leetcode_0086 分隔链表

163 阅读1分钟

要求:

给你一个链表的头节点 head 和一个特定值 x ,请你对链表进行分隔,使得所有 小于 x 的节点都出现在 大于或等于 x 的节点之前。

你应当 保留 两个分区中每个节点的初始相对位置。

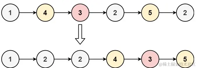
  • 示例 1

image.png

输入:head = [1,4,3,2,5,2], x = 3
输出:[1,2,2,4,3,5]
  • 示例 2
输入:head = [2,1], x = 2
输出:[1,2]

详解代码

# class ListNode:
#     def __init__(self, val=0, next=None):
#         self.val = val
#         self.next = next
class Solution:
    def partition(self, head: ListNode, x: int) -> ListNode:
        if not head or not head.next:
            return head

        left,right = ListNode(0),ListNode(0)
        leftPtr,rightPtr = left,right

        while head:
            if head.val < x:
                leftPtr.next = ListNode(head.val)
                leftPtr = leftPtr.next
            else:
                rightPtr.next = ListNode(head.val)
                rightPtr = rightPtr.next
            head = head.next

        if not left.next:
            return right.next
        elif not right.next:
            return left.next
        else:
            leftPtr.next = right.next
            return left.next

image.png 解题思路:我们对head进行循环遍历,同样的方式我们使用ListNode(0)构造一个新的链表,大于指定数字放在右侧,小于指定数字放在右侧,最后将两个链表进行拼接