讲透树第3集 | 自顶向下类别题目复盘专题

305 阅读12分钟

image

刷题复盘进度

大家好,我是Johngo!

这篇文章是「讲透树」的第 3 篇文章,也是「树」专题中自顶向下这类题目的一个复盘总结。

一起刷题的小伙伴们,复盘还是要唠叨一句,记录思路,在记录的过程中,又一次深刻体会!

还是直观的先看看本文的所处的一个进度。

基本上,绝大多数关于「树」的题目,会有很大一类属于「自顶向下」类型的。

什么意思?就是计算结果的时候,通常会涉及从树根到叶子节点的计算过程,比如说最大深度、路径总和、从根结点到叶子结点的所有路径等等,都属于「自顶向下」这类题目。

涉及到的题目

104.二叉树的最大深度: leetcode-cn.com/problems/ma…

112.路径总和: leetcode-cn.com/problems/pa…

113.路径总和 II: leetcode-cn.com/problems/pa…

437.路径总和 III: leetcode-cn.com/problems/pa…

257.二叉树的所有路径: leetcode-cn.com/problems/bi…

129.求根节点到叶节点数字之和: leetcode-cn.com/problems/su…

988.从叶结点开始的最小字符串: leetcode-cn.com/problems/sm…

然后这类题目的解决方法基本又会有两类:

第一类:BFS,广度优先搜索,利用层次遍历的方式进行解决

第二类:DFS,深度优先搜索,利用前中后序遍历树的方式进行问题的解决

既然先说的 BFS,咱们就从 BFS 先说起,后面再描述 DFS 的解决方式。

BFS 思路

BFS(Breadth First Search):广度优先搜索

回忆一下经典二叉树的层序遍历问题,把需要的图放出来先看看。

很简单的一个过程。循环判断队列 queue 中是否有元素,如果有,访问该元素并且判断该结点元素是否有孩子结点,如果有,孩子结点依次入队 queue,否则,继续循环执行。

再来看看代码:

res = []
while queue:
    node = queue.pop()
    res.append(node.val)
    if node.left:
        queue.appendleft(node.left)
    if node.right:
        queue.appendleft(node.right)

很顺畅很经典的一个层次遍历的代码。

现在想要抛出 2 个引例,往上述代码中添加点作料,看是否可以很容易就解答。

引例一

遍历过程中能否记录根结点到当前结点的一些信息?

包括:

1、根结点到当前结点的路径信息

2、根结点到当前结点的路径和

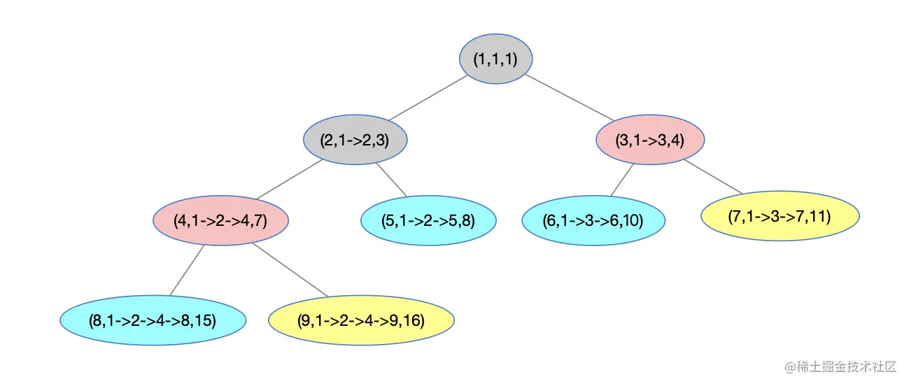
把上述图中结点中的字母对应为数字,达到引例一中的要求情况,看下图:

在遍历过程中,不断的进行结点值【包括结点对象、根结点到当前结点路径、根结点到当前结点路径和】的记录。

node 表示结点对象

node_path 表示根结点到当前结点路径

node_val 表示根结点到当前结点路径和

Python 中使用元祖进行表示结点的三元组信息:(node, node_path, node_val)

代码实现:

res = []

while queue:
    node, node_path, node_val = queue.pop()
    res.append((node, node_path, node_val))
    if node.left:
        queue.appendleft((node.left, node_path+str(node.left), node_val+node.left.val))
    if node.right:
        queue.appendleft((node.right, node_path+str(node.right), node_val+node.right.val))

这样,在遍历过程中,就会将三元组的信息随时携带。完美解决!

引例二

能否在层序遍历过程中,携带一个值进行层序的记录?

