0/前言
用Python做数据分析离不开pandas包,pnadas更多的是承载数据处理的角色。
虽然pandas中也内置了可视化的操作,但效果很糙。
因此,大家在用python做数据分析时,正常的做法是用先pandas先进行数据处理,
然后再用Matplotlib、Seaborn、Plotly、Bokeh等包对dataframe对象或者series对象进行可视化操作。
但是说实话,以上每个可视化包都有自己独特的方法和函数,经常忘,这是让我一直很头疼的地方。
好消息来了!
从最新的pandas版本0.25.3开始,数据处理和可视化完全可以用pandas一个就全部搞定。
pandas现在可以使用Plotly、Bokeh作为可视化的backend,直接实现交互性操作,无需再单独使用可视化包了。
1/激活backend
在import pandas as pd之后,还需要激活backend,才可以使用pandas进行可视化。
直接使用下面这段代码激活backend,目前,pandas的backend支持以下几个可视化包。
- Pandas_bokeh
- Plotly
- Holoviews
- Matplotlib
- Hyplot
pd.options.plotting.backend = 'plotly'
pd.options.plotting.backend = 'Pandas_bokeh'
pd.options.plotting.backend = 'Holoviews'
pd.options.plotting.backend = 'Matplotlib'
pd.options.plotting.backend = 'Hyplot'
2/Plotly backend
Plotly的好处是,它基于Javascript版本的库写出来的,
因此生成的Web可视化图表,可以显示为HTML文件或嵌入基于Python的Web应用程序中。
下面看下如何用plotly作为pandas的backend进行可视化。
如果还没安装Plotly,则需要安装它pip intsall plotly。
如果是在Jupyterlab中使用Plotly,那还需要执行以下几个额外的安装步骤来显示可视化效果:
pip install jupyterlab "ipywidgets>=7.5"
jupyter labextension install jupyterlab-plotly@4.8.1
import pandas as pd
import numpy as np
from sklearn.datasets import fetch_openml
pd.options.plotting.backend = 'plotly'
X,y = fetch_openml("wine", version=1, as_frame=True, return_X_y=True)
data = pd.concat([X,y], axis=1)
data.head()

下面的代码绘制了数据集中两个要素之间的关系:
fig = data[['Alcohol', 'Proline']].plot.scatter(y='Alcohol', x='Proline')
fig.show()

如果将鼠标悬停在图表上,可以选择将图表下载为高质量的图像文件。

data[['Hue','class']].groupby(['class']).mean().plot.bar()

fig = data[['Hue', 'Proline', 'class']].plot.scatter(x='Hue', y='Proline', color='class', title='Proline and Hue by wine class') fig.show()

3/Bokeh backend
Bokeh是另一个Python可视化包,也可提供丰富的交互式可视化效果。
Bokeh还具有streaming API,可以为比如金融市场等流数据创建实时可视化。
老样子,用pip安装即可,pip install pandas-bokeh
为了在Jupyterlab中显示Bokeh可视化效果,还需要安装两个新的扩展。
jupyter labextension install @jupyter-widgets/jupyterlab-manager
jupyter labextension install @bokeh/jupyter_bokeh
下面我们使用`Bokeh backend`重新创建刚刚`plotly`实现的的散点图。
pd.options.plotting.backend = 'pandas_bokeh'
import pandas_bokeh
from bokeh.io import output_notebook
from bokeh.plotting import figure, show
output_notebook()
p1 = data.plot_bokeh.scatter(x='Hue',
y='Proline',
category='class',
title='Proline and Hue by wine class',
show_figure=False)
show(p1)

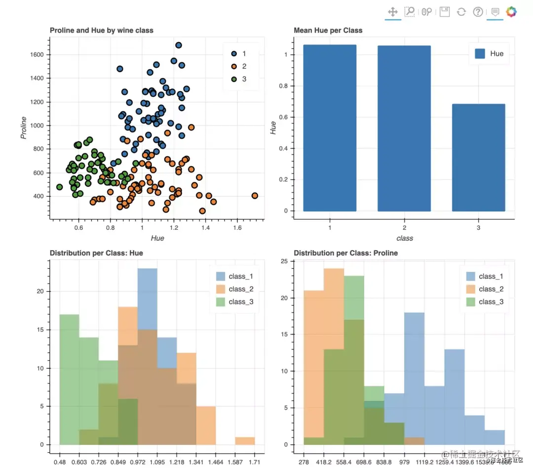
`Bokeh`还具有`plot_grid`函数,可以为多个图表创建类似于仪表板的布局,
下面在网格布局中创建了四个图表。
output_notebook()
p1 = data.plot_bokeh.scatter(x='Hue',
y='Proline',
category='class',
title='Proline and Hue by wine class',
show_figure=False)
p2 = data[['Hue','class']].groupby(['class']).mean().plot.bar(title='Mean Hue per Class')
df_hue = pd.DataFrame({
'class_1': data[data['class'] == '1']['Hue'],
'class_2': data[data['class'] == '2']['Hue'],
'class_3': data[data['class'] == '3']['Hue']},
columns=['class_1', 'class_2', 'class_3'])
p3 = df_hue.plot_bokeh.hist(title='Distribution per Class: Hue')
df_proline = pd.DataFrame({
'class_1': data[data['class'] == '1']['Proline'],
'class_2': data[data['class'] == '2']['Proline'],
'class_3': data[data['class'] == '3']['Proline']},
columns=['class_1', 'class_2', 'class_3'])
p4 = df_proline.plot_bokeh.hist(title='Distribution per Class: Proline')
pandas_bokeh.plot_grid([[p1, p2],
[p3, p4]], plot_width=450)
可以看到,可视化的部分都是在`pandas`的`dataframe`基础上一行代码搞定,最后`plot_grid`完成布局

4/总结
在内置的`Pandas`绘图功能增加多个第三方可视化backend,大大增强了`pandas`用于数据可视化的功能,
今后可能真的不需再去学习众多可视化操作了