原文链接:tecdat.cn/?p=23019
原文出处:拓端数据部落公众号
蒙特卡洛方法利用随机数从概率分布P(x)中生成样本,并从该分布中评估期望值,该期望值通常很复杂,不能用精确方法评估。在贝叶斯推理中,P(x)通常是定义在一组随机变量上的联合后验分布。然而,从这个分布中获得独立样本并不容易,这取决于取样空间的维度。因此,我们需要借助更复杂的蒙特卡洛方法来帮助简化这个问题;例如,重要性抽样、拒绝抽样、吉布斯抽样和Metropolis Hastings抽样。这些方法通常涉及从建议密度Q(x)中取样,以代替P(x)。
在重要性抽样中,我们从Q(x)中产生样本,并引入权重以考虑从不正确的分布中抽样。然后,我们对我们需要评估的估计器中的每个点的重要性进行调整。在拒绝抽样中,我们从提议分布Q(x)中抽取一个点,并计算出P(x)/Q(x)的比率。然后我们从U(0,1)分布中抽取一个随机数u;如果,我们就接受这个点x,否则就拒绝并回到Q(x)中抽取另一个点。吉布斯抽样是一种从至少两个维度的分布中抽样的方法。这里,提议分布Q(x)是以联合分布P(x)的条件分布来定义的。我们通过从后验条件中迭代抽样来模拟P(x)的后验样本,同时将其他变量设置在其当前值。
虽然,重要性抽样和拒绝抽样需要Q(x)与P(x)相似(在高维问题中很难创建这样的密度),但当条件后验没有已知形式时,吉布斯抽样很难应用。这一假设在更普遍的Metropolis-Hastings算法中可以放宽,在该算法中,候选样本被概率性地接受或拒绝。这种算法可以容纳对称和不对称的提议分布。该算法可以描述如下
初始化
抽取
计算
从中抽取
如果 设
否则,设置
结束
吉布斯抽样是Metropolis Hastings的一个特例。它涉及一个总是被接受的提议(总是有一个Metropolis-Hastings比率为1)。
我们应用Metropolis Hastings算法来估计标准G-BLUP模型中回归系数的方差成分。
对于G-BLUP模型。
其中,
代表表型的向量和基因型的矩阵。
是标记效应的向量,
是模型残差的向量,残差为正态分布,均值为0,方差为
和
。
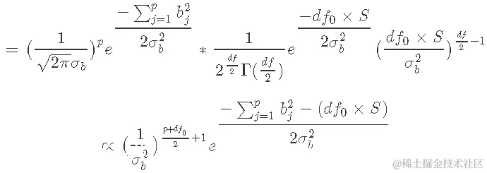
考虑到其余参数,的条件后验密度为:
这是一个逆卡方分布。
假设我们需要使的先验尽可能地不具信息性。一种选择是设置
,
,并使用拒绝抽样来估计
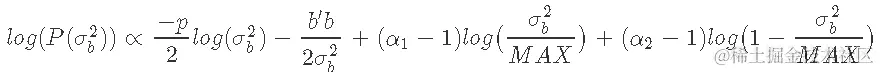
;但是,设置S0=0可能会导致算法卡在0处。 因此,我们需要一个可以替代逆卡方分布的先验,并且可以非常灵活。为此,我们建议使用β分布。由于所得到的后验不是一个合适的分布,Metropolis Hastings算法将是获得
后验样本的一个好选择。
这里我们把作为我们的提议分布Q。因此。
我们的目标分布是的正态似然与
的β先验的乘积。由于β分布的域在0和1之间,我们用变量
来代替β先验,其中MAX是一个确保大于
的数字,这样
。
其中α1和α2是β分布的形状参数,其平均值由给出。
我们按照上面的算法步骤,计算出我们的接受率,如下所示。
然后我们从均匀分布中抽取一个随机数u,如果,则接受样本点
,否则我们拒绝该点并保留当前值,再次迭代直至收敛。
Metropolis Hastings 算法
MetropolisHastings=function(p, ...)
chain[1]=x
for (i in 1:nIter) {
y[i] <-(SS+S0)/rchisq(df=DF,n=1,...)
logp.old[i]=-(p/2)*log(chai) - (SS/(2*chain) + (shape1-1)*(log(chain[i]/(MAX)))+(shape2-1)*(log(1-(chain[i]/(MAX))
logp.new[i]=-(p/2)*log(y[i]) - (SS/(2*y[i])) + (shape1-1)*(log(y[i]/(MAX)))+(shape2-1)*(log(1-(y[i]/(MAX))
chain[i+1] = ifelse (runif(1)<AP[i] , y[i], chain[i],...)
吉布斯采样器
gibbs=function(p,...)
b = rnorm(p,0,sqrt(varb),...)
for (i in 1:Iter) {
chain[i] <-(S+S0)/rchisq(df=DF,n=1,...)
绘制图
plot = function(out1,out2)
plot(density(chain1),xlim=xlim)
lines(density(chain2),xlim=xlim)
abline(v=varb,col="red",lwd=3)
设置参数
运行吉布斯采样器
##################
out1=gibbs(p=sample.small,...)
out2=gibbs(p=sample.large,...)
在不同的情况下运行METROPOLIS HASTINGS
小样本量,先验
out.mh=mh(p=sample.small,nIter=nIter,varb=varb,shape1=shape.flat,shape2=shape.flat, MAX=MAX)

样本量小,β值的形状1参数大
p=sample.small
nIter
varb
shape.skew[1]
shape.skew[2]
MAX
plot(out.mh, out.gs_1)
样本量小,β值的形状1参数大
MetropolisHastings(p)
makeplot(out.mh, out.gs_1)
## Summary of chain for MH:
## Min. 1st Qu. Median Mean 3rd Qu. Max.
## 0.2097 0.2436 0.2524 0.2698 0.2978 0.4658
样本量小,β的形状参数相同(大)
plot(out.mh, out1)
大的样本量,先验
plot(out.mh, out2)
大样本量,形状1参数的β
plot(out.mh, out2)
大样本量,β值的大形状2参数
plot(out.mh, out_2)
大样本量,β的形状参数相同(大)
plot(out.mh, out2)
参考文献
- Gelman, Andrew, et al. Bayesian data analysis. Vol. 2. London: Chapman & Hall/CRC, 2014.
最受欢迎的见解
1.使用R语言进行METROPLIS-IN-GIBBS采样和MCMC运行
3.R语言实现MCMC中的Metropolis–Hastings算法与吉布斯采样
4.R语言BUGS JAGS贝叶斯分析 马尔科夫链蒙特卡洛方法(MCMC)采样
5.R语言中的block Gibbs吉布斯采样贝叶斯多元线性回归
7.R语言用Rcpp加速Metropolis-Hastings抽样估计贝叶斯逻辑回归模型的参数