【图文并茂的算法】-floyd判环(圈)算法

694 阅读3分钟

floyd(Floyd cycle detection)

问题:如何检测一个链表是否有环,如果有,那么如何确定环的起点?如何确定环的长度?

  • 时间复杂度:O(n) (高效率)
  • 空间复杂度:O(1)

此算法又成为龟兔赛跑算法,基本思想是:

好比两个人在赛跑,A的速度快,B的速度慢,经过一定时间后,A总是会和B相遇,且相遇时A跑过的总距离减去B跑过的总距离一定是圈长的n倍(初中数学题......)。

弗洛伊德(Floyd )使用了两个指针,一个慢指针(龟)每次前进一步,快指针(兔)指针每次前进两步(两步或多步效果是等价的,只要一个比另一个快就行。但是如果移动步数增加,算法的复杂度可能增加)。如果两者在链表头以外(不包含开始情况)的某一点相遇(即相等)了,那么说明链表有环,否则,如果(快指针)到达了链表的结尾(如果存在结尾,肯定无环),那么说明没环。

环的检测从上面的解释理解起来应该没有问题。接下来我们来看一下如何确定环的起点,这也是Floyd解法的第二部分。方法是将慢指针(或快指针)移到链表起点,然后两者同时移动,每次移动一步,那么两者相遇的地方就是环的起点。

下面给出论证过程:

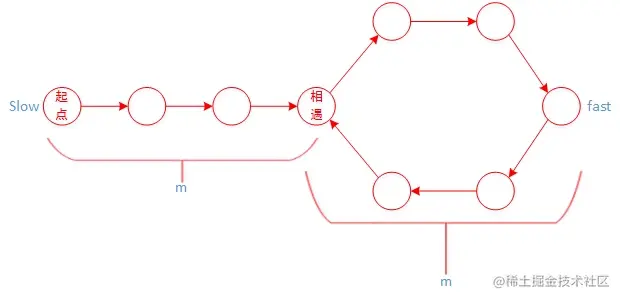
假设一个链表是下面这样的:

这里写图片描述

设环长为n,非环形部分长度为m,当第一次相遇时显然slow指针行走了 m+An+k(A表示slow行走了A圈。附:An 是因为如果环够大,则他们的相遇需要经过好几环才相遇)。fast行走了 m+B*n+k。

上面我们说了slow每次行走一步,fast每次行走两步,则在同一时间,fast行走的路程是slow的两倍。假设slow行走的路程为S,则fast行走的路程为2S。

用fast减去slow可得:

S=(B-A)*n

很显然这意味着当slow和fast相遇时他们走过的路程都为圈长的倍数。

接下来,将slow移动到起点位置,如下图:

这里写图片描述

然后每次两个指针都只移动一步,当slow移动了m,即到达了环的起点位置,此时fast总共移动了 2S+m。 考虑到S为环长的倍数,可以理解为:fast先从链表起点出发,经过了m到达环的起点,然后绕着环移动了几圈,最终又到达环的起点,值为2S+m。所以fast最终必定处在环的起点位置。即两者相遇点即为环的起点位置。


算法如下(Java):

public ListNode findBeginLoop(ListNode head){

ListNode slowPtr=head;
ListNode fastPtr=head;
boolean loopExists=false;

if(head=null){return 0;}

while(slowPtr.getNext()!=null && fastPtr.getNext().getNext()!=nulll){
 slowPtr=slowPtr.getNext();
 fastPtr=fastPtr.getNext().getNext();
 if(slowPtr==fastPtr){
	loopExists=true;
	break;
	}
  }
  if(loopExists){  //环存在
    slowPtr=head;
	while(slowPtr!=fastPtr){
		slowPtr=slowPtr.getNext();
		fastPtr=fastPtr.getNext();
	}
	return slowPtr;
  } 
  return null; //环不存在
}

如果要求环的长度,可以这样做:

当两者相遇之后,固定一个指针,让另一个指针行走一圈,使用count计数,如果两个指针相等(即相遇),则count即为环的长度。

github地址:github.com/qht10030778…
QQ(裙):985600592