从 Encoder-Decoder 模型入手,探索语境偏移解决之道

838 阅读8分钟

​​摘要:在本文中,我们展示了 CLAS,一个全神经网络组成,端到端的上下文 ASR 模型,通过映射所有的上下文短语,来融合上下文信息。在实验评估中,我们发现提出的 CLAS 模型超过了标准的 shallow fusion 偏置方法。

本文分享自华为云社区《语境偏移如何解决?专有领域端到端ASR之路(二)》,原文作者: xiaoye0829。

在这里我们介绍一篇与专有领域的端到端 ASR 的相关工作《DEEP CONTEXT: END-TO-END CONTEXTUALSPEECH RECOGNITION》,这篇工作也是来自 Google 的同一个研究团队。

在 ASR 中,一个用户说话的内容取决于他所处的上下文,通常这种上下文可以由一系列的 n-gram 单词所代表。在这篇工作中,我们同样是研究如何在端到端的模型中应用这种上下文信息。这篇文章的核心做法,可以看做是一个 contextual 的 LAS[1]模型,ContextualLAS(CLAS)模型就是在 LAS 模型的基础上,联合 n-gram 的 embedding 进行优化。即在 beam search 时,将独立训练的 n-gram 和 LAS 模型进行 shallowfusion。

在本文的工作中,我们考虑在识别过程中动态融入上下文信息。在传统的 ASR 系统里,融入上下文信息的一个主流做法是使用一个独立训练的在线重打分框架,这个框架可以动态调整一小部分与特定场景上下文相关的 n-gram 的权重。能够把这个技术拓展到 Seq2Seq 的 ASR 模型里是十分重要的。为了实现根据特定任务偏移识别过程的目的,先前也有工作尝试将独立的 LM 融入到识别过程中,常见的做法是 shallow fusion 或者 cold fusion。在工作[2]里面,shallow fusion 的方法被用来构建 Contextual LAS,即 LAS 的输出概率被一个由说话人上下文构建的特殊 WFST 修改,并获得了效果的提升。

之前的工作使用外部独立训练的 LM 进行在线重打分,与 Seq2Seq 模型联合优化的好处相违背。因此,在本文中,我们提出了一个 Contextual LAS(CLAS),提供一系列上下文短语(即语境短语)去提升识别效果。我们的方法是首先将每个短语映射成固定维度的词嵌入,然后采用一个 attention 注意力机制在模型输出预测的每一步去摘要可用的上下文信息。我们的方法可以被看成是流式关键词发现技术[3]的一个泛化,即允许在推理时使用可变数量的上下文短语。我们提出的模型在训练的时候不需要特定的上下文信息,并且也不需要对重打分的权重进行仔细的调整,仍然能融入 OOV 词汇。

本文接下来将从标准的 LAS 模型、标准的上下文 LAS 模型、以及我们提出的修改版 LAS 这几个部分进行讲解。

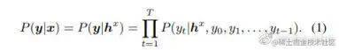
LAS 模型就是一个 Seq2Seq 模型,包含编码器和带有注意力机制的解码器,在解码每个词语的时候,注意力机制会动态计算每个输入隐状态的权重,并通过加权线性组合得到当前的注意力向量。这个模型的输入 x 是语音信号,输出 y 是 graphemes(即英文的 character,包含 az,09,, , ,,)。

LAS 的输出是如下公式:

这个公式依赖于 encoder 的状态向量 hx,decoder 的隐藏层状态 dt,以及建模为上下文向量的 Ct, Ct 是用一个 attentiongate 去聚合 decoder 状态和 encoder 的输出。

在标准的上下文 LAS 模型中,我们假设已经提前知道了一系列的单词级偏移短语。并把他们编译成了一个 WFST。这个单词级的 WFST G 可以由一个 speller FST S 组成。S 可以把一串 graphemes 或者 word-pieces 转换成对应的单词。因此我们可以获得一个上下文语言模型 LM C=min(det(SоG))。来自这个上下文语言模型的的分数 Pc(y), 之后能被用到解码过程中来增强标准的 log 概率项。

在这里,λ是一个可调整的参数,来控制上下文语言模型对整体模型得分的影响。这个公式中的总的分数,只在单词(word)层面应用。如下图所示:

