【优化求解】基于levy飞行改进的麻雀搜索算法matlab源码

560 阅读5分钟

一、麻雀算法

优化问题是科学研究和工程实践领域中的热门问题。智能优化算法大多是受到人类智能、生物群体社会性或自然现象规律的启发,在解空间内进行全局优化。麻雀算法于2020年由薛建凯[1]首次提出,是基于麻雀种群的觅食和反捕食行为的一种新型智能优化算法。

麻雀搜索算法的具体步骤描述以及公式介绍:

构建麻雀种群:
在这里插入图片描述

其中,d表示待优化问题的维数,n表示麻雀种群的数量。所有麻雀种群的适应度函数可以表示成如下形式:

在这里插入图片描述

其中,Fx表示适应度函数值。

麻雀算法中的麻雀具有两大类分别是发现者和加入者,发现者负责为整个种群寻找食物并为加入者提供觅食的方向,因此,发现者的觅食搜索范围要比加入者的觅食搜索范围大。在每次迭代过程中,发现者按照公式(3)进行迭代。

在这里插入图片描述

其中,t表示当前迭代次数,Xij表示第i个麻雀种群在第j维中的位置信息,阿尔法表示的0到1的随机数,itermax表示最大迭代次数,Q表示一个服从正态分布的随机数,L是一个1*d并且元素全为1的矩阵,R2属于0-1表示麻雀种群位置的预警值,ST属于0.5-1表示麻雀种群位置的安全值。

当R2<ST时表示 预警值小于安全值,此时觅食环境中没有捕食者,发现者可以进行广泛搜索操作;当R2>ST时意味着种群中有部分麻雀已经发现捕食者,并向种群中的其他麻雀发出预警,所有麻雀都需要飞往安全区域进行觅食。

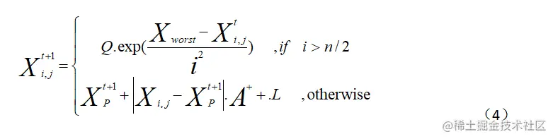
在觅食过程中,部分加入者会时刻监视发现者,当发现者发现更好的食物,加入者会与其进行争夺,若成功,会立即获得该发现者的食物,否则加入者按照公式(4)进行位置更新。

在这里插入图片描述

其中,XP表示目前发现者所发现的最优位置,Xworst表示当前全局最差的位置,A表示其元素随机赋值为1或-1的1*d的矩阵并且满足一下关系:

L仍然是一个1*d并且元素全为1的矩阵。当i>n/2时这表明第i个加入者没有获得食物,处于饥饿状态,此时需要飞往其他地方进行觅食,以获得更多的能量。

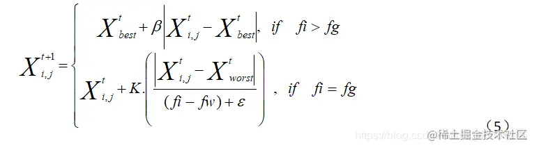
在麻雀种群中,意识到危险的麻雀数量占总数的10%到20%,这些麻雀的位置是随机产生的,按照公式(5)对意识到危险的麻雀的位置进行不断更新。

图片

其中,Xbest表示当前全局最优位置,是服从标准正态分布的随机数用来作为步长控制参数,贝塔是一个属于-1到1的随机数,fi表示当前麻雀个体的适应度值,fg表示全局最佳适应度值,fw表示全局最差适应度值,像左耳朵一样的这个是读"一不洗诺"吗?"一不洗诺"表示一个避免分母为0的常数。当fi>fg时表示此时麻雀处于种群边缘,极易受到捕食者的攻击,当fi=fg时表示处于种群中间的麻雀也受到了危险,此时需要靠近其他麻雀以减少被捕食的风险。

二、基于levy飞行改进的麻雀搜索算法

针对基本麻雀搜索算法抗局部最优能力弱的问题,提出了一种Lévy飞行的麻雀算法(ISSA)。首先,在跟随者位置更新方式中引进Lévy飞行策略,对当前最优解进行扰动变异,加强局部逃逸能力;最后,基于8个基准测试函数进行性能测验,结果表明ISSA与其余四种算法相比,寻优精度至少提升了49个数量级,求解效率得到较大提升。

三、部分代码

function [FoodFitness,FoodPosition,Convergence_curve]=SSA(N,Max_iter,lb,ub,dim,fobj)
if size(ub,1)==1
    ub=ones(dim,1)*ub;
    lb=ones(dim,1)*lb;
end
Convergence_curve = zeros(1,Max_iter);
%Initialize the positions of salps
SalpPositions=initialization(N,dim,ub,lb);
FoodPosition=zeros(1,dim);
FoodFitness=inf;
%calculate the fitness of initial salps
for i=1:size(SalpPositions,1)
    SalpFitness(1,i)=fobj(SalpPositions(i,:));
end
[sorted_salps_fitness,sorted_indexes]=sort(SalpFitness);
for newindex=1:N
    Sorted_salps(newindex,:)=SalpPositions(sorted_indexes(newindex),:);
end
FoodPosition=Sorted_salps(1,:);
FoodFitness=sorted_salps_fitness(1);
%Main loop
l=2; % start from the second iteration since the first iteration was dedicated to calculating the fitness of salps
while l<Max_iter+1
    c1 = 2*exp(-(4*l/Max_iter)^2); % Eq. (3.2) in the paper
    for i=1:size(SalpPositions,1)
        SalpPositions= SalpPositions';
        if i<=N/2
            for j=1:1:dim
                c2=rand();
                c3=rand();
                %%%%%%%%%%%%% % Eq. (3.1) in the paper %%%%%%%%%%%%%%
                if c3<0.5 
                    SalpPositions(j,i)=FoodPosition(j)+c1*((ub(j)-lb(j))*c2+lb(j));
                else
                    SalpPositions(j,i)=FoodPosition(j)-c1*((ub(j)-lb(j))*c2+lb(j));
                end
                %%%%%%%%%%%%%%%%%%%%%%%%%%%%%%%%%%%%%%%%%%%%%%%%%%%%%%
            end
        elseif i>N/2 && i<N+1
            point1=SalpPositions(:,i-1);
            point2=SalpPositions(:,i);
            SalpPositions(:,i)=(point2+point1)/2; % % Eq. (3.4) in the paper
        end
        SalpPositions= SalpPositions';
    end
    for i=1:size(SalpPositions,1)
        Tp=SalpPositions(i,:)>ub';Tm=SalpPositions(i,:)<lb';SalpPositions(i,:)=(SalpPositions(i,:).*(~(Tp+Tm)))+ub'.*Tp+lb'.*Tm;
        SalpFitness(1,i)=fobj(SalpPositions(i,:));
        if SalpFitness(1,i)<FoodFitness
            FoodPosition=SalpPositions(i,:);
            FoodFitness=SalpFitness(1,i); 
        end
    end
    Convergence_curve(l)=FoodFitness;
    l = l + 1;
end



四、仿真结果

五、参考文献及代码私信博主

[1]毛清华,张强,毛承成,柏嘉旋.混合正弦余弦算法和Lévy飞行的麻雀算法[J/OL].山西大学学报(自然科学版),{3},{4}{5}:1-6[2021-07-14].doi.org/10.13451/j.….