链表

207 阅读8分钟

链表 指的是一种数据结构—链表,跟数组相似,链表是一种线性数据结构

image.png

简介 - 单链表

单链表中的每个结点不仅包含值,还包含链接到下一个结点的引用字段。通过这种方式,单链表将所有结点按顺序组织起来。

下面是一个单链表的例子:

image.png

蓝色箭头显示单个链接列表中的结点是如何组合在一起的。

在大多数情况下,我们将使用头结点(第一个结点)来表示整个列表。

操作

与数组不同,我们无法在常量时间内访问单链表中的随机元素。 如果我们想要获得第 i 个元素,我们必须从头结点逐个遍历。 我们按索引来访问元素平均要花费 O(N) 时间,其中 N 是链表的长度。

例如,在上面的示例中,头结点是 23。访问第 3 个结点的唯一方法是使用头结点中的“next”字段到达第 2 个结点(结点 6); 然后使用结点 6 的“next”字段,我们能够访问第 3 个结点。

添加操作 - 单链表

如果我们想在给定的结点 prev 之后添加新值,我们应该:

1 .给定值初始化新结点 cur

2 . 将 cur 的 next 字段链接到 prev 的下一个结点 next ;

3 . 将 prev 中的 next 字段链接到 cur 。

与数组不同,我们不需要将所有元素移动到插入元素之后。因此,您可以在 O(1) 时间复杂度中将新结点插入到链表中,这非常高效。

删除操作 - 单链表

如果我们想从单链表中删除现有结点 cur,可以分两步完成:

1.找到 cur 的上一个结点 prev 及其下一个结点 next ;

2. 接下来链接 prev 到 cur 的下一个节点 next 。

在我们的第一步中,我们需要找出 prev 和 next。使用 cur 的参考字段很容易找出 next,但是,我们必须从头结点遍历链表,以找出 prev,它的平均时间是 O(N),其中 N 是链表的长度。因此,删除结点的时间复杂度将是 O(N)。

空间复杂度为 O(1),因为我们只需要常量空间来存储指针。

设计链表

设计链表的实现。您可以选择使用单链表或双链表。单链表中的节点应该具有两个属性:val 和 next。val 是当前节点的值,next 是指向下一个节点的指针/引用。如果要使用双向链表,则还需要一个属性 prev 以指示链表中的上一个节点。假设链表中的所有节点都是 0-index 的。

在链表类中实现这些功能:

  • get(index):获取链表中第 index 个节点的值。如果索引无效,则返回-1。

  • addAtHead(val):在链表的第一个元素之前添加一个值为 val 的节点。插入后,新节点将成为链表的第一个节点。

  • addAtTail(val):将值为 val 的节点追加到链表的最后一个元素。

  • addAtIndex(index,val):在链表中的第 index 个节点之前添加值为 val  的节点。如果 index 等于链表的长度,则该节点将附加到链表的末尾。如果 index 大于链表长度,则不会插入节点。如果index小于0,则在头部插入节点。

  • deleteAtIndex(index):如果索引 index 有效,则删除链表中的第 index 个节点。

示例:

MyLinkedList linkedList = new MyLinkedList();

linkedList.addAtHead(1);

linkedList.addAtTail(3);

linkedList.addAtIndex(1,2); //链表变为1-> 2-> 3

linkedList.get(1); //返回2

linkedList.deleteAtIndex(1); //现在链表是1-> 3

linkedList.get(1); //返回3

提示:

  • 所有val值都在 [1, 1000] 之内。
  • 操作次数将在  [1, 1000] 之内。
  • 请不要使用内置的 LinkedList 库。

双指针技巧

让我们简要回顾一下这种技巧。 我们提到了两种使用双指针技巧的情景:

  • 两个指针从不同位置出发:一个从始端开始,另一个从末端开始;
  • 两个指针以不同速度移动:一个指针快一些,另一个指针慢一些。

对于单链表,因为我们只能在一个方向上遍历链表,所以第一种情景可能无法工作。然而,第二种情景,也被称为慢指针和快指针技巧,是非常有用的。

本章节中,我们将重点讨论链表中的慢指针和快指针问题

链表中的双指针

让我们从一个经典问题开始:

给定一个链表,判断链表中是否有环。

想象一下,有两个速度不同的跑步者。如果他们在直路上行驶,快跑者将首先到达目的地。但是,如果它们在圆形跑道上跑步,那么快跑者如果继续跑步就会追上慢跑者。

这正是我们在链表中使用两个速度不同的指针时会遇到的情况:

  1. 如果没有环,快指针将停在链表的末尾。
  2. 如果有环,快指针最终将与慢指针相遇。

所以剩下的问题是:

这两个指针的适当速度应该是多少? 一个安全的选择是每次移动慢指针一步,而移动快指针两步。每一次迭代,快速指针将额外移动一步。如果环的长度为 M,经过 M 次迭代后,快指针肯定会多绕环一周,并赶上慢指针。

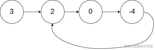
环形链表

给定一个链表,判断链表中是否有环。

如果链表中有某个节点,可以通过连续跟踪 next 指针再次到达,则链表中存在环。 为了表示给定链表中的环,我们使用整数 pos 来表示链表尾连接到链表中的位置(索引从 0 开始)。 如果 pos 是 -1,则在该链表中没有环。注意:pos 不作为参数进行传递,仅仅是为了标识链表的实际情况。

如果链表中存在环,则返回 true 。 否则,返回 false 。

进阶:

你能用 O(1) (即,常量)内存解决此问题吗?

