什么是网络单纯型算法

1,457 阅读2分钟

​​摘要: 单纯型算法是求解线性规划问题(LP)的一个经典算法,在单纯型算法中最耗时的模块是计算矩阵的逆矩阵的算法。网络单纯形算法是单纯形算法的一个特殊版本,它使用生成树基来更有效地解决具有纯网络形式的线性规划问题。

本文分享自华为云社区《网络单纯型算法简介》,原文作者:云小凡 。

【前言】单纯型算法是求解线性规划问题(LP)的一个经典算法,在单纯型算法中最耗时的模块是计算矩阵的逆矩阵的算法。网络单纯形算法是单纯形算法的一个特殊版本,它使用生成树基来更有效地解决具有纯网络形式的线性规划问题。这样的 LP 问题可以用有向图上的公式来建模,作为一个最小费用流问题。

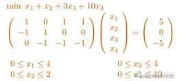
网络单纯型是指如下形式的 LP 问题:

其中,每列只包含一个 1 和一个-1,其他系数都是 0。

下面是一个例子:

该问题可以看做是最小费用流问题(Minimum cost flow problems)的图形式。

图 G=(V,E),顶点 V 表示行(约束),边 E 表示列(变量),对于矩阵 A 中一个列,第 i 行有个 1,第 k 行有个-1,表示图 G 中的一条边(i,k)。

对于上述例子,可以用下图表示:

网络流问题满足 Hoffman&Gale’s conditions,因此可以确保得到整数解。

【关联矩阵】:

对于图 G=(V,E)的关联矩阵 A 可以表示为:

上例中的关联矩阵可以表示为:

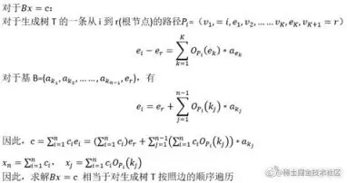
【路径】:

连通图:图中任意两个顶点都有路径。

生成树:图 G 的一个子图 T,包含图 G 中所有顶点。

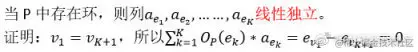
性质:rank(A)=n-1,n 是结点个数。

我们新增一个变量 w,A 中增加一个列

r∈{1,2……n}中任意一个值,w=0,则 LP 模型为:

其中,r 称为根节点(root vertex),w 称为根边(rootedge)(going nowhere)

对于上述例子,假如选择根节点 r=2

A 是图 G 的关联矩阵,T 是 G 的生成树,则(A│e_r )的基 B=e_r∪{a_e |e∈T}

【单纯型算法】:

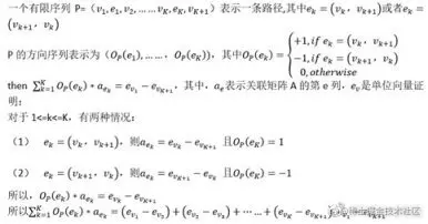
我们可以从根节点进行先序遍历,得到 y2=0, y1-y2=1, y1-y3=10,即依次遍历基 5,基 1,基 4 伪代码:(递归)solve(Vertex p,Tree S){//p 是树 S 的根节点 Vertex v=root(S);if(v==r) y[r]=c[w];else if ((p,v)∈E y[v]=y[p]-c[(p,v)];else y[v]=y[p]+c[(v,p)];solve(v,S.left());solve(v,S.right());}

参考文献:www.cs.upc.edu/~erodri/web…

点击关注,第一时间了解华为云新鲜技术~