前端酷讯-2021.7.18

446 阅读2分钟

新闻

好文与分享

实用工具

Extension Manager 扩展管理器

为了方便管理和使用最后再推荐一个Extension Manager, 你可以用它来对你安装的插件进行分组管理;还可以快速的切换插件的开启与关闭,你可以配置排序规则, 根据你的使用评率来排序这些插件。

正常安装

  1. 首先在标签页输入【chrome://extensions/】进入chrome扩展程序
  2. 解压你在本站下载的插件,并拖入扩展程序页即可。

安装出现程序包无效CRX-HEADER-INVALID的解决方案, 参照:Chrome插件安装时出现"CRX-HEADER-INVALID"解决方法。安装好后即可使用。

八卦专区

原来前端是这么过来的

配齐小米智能全家桶多少钱?官方清单出炉:共1.5万元

作为程序员,遇到问题时你的解决手段是什么?

现在爆火的酸性设计,到底有多酷!

钉钉不穷:低代码不会抢程序员饭碗

每周算法

反转链表

题目头条阿里腾讯微软
3-  -  -  -  

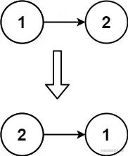
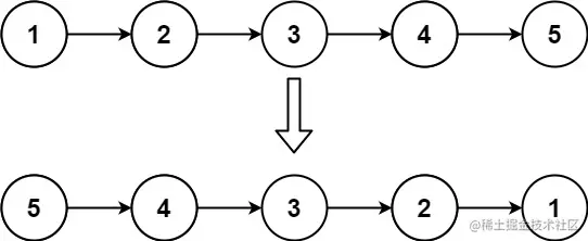
给你单链表的头节点 head ,请你反转链表,并返回反转后的链表。

示例 1:

输入:head = [``1``,``2``]

输出:[``2``,``1``]

示例 2:

输入:head = [``1``,``2``]

输出:[``2``,``1``]

示例 3:

输入:head = []

输出:[]

实现

var reverseList = function(head) {

    ``let [prev, curr] = [``null``, head];

    ``while (curr) {

        ``let tmp = curr.next;    ``// 1. 临时存储当前指针后续内容

        ``curr.next = prev;       ``// 2. 反转链表

        ``prev = curr;            ``// 3. 接收反转结果

        ``curr = tmp;             ``// 4. 接回临时存储的后续内容

    ``}

    ``return prev;

};

下期预告: 接雨水

人工智能

更新中