因此,如果相关单词(word)没有在 beam 中出现,那么这个技术不能提高效果。而且,我们观察到,尽管这个方法在上下文短语数量很少的时候(比如 yes,no,cancel),这个方法的效果很好,但是当上下文短语中包含很多名词(比如歌名、联系人)时,这个方法效果不好。因此,如上图 c 中所示,我们探索在每一个单词的子词单元上施加权重。为了避免手动设定前缀词(与前缀匹配,但不与整个短语匹配)的权重,我们也包含了一个减法损失(subtractive cost),如上图 C 中的负权重。

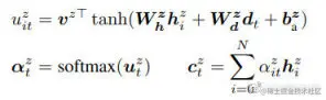
下面我们开始介绍本文提出的上下文 LAS 模型,它能够利用一系列偏置短语 Z 提供的额外上下文信息,来有效地建模 P(y|x,z)。Z 中的单个元素为与特定上下文语境相关的联系人、歌名等短语。假定这些上下文短语可以被表示成:Z = Z1,Z2 …,ZN。这些偏置短语是用来使模型朝输出特定短语偏置,然而,并不是所有的偏置短语都与当前要处理的语音相关,模型需要去决定哪些短语可能相关,并用这些短语去修改模型的目标输出分布。我们利用了一个 bias-encoder(偏置编码器)去增强 LAS,并把这些短语编码成 hz={h0z,h1z,…, hNz}。我们用上标 z 来区分声音相关的向量。hiz 是 Zi 的映射向量。由于所有的偏置短语可能都与当前的语音无关,我们额外包含了一个可学习的向量,h0z = hnbz,这个向量对应不使用偏置,即在输出时不使用任何偏置短语。这个选项使得模型能够忽略所有的偏置短语。这个偏置编码器是由一个多层的 LSTM 网络组成,hiz 是将 Zi 中子词对应的 embedding 序列送到偏置编码器中,并用 LSTM 的最后状态作为整个短语的输出特征。我们然后用一个额外的 attention 去对 hz 进行计算,利用下面的公式,在输入到 decoder 中时,Ct= [Ctx;Ctz]。其他部分都与传统的 LAS 模型一样。

值得注意的是,上面的公式明确建模了在给定语音和之前的输出时,当前时刻看到每个特定短语的概率。

下面我们看下实验部分。实验是在 25000 小时的英文数据上进行的,这个数据集用一个房间模拟器,添加不同强度的噪声和混淆,手工干扰正常语音,使得信噪比在 0 到 30dB 之间,噪声源来自于 Youtube 和日常生活的噪声环境录音。Encoder 的结构包含 10 层单向的 LSTM,每层 256 个单元。偏置编码器包含单层的 LSTM,有 512 个单元。解码器由 4 层 LSTM 组成,每层 256 个单元。实验的测试集如下:

首先,为了检验我们引入的偏移模块在没有偏移短语的情况下,会不会影响解码。我们对比了我们的 CLAS 和普通的 LAS 模型,CLAS 模型在训练的时候,使用了随机的偏移短语,但是在测试的时候不提供偏移短语,出乎意料的是,CLAS 在没有偏移短语提供时,也获得了比 LAS 更好的性能。

我们进一步对比了不同的在线重打分的方案,这些方案在如何分配权重给子词单元方面有区别。从下表中可以看到,最好的模型在每个子词单元上进行偏移,有助于在 beam 中保留单词。下面所有的在线重打分的实验都是在子词单元上进行偏移。

接下来,我们对比了 CLAS 和上面的各种方案的效果:

从这个表中可以看到,CLAS 显著得超过了传统的方法,并且不需要任何额外的超参数调整。

最后,我们把 CLAS 和传统的方法结合,可以看到偏置控制和在线重打分都有助于效果提升。

在本文中,我们展示了 CLAS,一个全神经网络组成,端到端的上下文 ASR 模型,通过映射所有的上下文短语,来融合上下文信息。在实验评估中,我们发现提出的 CLAS 模型超过了标准的 shallow fusion 偏置方法。

[1] Chan, William,et al. "Listen, attend and spell: A neural network for large vocabularyconversational speech recognition." 2016 IEEE InternationalConference on Acoustics, Speech and Signal Processing (ICASSP). IEEE, 2016.

[2] Ian Williams, Anjuli Kannan, Petar Aleksic, David Rybach, and TaraN. Sainath, “Contextual speech recognition in end-to-end neural network systemsusing beam search,” in Proc. of Interspeech, 2018.

[3] Y. He, R.Prabhavalkar, K. Rao, W. Li, A. Bakhtin, and I. McGraw, “StreamingSmall-footprint Keyword Spotting Using Sequence-to-Sequence Models,” in Proc.ASRU, 2017.

点击关注,第一时间了解华为云新鲜技术~