地对预测框的真实分布进行灵活建模,提供更多的信息以及准确的位置预测。
  • 在引入额外开销的情况下,能够提升所有one-stage检测算法的性能。

Method


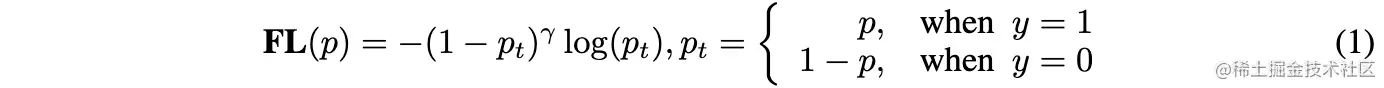
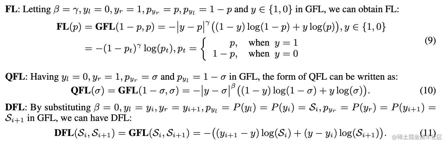
Focal Loss (FL)

  FL主要用于解决one-stage目标检测算法中的正负样本不平衡问题:

  包含标准的交叉熵部分log(pt)-log(p_t)以及缩放因子部分(1pt)γ(1-p_t)^{\gamma},缩放因子会自动将容易样本降权,让训练集中于难样本。

Quality Focal Loss (QFL)

  由于FL仅支持离散标签,为了将其思想应用到分类与定位质量结合的连续标签,对其进行了扩展。首先将交叉熵部分log(pt)-log(p_t)扩展为完整形式((1y)log(1σ)+y log(σ))-((1-y)log(1-\sigma) + y\ log(\sigma)),其次将缩放因子(1pt)γ(1-p_t)^{\gamma}泛化为预测值σ\sigma与连续标签yy的绝对差值yσβ|y-\sigma|^{\beta},将其组合得到QFL:

σ=y\sigma=y为QFL的全局最小解。

  缩放因子的超参数β\beta用于控制降权的速率,表现如上图所示,假定目标连续标签y=0.5y=0.5,距离标签越远产生的权重越大,反之则趋向于0,跟FL类似。

Distribution Focal Loss (DFL)

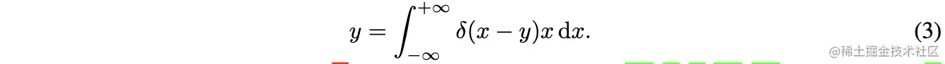
  论文跟其它one-stage检测算法一样,将当前位置到目标边界的距离作为回归目标。常规的方法将回归目标yy建模为Dirac delta分布,Dirac delta分布满足+δ(xy)dx=1\int^{+\infty}_{-\infty}\delta(x-y)dx=1,可通过积分的形式求得标签yy

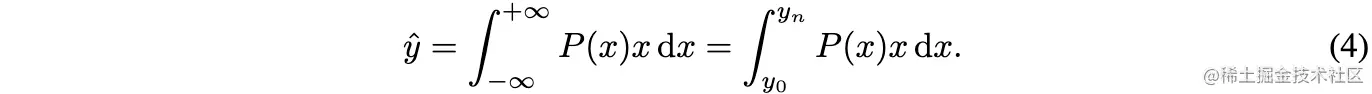
  如前面说到的,这种方法没有体现预测框的真实分布,不能提供更多的信息,所以论文打算将其表示为general的分布P(x)P(x)。给定标签yy的取值范围[y0,yn][y_0, y_n],可像Dirac delta分布那样从建模的genreal分布得到预测值y^\hat{y}

  为了与神经网络兼容,将连续区域[y0,yn][y_0, y_n]的积分变为离散区域{y0,y1,,yi,yi+1,,yn1,yn}\{y_0, y_1, \cdots, y_i, y_{i+1}, \cdots, y_{n-1}, y_n \}的积分,离散区域的间隔Δ=1\Delta=1,预测值y^\hat{y}可表示为:

P(x)P(x)可通过softmax操作S()\mathcal{S}(\cdot)获得,标记为Si\mathcal{S}_i,预测值y^\hat{y}可使用常规的方法进行后续的end-to-end学习,比如Smooth L1、IoU loss和GIoU Loss。

  但实际上,同一个积分结果yy可由多种不同分布所得,会降低网络学习的效率。考虑到更多的分布应该集中于回归目标yy的附近,论文提出DFL来强制网络提高最接近yyyiy_iyi+1y_{i+1}的概率,由于回归预测不涉及正负样本不平衡的问题,所以DFL仅需要交叉熵部分:

  DFL的全局最优解为Si=yi+1yyi+1yi\mathcal{S}_i=\frac{y_{i+1}-y}{y_{i+1}-y_i}Si+1=yyiyi+1yi\mathcal{S}_{i+1}=\frac{y - y_i}{y_{i+1}-y_i},使得y^\hat{y}无限接近于标签yy

Generalized Focal Loss (GFL)

  QFL和DFL可统一地表示为GFL,假定值yly_lyry_r的预测概率分别为pylp_{y_l}pyrp_{y_r},最终的预测结果为y^=ylpyl+yrpyr\hat{y}=y_l p_{y_l}+y_r p_{y_r},GT标签为yy,满足ylyyry_l \le y \le y_r,将yy^β|y-\hat{y}|^{\beta}作为缩放因子,GFL的公式为:

  GFL的全局最优在pyl=yryyrylp^{*}_{y_l}=\frac{y_r-y}{y_r-y_l}pyr=yylyrylp^{*}_{y_r}=\frac{y-y_l}{y_r-y_l}

  FL、QFL和DFL均可认为是GFL的特殊情况。使用GFL后,与原来的方法相比有以下不同:

  • 分类分支的输出直接用于NMS,不用再进行两分支输出合并的操作
  • 回归分支对预测框的每个位置的预测,从原来的输出单个值变为输出n+1n+1个值

  在使用GFL后,网络损失L\mathcal{L}变为:

LB\mathcal{L}_{\mathcal{B}}为GIoU损失

Experiment


  性能对比。

  对比实验。

  基于ATSS与SOTA算法进行对比。

Conclusion


  为了高效地学习准确的预测框及其分布,论文对Focal loss进行拓展,提出了能够优化连续值目标的Generalized Focal loss,包含Quality Focal loss和Distribution Focal loss两种具体形式。QFL用于学习更好的分类分数和定位质量的联合表示,DFL通过对预测框位置进行general分布建模来提供更多的信息以及准确的预测。从实验结果来看,GFL能够所有one-stage检测算法的性能。



如果本文对你有帮助,麻烦点个赞或在看呗~
更多内容请关注 微信公众号【晓飞的算法工程笔记】

work-life balance.