对,就是这样,利用一个额外的变量来记录层序。

这个的思路,其实很容易就让我想到之前二叉树按照 LeetCode 形式打印的一个过程(不太记得的小伙伴可以查看 mp.weixin.qq.com/s/MkCF5TaR1… 回忆下关于LeetCode的层序遍历)

下面我又把 LeetCode 中要求层次遍历的图解过程放出来,作为回忆参考!

「点击下图查看高清原图」👇

即,在每一层遍历的时候,进行 node_depth+=1 的操作。先来看最初代码的样子(还。。记得吗~?):

def levelOrder(self, root):
    res = []
    if not root:
        return res
    queue = [root]
    while queue:
        level_queue = []      # 临时记录每一层结点
        level_res = []        # 临时记录每一行的结点值
        for node in queue:
            level_res.append(node.val)
            if node.left:
                level_queue.append(node.left)
            if node.right:
                level_queue.append(node.right)
        queue = level_queue
        res.append(level_res)
    return res

每一层的遍历,都是 queue 被赋予新的一个队列 level_queue,即新的一层的所有结点集。

在此思路的基础上

首先,初始化变量用作记录层序值 node_depth = 0

其次,在每一次while queue: 之后进行 node_depth+=1

最后 node_depth 的值就是你想要的某一层的值

看代码小改动后的实现

def levelOrder(self, root):
    res = []
    # 层序记录
    node_depth = 0
    if not root:
        return res
    queue = [root]
    while queue:
	      node_depth += 1				# 层序值+1
        level_queue = []
        level_res = []
        for node in queue:
            level_res.append(node.val)
            if node.left:
                level_queue.append(node.left)
            if node.right:
                level_queue.append(node.right)
        queue = level_queue
        res.append(level_res)
    return res

哈哈对,不要找了!就是有注释的那两行,只不过要取的 node_depth 的值是你所需要的那个值。

比如说,最大深度的计算,那就是最后 node_depth 的值;如果是根结点到某一结点路径和你给到的 target 值一致的时候的那个深度,那就是被满足结点所在层序的 node_depth

好!

两个重要的问题被引出来,有没有什么感觉,是不是真的是比较简单的一个思路。下面就来看看这些简单思路,能处理哪些问题!

利用上述「引例一」和「引例二」的思路举例看看对 LeetCode 中部分题目有什么帮助?

LeetCode104.二叉树的最大深度

题目链接:leetcode-cn.com/problems/ma…

GitHub解答:github.com/xiaozhutec/…

其实就是「引例二」中携带一个值进行层序的记录,最后返回的 node_depth 就是二叉树的最大深度!

def maxDepth_bfs(self, root):
    if not root:
        return 0
    queue = collections.deque()
    # 初始化深度为 0
    node_depth = 0
    # 初始化队列中的结点元素 root
    queue.appendleft(root)
    while queue:
        # 每一层的遍历,深度 +1
        node_depth += 1
        # 记录每一层的结点集合
        level_queue = []
        for node in queue:
            if node.left:
                level_queue.append(node.left)
            if node.right:
                level_queue.append(node.right)
        queue = level_queue

    return node_depth

是不是很容易就解决了!

再来看一个:

LeetCode112.路径总和:

题目链接:leetcode-cn.com/problems/pa…

GitHub解答:github.com/xiaozhutec/…

LeetCode112题目是从根结点到叶子结点,是否存在路径和为 target 的一个路径。

如下图,如果咱们要找路径和为 target=16 的一个路径,利用「引例一」中的思路,很容易就可以判断,在最后一个结点中的三元组 (9, 1->2->4->9, 16) 中能够得到路径为 1->2->4->9

代码实现起来也很容易

def hasPathSum_bfs(self, root, targetSum):
    if not root:
        return False
    queue = [(root, root.val)]
    while queue:
        node, node_sum = queue.pop(0)
        if not node.left and not node.right and node_sum == targetSum:
            return True
        if node.left:
            queue.append((node.left, node_sum+node.left.val))
        if node.right:
            queue.append((node.right, node_sum+node.right.val))
    return False

这里返回了存在该路径,为 True,如果想要返回路径,那么直接将路径返回就可以了!

