腾讯赢了自动抢红包的开发者!说说抢红包怎么弄?

302 阅读6分钟

近日,北京知识产权法院在官方微信发文称,掌上远景公司开发并运营了一款名为“微信自动抢红包”软件,卓易讯畅公司运营的豌豆荚应用开发平台提供下载该软件。腾讯科技公司、腾讯计算机公司以不正当竞争为由,将掌上远景公司和卓易讯畅公司诉至北京知识产权法院。

最终,法院认定掌上远景公司构成不正当竞争,判决掌上远景公司赔偿二原告经济损失450万元及合理支出约25.4万元。双方当事人均未提出上诉,目前该案已生效。

那我们的抢红包是怎么实现的呢?我来一步一步的教你,用个实例

需求:用户分享红包到微信群中。

每一个用户只能领取一个红包。

比如饿了么的红包分享:

在设计之前,先了解一下redis的list的数据结构:

1、lpush+lpop=Stack(栈)

2、lpush+rpop=Queue(队列)

3、lpsh+ltrim=Capped Collection(有限集合)

4、lpush+brpop=Message Queue(消息队列)

我们基于lpush+rpop进行红包的设计。如何设计?

1、当用户点击分享按钮,首先会给该订单生成若干个红包,将该红包push到redis中。

key的设计: hb:pool:{orderId}

value : n个红包的List队列,用来表示n个红包的池子

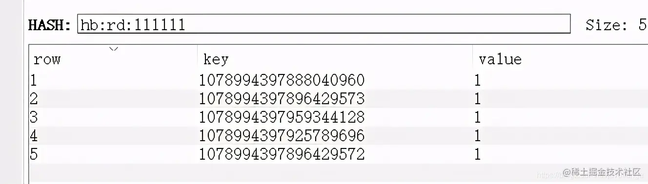
2、记录哪些用户已抢过红包,防止重复抢:从红包池中rpop(弹出)一个红包,就需要记录下来该用户领取了红包,这里用了hash结构。

key:hb:rd:{orderId} 例如订单号为12345,key为hb:rd:12345, 有4个用户id分别为 11111,11112,11113,11114

hset hb:rd:12345 11111 1

hset hb:rd:12345 11112 1

hset hb:rd:12345 11113 1

hset hb:rd:12345 11114 1

如下图:

判断用户11111是否领过红包,可以根据 hexists hb:rd:12345 11111 进行判断,如果领过返回1,否则返回0;

3、记录用户抢了多少钱:这里采用list结构进行存储。

key:hb:detailList:{orderId}

value : 用户抢到的红包列表。

抢红包流程:

保证用户抢红包整个流程的原子操作就必然要引入lua脚本,redis+Lua可以保证多条命令组合的原子性。 lua脚本:

/** 
 * 脚本调用方式
 * Object object = jedisUtils.eval(LuaScript.getHbLua,//lua脚本 
4,//参数个数 RedisKeys.getHbPoolKey(orderId),//对应脚本里的KEYS[1] 
RedisKeys.getDetailListKey(orderId),//对应脚本里的KEYS[2] 
RedisKeys.getHbRdKey(orderId),//对应脚本里的KEYS[3] 
String.valueOf(userId));//对应脚本里的KEYS[4] 
* 
* 
*/
public static String getHbLua = 
//查询用户是否已抢过红包,如果用户已抢过红包,则直接返回
 "if redis.call('hexists', KEYS[3], KEYS[4]) ~= 0 then\n" + 
//如果抢过红包 返回“1” 
"return '1';\n" + "else\n" + 
//从红包池取出一个小红包
 "local hb = redis.call('rpop', KEYS[1]);\n" + 
//判断红包池的红包不为空
 "if hb then\n" + 
"local x = cjson.decode(hb);\n" + 
//将红包信息与用户ID信息绑定,表示该用户已抢到红包  
"x['userId'] = KEYS[4];\n" +
 "local re = cjson.encode(x);\n" +
 //记录用户已抢过 比如 hset hb:rd:{orderId}  {userId}  1 
"redis.call('hset', KEYS[3], KEYS[4], '1');\n" +
//将抢红包的结果详情存入hb:detailList:{orderId}
 "redis.call('lpush', KEYS[2], re);\n" + 
"return re;\n" + "else\n" +
 //如果红包已被抢完 返回“0” 
"return '0';" + 
"end\n" + 
"end\n" +
 "return nil";
​

生成红包:

