LeetCode题解之92. Reverse Linked List II

397 阅读1分钟

问题链接

问题描述

Given the head of a singly linked list and two integers left and right where left <= right, reverse the nodes of the list from position left to position right, and return the reversed list.

Example 1:

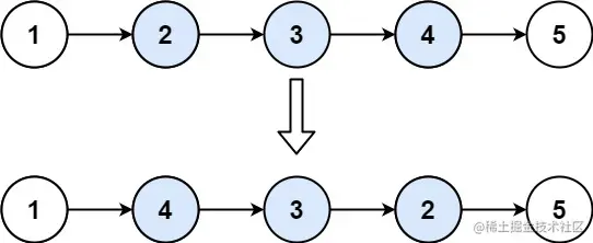
 Input: head = [1,2,3,4,5], left = 2, right = 4
 Output: [1,4,3,2,5]

Example 2:

 Input: head = [5], left = 1, right = 1
 Output: [5]

Constraints:

  • The number of nodes in the list is n.

  • 1 <= n <= 500

  • -500 <= Node.val <= 500

  • 1 <= left <= right <= n

    Follow up: Could you do it in one pass?

解题思路

对于链表反转相信大家都不陌生,这道题是链表反转的升级版,不是反转整个链表,而是反转指定的两个结点之间的链表(包含指定的这两个结点),不管是反转整个链表还是反转链表的某一部分,都离不开「反转」这个基本操作,我们先来复习一下,链表反转的核心代码如下:

 public ListNode reverse(ListNode head) {
     if ( Objects.isNull(head)) {
         return head;
     }
     ListNode p = head, q = head.next, t;
     head.next = null;
     while(q != null){
         t = q.next;
         q.next = p;
         p = q;
         q = t;
     }
     return p;
 }

对于这道题目而言,由于不是反转整个链表,所以我们要关注三个部分:1. 被反转的链表之前的部分;2. 被反转的链表;3. 被反转的链表之后的部分。我们需要在链表反转后将这三个部分重新连接起来。举个例子,假设有下面这样一个链表,left 为 3,right 为 6。注意:left 和 right 指的是序号,left 为 3 就是指从左往右数第 3 个结点(从 1 开始计数)。

橙色的部分是我们要反转的部分,反转之后为9->8->4->2,然后要把5->79->8->4->26->3->1首尾相连,组成新的链表。所以我们要记录下反转后的部分的头结点(第 6 个结点)和尾结点(第 2 个结点),以及第 2 个结点和第 7 个结点,这样才能把这三个部分连接起来。

还有一种特殊情况是,当 left 为 1 的时候,整个链表只有被反转的部分以及被反转的链表之后的部分。为了统一处理,我们定义一个 headPre 结点,保证被反转的链表之前总是有结点的。无论 left 等于几,最后只要返回 headPre.next 就好了。

完整代码如下:

 public ListNode reverseBetween(ListNode head, int left, int right) {
     if (left == right) {
         return head;
     }
     ListNode p = head, headPre = new ListNode(-1);
     headPre.next = head;
     ListNode leftPre = headPre;
     int i = 1;
     while (i < left && Objects.nonNull(p)) {
         p = p.next;
         leftPre = leftPre.next;
         i++;
     }
     if (Objects.isNull(p) || Objects.isNull(p.next)) {
         return head;
     }
     ListNode leftNode = p;
     ListNode q = p.next;
     ListNode t;
     while (true) {
         t = q.next;
         q.next = p;
         p = q;
         i++;
         if (Objects.isNull(t) || i == right) {
             break;
         }
         q = t;
     }
     leftPre.next = q;
     leftNode.next = t;
     return headPre.next;
 }

相关题目

链表