再来看一个:

LeetCode257.二叉树的所有路径:

题目链接:leetcode-cn.com/problems/bi…

GitHub解答:github.com/xiaozhutec/…

就是要把所有从根结点开始到叶子结点所有的路径遍历出来。其实还是「引例一」中的思路,当遍历到叶子结点的时候,将所有叶子结点中的三元组中的路径值取出。例如叶子结点 (9, 1->2->4->9, 16) 中的路径为 1->2->4->9取出。

可以得到一个路径集合:

[[1->3->6], [1->3->7], [1->2->4->8], [1->2->4->9]]

代码很类似

def binaryTreePaths_bfs(self, root):
    res = []
    if not root:
        return res
    queue = collections.deque()
    queue.appendleft((root, str(root.val)+"->"))
    while queue:
        node, node_val = queue.pop()
        if not node.left and not node.right:
            res.append(node_val[0:-2])
        if node.left:
            queue.appendleft((node.left, node_val + str(node.left.val) + "->"))
        if node.right:
            queue.appendleft((node.right, node_val + str(node.right.val) + "->"))
    return res

核心还是记录遍历过程中对路径的记录情况,最后得到想要的结果!

再来看最后一个例子:

LeetCode129.求根节点到叶节点数字之和

题目链接:leetcode-cn.com/problems/su…

GitHub解答:github.com/xiaozhutec/…

这个题目依然延续了「引例一」中的思路,就是将路径中的数字一次记录,转为数字,进行相加。

举例说,图中路径分别为[[1->3->6], [1->3->7], [1->2->4->8], [1->2->4->9]],对应的数字为 [10, 11, 15, 16],那么,数字之和为 10+11+15+16=52

上一题目是将路径完整的遍历出来,这个题目就是增加了一个步骤,那就是将每个路径转为数字,并且相加。

def sumNumbers_bfs(self, root):
    res = []
    sum = 0
    if not root:
        return 0
    queue = collections.deque()
    queue.append((root, str(root.val)))
    while queue:
        node, node_val = queue.pop()
        if node and not node.left and not node.right:
            res.append(node_val)
        if node.left:
            queue.appendleft((node.left, node_val+str(node.left.val)))
        if node.right:
            queue.appendleft((node.right, node_val+str(node.right.val)))
    for item in res:
        sum += int(item)
    return sum

就是最后一个步骤,将数组中的数字型字符串转为整数并且相加。得到最终的结果!

还有一些其他类似的题目,这里就先不说了,文章最开头给出的「自顶向下」这类题目都在 github:github.com/xiaozhutec/… 上进行了记录,细节代码可以参考。

关于这部分题目,重点想说的就是「引例一」和「引例二」两方面的思路,这两方面的思路已经可以把这类题目的绝大多数都可以解决了!

下面再总结下利用 DFS 的思路进行问题的解决。

DFS 思路

DFS(Depth First Search):深度优先搜索

回忆下之前的二叉树的递归遍历,也可以说是 DFS 的思路。之前在这篇文章中详细阐述过 mp.weixin.qq.com/s/nTB41DvE7…

利用递归进行二叉树的遍历,很简单但是不太容易理解。在之前也详细说过这方面的理解方式。

很多时候我会利用一个很 easy 的思路是,将二叉树的递归遍历利用在「二叉树」的叶子结点以及再向上一层进行理解和问题的解决。

下面先来看看各个遍历的代码。

二叉树的先序遍历:

def pre_order_traverse(self, head):
    if head is None:
        return
    print(head.value, end=" ")
    self.pre_order_traverse(head.left)
    self.pre_order_traverse(head.right)

二叉树的中序遍历:

def in_order_traverse(self, head):
    if head is None:
        return
    self.in_order_traverse(head.left)
    print(head.value, end=" ")
    self.in_order_traverse(head.right)

二叉树的后续遍历:

def post_order_traverse(self, head):
    if head is None:
        return
    self.post_order_traverse(head.left)
    self.post_order_traverse(head.right)
    print(head.value, end=" ")

看完这几段代码,它的整洁性令人舒服,但是它的可读性确实不太高...

下一期,还会复盘一期《讲透树 | 非自顶向下题目专题》,与这一期「自顶向下」题目不同,思路也会有些差别。

这一期先把「自顶向下」这类题目运用 DFS 的思路说明白了!

利用二叉树的递归思路,其实很容易就可以解决这类问题,把 BFS 说到的题目用 DFS 思路解决一下,代码看起来更加的简洁,美观!

LeetCode104.二叉树的最大深度

题目链接:leetcode-cn.com/problems/ma…

GitHub解答:github.com/xiaozhutec/…

简单到气人,理解到想打人!

def maxDepth_dfs(self, root):
    if not root:
        return 0
    else:
        max_left = self.maxDepth_dfs(root.left)
        max_right = self.maxDepth_dfs(root.right)
        return max(max_left, max_right) + 1

太简单了叭!!~~

一个后续遍历,很快就把问题解决了!