/**
 * 生成红包 
* @param orderId 
*/ public void genRedpack(long orderId,int redPackCount){ 
Boolean exists = jedisUtils.exists(RedisKeys.getHbPoolKey(orderId));
 if (!exists){ 
//根据业务规则生成红包 
int totalAmount = 2000;//总的红包金额20元 也就是2000分 
int[] redpacks = doPartitionRedpack(totalAmount,redPackCount); 
String[] list = new String[redpacks.length]; 
//将生成的红包push到redis中 
for (int i = 0;i < redpacks.length; i++){ 
JSONObject object = new JSONObject();
 object.put("hbId", i); //红包ID
 object.put("amount", redpacks[i]); //红包金额,存的是分
 list[i] = object.toJSONString(); 
} 
jedisUtils.lpush(RedisKeys.getHbPoolKey(orderId),list); 
} 
} 
​
/** 
* 划分红包 * @param totalAmount 红包总额 单位:分
 * @param redPackCount 红包数量
 * @return
 */ 
private int[] doPartitionRedpack(int totalAmount,int redPackCount) { 
Random random = new Random(); 
int randomMax= totalAmount - redPackCount;//每个人至少分1分钱,2000 - 6 = 1994元 也就是要随机分的钱。
 //要把1994 随机分成6份,我们需要向1994 这个数字中插入5个点
 // 比如 6 100 500 500 1600 这5个数字把1994分成了6份:6分 94分 400分 0分 1000分 394分
 int[] posArray = new int[redPackCount-1]; 
for (int i = 0;i < posArray.length; i++){
 int pos = random.nextInt(randomMax);
 posArray[i] = pos; 
} 
Arrays.sort(posArray);//对数组进行排序 
//生成红包 
int[] redpacks = new int[redPackCount]; 
for (int i = 0;i <= posArray.length; i++){ 
if (i == 0){
 redpacks[i] = posArray[i] + 1;//第一份 
}else if(i == posArray.length){//如果循环到posArray.length,此时数组已越界1位,randomMax - 该值 + 1分钱=最后一份 
redpacks[i] = randomMax - posArray[i-1] + 1;
 }else {
 redpacks[i] = posArray[i] - posArray[i-1] + 1; 
} 
} 
return redpacks; 
}

上面首先给每个红包分1分钱,然后把剩下的钱通过插入(redPackCount-1)个板子,就将剩余的钱分为redPackCount份。每份钱加上1分钱,就是每个红包的大小。分完红包后,将红包push到redis中。

抢红包:

/** 
* 抢红包 
* @param userId 
* @param orderId 
*/ 
public String snatchRedpack(long userId,long orderId){ 
Object object = jedisUtils.eval(LuaScript.getHbLua,4, 
RedisKeys.getHbPoolKey(orderId),// 
RedisKeys.getDetailListKey(orderId),// 
RedisKeys.getHbRdKey(orderId),String.valueOf(userId)); 
​
return (String) object;
 }

抢红包只需要执行一下上面的lua脚本。

测试:

运行生成红包:这里生成5个红包,orderId为111111.

@Test 
public void genRedpack(){ 
JedisUtils jedisUtils = new JedisUtils("127.0.0.1", 6379, "123456"); 
RedpackService redpackService = new RedpackService(jedisUtils);
 redpackService.genRedpack(111111,5); 
}

运行后,redis中红包池就生成好了

运行抢红包:这里模拟了100个人,也就是100个线程。这里用了CyclicBarrier,等到所有的线程都准备好,同时开抢。

@Test
 public void snatchRedpack() throws InterruptedException { 
JedisUtils jedisUtils = new JedisUtils("118.89.196.99", 6379, "123456"); 
RedpackService redpackService = new RedpackService(jedisUtils); 
IdWorker idWorker = new IdWorker(); 
int N = 100; 
CyclicBarrier barrier = new CyclicBarrier(N);
 
for (int i = 0;i<N;i++){ 
new Thread(()->{ 
long userId = idWorker.nextId(); 
try {
 System.out.println("用户"+userId+"准备抢红包"); 
barrier.await(); 
} catch (InterruptedException e) { 
e.printStackTrace(); 
} catch (BrokenBarrierException e) {
 e.printStackTrace();
} 
String result = redpackService.snatchRedpack(userId, 111111);
 if ("0".equals(result)){ 
System.out.println("用户" + userId + "未抢到红包,原因:红包已领完"); 
}else if ("1".equals(result)){ 
System.out.println("用户" + userId + "未抢到红包,原因:红包已领过");
 }else{ 
System.out.println("用户" + userId + "抢到红包:" + result); 
} 
},"thread"+i).start(); 
} 
Thread.sleep(Integer.MAX_VALUE);
 }

运行结果:

...... 
用户1078994397959344128准备抢红包 
用户1078994397959344129准备抢红包 
用户1078994397959344130准备抢红包 
用户1078994397959344131准备抢红包 
用户1078994397896429573抢到红包:{"userId":"1078994397896429573","hbId":2,"amount":126} 
用户1078994397888040960抢到红包:{"userId":"1078994397888040960","hbId":1,"amount":526} 
用户1078994397896429572抢到红包:{"userId":"1078994397896429572","hbId":5,"amount":666} 
用户1078994397950955528未抢到红包,原因:红包已领完 
用户1078994397925789696抢到红包:{"userId":"1078994397925789696","hbId":4,"amount":490} 
用户1078994397929984004未抢到红包,原因:红包已领完 
用户1078994397959344128抢到红包:{"userId":"1078994397959344128","hbId":3,"amount":192} 
用户1078994397955149824未抢到红包,原因:红包已领完 
用户1078994397900623875未抢到红包,原因:红包已领完 
用户1078994397929984006未抢到红包,原因:红包已领完 
用户1078994397892235264未抢到红包,原因:红包已领完 
.......

结果看出100个线程同时抢,只有5个人抢成功了。

查看redis里的数据:红包池子里的红包已被领完,对应红包用户信息也相应的生成。      

这样就好了。