LeetCode:反转链表

542 阅读1分钟

一、反转链表

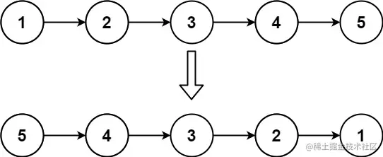
给你单链表的头节点 head ,请你反转链表,并返回反转后的链表。

image.png

二、遍历与递归解法

package cn.edu.neu.leetcode;

import java.util.ArrayList;
import java.util.List;

/**
 * Definition for singly-linked list.
 */
class ListNode {
    int val;
    ListNode next;
    ListNode() {}
    ListNode(int val) { this.val = val; }
    ListNode(int val, ListNode next) { this.val = val; this.next = next; }
}

/**
 * @author 32098
 *
 * 反转链表
 *
 * 给你单链表的头节点 head ,请你反转链表,并返回反转后的链表。
 */
public class ReverseLinkedList {
    public static ListNode reverseList(ListNode head) {
        ListNode prevNode = null;
        ListNode curNode = head;
        // 反转列表反转指针即可
        while (curNode!=null){
            // 获取curNode的next节点
            ListNode next = curNode.next;

            // 修改curNode的next节点为prevNode
            curNode.next = prevNode;
            // prevNode设置为curNode
            prevNode = curNode;

            // 新的curNode
            curNode = next;
        }
        return prevNode;
//        ListNode ans = null;
//        for (ListNode x = head; x != null; x = x.next) {
//            ans = new ListNode(x.val, ans);
//        }
//        return ans;
    }

    public static ListNode reverseListRecursive(ListNode head) {
        // 1. 递归终止条件
        if (head == null || head.next == null) {
            return head;
        }
        ListNode p = reverseList(head.next);
        head.next.next = head;
        head.next = null;
        return p;
    }

    public static void printLinkedList(ListNode head){
        List<Integer> vals = new ArrayList<>();
        ListNode curNode = head;
        while (curNode!=null){
            vals.add(curNode.val);
            curNode = curNode.next;
        }
        System.out.println(vals);
    }

    public static void main(String[] args) {
        ListNode curNode = new ListNode(0);
        ListNode finalNode = curNode;
        for(int i=1; i<6; i++){
            curNode.next = new ListNode(i);
            curNode = curNode.next;
        }
        printLinkedList(finalNode);
        // printLinkedList(reverseList(finalNode));
        printLinkedList(reverseListRecursive(finalNode));
    }
}