由于使用了递归调用,那么还是从叶子结点开始考虑:

a.当递归到叶子的时候,程序return 0,也就是递归使用 self.maxDepth_dfs(root.left)以及 self.maxDepth_dfs(root.right)的时候,返回值为 0;

b.往上考虑一层,递归使用 self.maxDepth_dfs(root.left)或者 self.maxDepth_dfs(root.right)的时候,返回值是return max(max_left, max_right) + 1, 是 【a.】的返回值 0+1

通过以上【a. b.】两点锁构造的思路进行代码的设计,一定是正确的。

重点重点重点:以上的【b.】,不是太容易理解,用心思考,恍然大悟的时候,真的很巧妙!

下一个题目:

LeetCode112.路径总和:

题目链接:leetcode-cn.com/problems/pa…

GitHub解答:github.com/xiaozhutec/…

LeetCode112题目是从根结点,寻找路径和为 target 的一个路径。

又是一个代码过分简洁的例子:

def hasPathSum(self, root, targetSum):
    if not root:
        return False
    if not root.left and not root.right:
        return root.val == targetSum
    return self.hasPathSum(root.left, targetSum - root.val) or self.hasPathSum(root.right, targetSum - root.val)

思路点:递归将 targetSum-递归到的结点值 ,直到遇到叶子结点的时候,刚好被完全减去,得到0。即存在该路径。

上述是一个很简洁的先序遍历过程。

由于使用了递归调用,那么依然从叶子结点开始考虑:

a.当递归到叶子的时候,程序判断叶子结点的值和tagetSum被减的剩余的值是否相等;

b.往上考虑一层,递归使用 self.hasPathSum(root.left, targetSum - root.val)以及self.hasPathSum(root.right, targetSum - root.val)的时候,返回值是【a.】返回的值。

再来看一个:

LeetCode257.二叉树的所有路径:

题目链接:leetcode-cn.com/problems/bi…

GitHub解答:github.com/xiaozhutec/…

这个题目用 DFS 解决起来,同样是非常简洁的,但是中间多了一个步骤的记录,所以会多几行代码:

    def binaryTreePaths_dfs(self, root):
        res = []
        if not root:
            return res

        def dfs(root, path):
            if not root:
                return
            if root and not root.left and not root.right:
                res.append(path + str(root.val))
            if root.left:
                dfs(root.left, path + str(root.val) + "->")
            if root.right:
                dfs(root.right, path + str(root.val) + "->")
        dfs(root, "")
        return res

核心还是一个递归的先序遍历,依然咱们用递归解决思路步骤来分析一下:

a.当递归到叶子的时候,没有左右孩子,直接将该结点加入到路径中来;

b.往上考虑一层,递归使用 dfs(root.left, path + str(root.val) + "->")以及dfs(root.right, path + str(root.val) + "->")的时候,就是将当前结点值加入到路径中。

还是依照这样的思路,就可以很容易的将题目解决!

再来看最后一个例子:

LeetCode129.求根节点到叶节点数字之和

题目链接:leetcode-cn.com/problems/su…

GitHub解答:github.com/xiaozhutec/…

这个题目与上一个题目,很类似,就是将计算好的路径值转为整型进行相加,看看代码:

def sumNumbers_dfs(self, root):
    res = []    # 所有路径集合
    sum = 0     # 所有路径求和

    def dfs(root, path):
        if not root:
            return
        if root and not root.left and not root.right:
            res.append(path + str(root.val))
        if root.left:
            dfs(root.left, path + str(root.val))
        if root.right:
            dfs(root.right, path + str(root.val))

    dfs(root, "")
    for item in res:
        sum += int(item)

    return sum

核心本质还是一个递归实现的先序遍历,两个步骤就先不分析了,参考上个题目。

嗯。。大概本篇的「树-自顶向下」已经接近尾声,寻找刷题组织的小伙伴们可以一起参与进来,私信我就OK!咱们一起坚持!

总结唠叨几句

个人刷题经验,难免会出现思路上的欠缺,如果大家有发现的话,一定提出来,一起交流学习!

关于「树-自顶向下」这类题目,既适合用 BFS 思路解决,又适合使用 DFS 的思路进行解决。

用 BFS 解决问题的时候,思路清晰,代码稍微看起来会有些多!

可是用 DFS 的情况是,代码简洁,但是思路有时候会有些混乱,需要大量的练习才能逐渐的清晰起来!

下一期是讲透树 | 非自顶向下题目专题》,专门说说「树-非自顶向下」这一类,不知道会不会再有最后复盘的一期,看思路而定吧。

代码和本文的文档都在 github.com/xiaozhutec/… star。谢过大家!