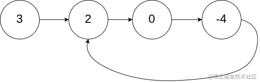
示例 1:

输入: head = [3,2,0,-4], pos = 1
输出: true
解释: 链表中有一个环,其尾部连接到第二个节点。

示例 2:

输入: head = [1,2], pos = 0
输出: true
解释: 链表中有一个环,其尾部连接到第一个节点。

示例 3:

输入: head = [1], pos = -1
输出: false
解释: 链表中没有环。

提示:

  • 链表中节点的数目范围是 [0, 104]
  • -105 <= Node.val <= 105
  • pos 为 -1 或者链表中的一个 有效索引 。

环形链表 II

给定一个链表,返回链表开始入环的第一个节点。 如果链表无环,则返回 null

为了表示给定链表中的环,我们使用整数 pos 来表示链表尾连接到链表中的位置(索引从 0 开始)。 如果 pos 是 -1,则在该链表中没有环。注意,pos 仅仅是用于标识环的情况,并不会作为参数传递到函数中。

说明:不允许修改给定的链表。

进阶:

  • 你是否可以使用 O(1) 空间解决此题?

示例 1:

输入: head = [3,2,0,-4], pos = 1
输出: 返回索引为 1 的链表节点
解释: 链表中有一个环,其尾部连接到第二个节点。

示例 2:

输入: head = [1,2], pos = 0
输出: 返回索引为 0 的链表节点
解释: 链表中有一个环,其尾部连接到第一个节点。

示例 3:

输入: head = [1], pos = -1
输出: 返回 null
解释: 链表中没有环。

提示:

  • 链表中节点的数目范围在范围 [0, 104] 内
  • -105 <= Node.val <= 105
  • pos 的值为 -1 或者链表中的一个有效索引

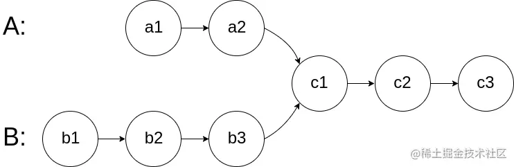
相交链表

给你两个单链表的头节点 headA 和 headB ,请你找出并返回两个单链表相交的起始节点。如果两个链表没有交点,返回 null 。

图示两个链表在节点 c1 开始相交:

题目数据 保证 整个链式结构中不存在环。

注意,函数返回结果后,链表必须 保持其原始结构 。

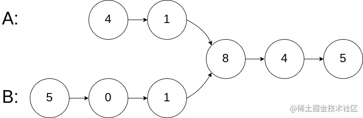
示例 1:

输入:intersectVal = 8, listA = [4,1,8,4,5], listB = [5,0,1,8,4,5], skipA = 2, skipB = 3
输出:Intersected at '8'
解释:相交节点的值为 8 (注意,如果两个链表相交则不能为 0)。
从各自的表头开始算起,链表 A[4,1,8,4,5],链表 B[5,0,1,8,4,5]。
在 A 中,相交节点前有 2 个节点;在 B 中,相交节点前有 3 个节点。

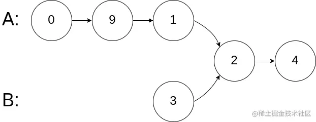
示例 2:

输入:intersectVal = 2, listA = [0,9,1,2,4], listB = [3,2,4], skipA = 3, skipB = 1
输出:Intersected at '2'
解释:相交节点的值为 2 (注意,如果两个链表相交则不能为 0)。
从各自的表头开始算起,链表 A[0,9,1,2,4],链表 B[3,2,4]。
在 A 中,相交节点前有 3 个节点;在 B 中,相交节点前有 1 个节点。

示例 3:

输入:intersectVal = 0, listA = [2,6,4], listB = [1,5], skipA = 3, skipB = 2
输出:null
解释:从各自的表头开始算起,链表 A[2,6,4],链表 B[1,5]。
由于这两个链表不相交,所以 intersectVal 必须为 0,而 skipA 和 skipB 可以是任意值。
这两个链表不相交,因此返回 null 。

提示:

listA 中节点数目为 m listB 中节点数目为 n 0 <= m, n <= 3 * 104 1 <= Node.val <= 105 0 <= skipA <= m 0 <= skipB <= n 如果 listA 和 listB 没有交点,intersectVal 为 0 如果 listA 和 listB 有交点,intersectVal == listA[skipA + 1] == listB[skipB + 1]

删除链表的倒数第N个节点

给你一个链表,删除链表的倒数第 n **个结点,并且返回链表的头结点。

进阶: 你能尝试使用一趟扫描实现吗?

示例 1:

输入: head = [1,2,3,4,5], n = 2
输出: [1,2,3,5]

示例 2:

输入: head = [1], n = 1
输出: []

示例 3:

输入: head = [1,2], n = 1
输出: [1]