【pytest官方文档】解读fixtures - 11. fixture的执行顺序,3要素详解(长文预警)

437 阅读7分钟

当pytest要执行一个测试函数,这个测试函数还请求了fixture函数,那么这时候pytest就要先确定fixture的执行顺序了。

影响因素有三:

  • scope,就是fixture函数的作用范围,比如scope='class'
  • dependencies,可能会存在fixture请求了别的fixture,所以产生了依赖关系,也要考虑进去。
  • autouse,如果autouse=True,那么在作用范围内,这个fixture是最先调用的。

所以,像fixture函数或测试函数的名称、定义的位置、定义的顺序以及请求fixture的顺序,除了巧合之外,对执行顺序没有任何影响。

对于这些巧合情况,虽然pytest会尽力保持每次运行的顺序都一样,但是也难免会有意外。所以,如果我们想控制好顺序,最安全的方法还是
依赖上述三点,并且要弄清依赖关系。

一、使用范围更大的fixture函数优先执行

更大范围(比如session)的fixture会在小范围(比如函数或类)之前执行。

代码示例:

import pytest


@pytest.fixture(scope="session")
def order():
    return []


@pytest.fixture
def func(order):
    order.append("function")


@pytest.fixture(scope="class")
def cls(order):
    order.append("class")


@pytest.fixture(scope="module")
def mod(order):
    order.append("module")


@pytest.fixture(scope="package")
def pack(order):
    order.append("package")


@pytest.fixture(scope="session")
def sess(order):
    order.append("session")


class TestClass:
    def test_order(self, func, cls, mod, pack, sess, order):
        assert order == ["session", "package", "module", "class", "function"]

运行结果:

test_module1.py .                                                        [100%]

============================== 1 passed in 0.01s ==============================
Process finished with exit code 0

既然运行通过,那么这些fixture函数的运行顺序就是列表里的顺序["session", "package", "module", "class", "function"]

二、相同顺序的fixture基于依赖项执行

当一个fixture函数请另一个fixture函数,另一个会先执行。

比如,fixturea请求fixtureb,需要用b返回的结果。那么b先执行,因为a依赖于b,必须得让b先执行,否则a就没法干活。

另外,即使a不需要用b返回的结果,只要a需要确保在b之后执行,a仍然可以通过请求b来控制顺序。

1.请求依赖呈线性情况下

代码示例:

import pytest


@pytest.fixture
def order():
    return []


@pytest.fixture
def a(order):
    order.append("a")


@pytest.fixture
def b(a, order):
    order.append("b")


@pytest.fixture
def c(a, b, order):
    order.append("c")


@pytest.fixture
def d(c, b, order):
    order.append("d")


@pytest.fixture
def e(d, b, order):
    order.append("e")


@pytest.fixture
def f(e, order):
    order.append("f")


@pytest.fixture
def g(f, c, order):
    order.append("g")


def test_order(g, order):
    assert order == ["a", "b", "c", "d", "e", "f", "g"]

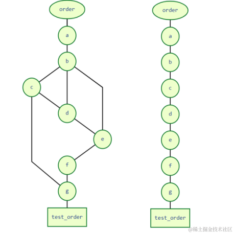
官方给出了上述代码的依赖关系图(左)和执行顺序图(右)。

不要方,只要从测试函数test_order开始,一层一层跟着fixture的依赖一层一层梳理下去就对上了。

到这里,其实也就能更进一步理解了,如果想控制好执行顺序,就要给这些请求依赖提供足够的信息。
这样pytest能够找出一个清晰的线性依赖链,最终给调用它们的测试函数一个确定的操作顺序。

2.请求依赖不呈线性的情况,会影响操作执行

此外,如果存在歧义,出现多种执行顺序,那pytest可以在多种顺序里任选。

基于上述的请求依赖关系图(左),假设d没有请求c,那么此时的依赖关系就变成了右图所示:

可以看出:

  • c此时只被一个g请求。
  • g既请求了c,还请求了f。

因为c现在除了一个g,其他没有别的依赖关系,所以现在pytest不知道c应该是在f,e之前执行,还是应该在d之后执行。
这时候,pytest就会认定,c可以在g和b之间的任何位置点执行。也就是说,c必须在b之后和g之前执行。

如果这种情况出现,那么你预期的测试行为或者测试结果可能会受到影响。可以修改下代码,让d中没有请求c,并且我加了print,方便
看fixture的运行顺序。
运行下代码:

test_module1.py 
运行order
运行a
运行b
运行d
运行e
运行f
运行c
运行g
F
demo\test_module1.py:51 (test_order)
['a', 'b', 'd...'f', 'c', ...] != ['a', 'b', 'c...'e', 'f', ...]

Expected :['a', 'b', 'c...'e', 'f', ...]
Actual   :['a', 'b', 'd...'f', 'c', ...]

会看到测试失败了,因为fixture的执行顺序变了,导致添加到order列表的元素顺序也变了,实际与预期结果不相等,测试失败。
不过可以从打印出的fixture运行顺序看出,c确实在b之后和g之前运行了。

官方描述这些想要表达的什么呢?
我觉得应该是这个,如果你希望精确控制执行顺序,避免顺序不对而造成执行操作或测试结果有误,那么就要给足请求依赖,好让pytest
线性制定执行顺序。

三、Autouse的fixtures,会优先执行

1. autouse的妙用

如果请求了一个autouse=True的fixture函数,那么这个autouse的fixture函数会比请求的其他fixture都要先执行。

另外,如果fixture a是autouse的,而fixture b不是。而fixture a又请求fixture b,那么fixture b也将变成autouse的fixture ,但仅适用于请求了a的测试。
其实这点也很好理解,既然a是要先执行的,a又请求了b,说明a依赖于b,那么b自然也是要先于a执行的。

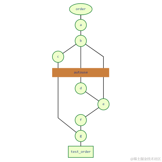
在上一个例子中,由于d没有去请求c,导致依赖关系模糊,最后影响了执行结果。
但是如果c是autouse,那么b和a也就自动变成了autouse,因为c依赖于b和a。所以,这时候,c,b,a都会在其他非autouse的fixture函数之前执行。

修改下代码,在c上加上autouse:

import pytest


@pytest.fixture
def order():
    print("\n运行order")
    return []


@pytest.fixture
def a(order):
    print("运行a")
    order.append("a")


@pytest.fixture
def b(a, order):
    print("运行b")
    order.append("b")


@pytest.fixture(autouse=True)
def c(a, b, order):
    print("运行c")
    order.append("c")


@pytest.fixture
def d(b, order):
    print("运行d")
    order.append("d")


@pytest.fixture
def e(d, b, order):
    print("运行e")
    order.append("e")


@pytest.fixture
def f(e, order):
    print("运行f")
    order.append("f")


@pytest.fixture
def g(f, c, order):
    print("运行g")
    order.append("g")


def test_order(g, order):
    assert order == ["a", "b", "c", "d", "e", "f", "g"]

运行结果:

test_module1.py 
运行order
运行a
运行b
运行c
运行d
运行e
运行f
运行g
.                                                        [100%]

============================== 1 passed in 0.01s ==============================
Process finished with exit code 0

执行顺序正常了,从a到g。
它们的依赖关系图变成了这样:

因为c变成了autouse,所以在图里处于d之上的位置,这时候pytest又可以将执行顺序线性化了。而且,c也让b和a都变成了autouse的fixture。

2. autouse的慎用

在使用autouse的时候也要小心。
因为一个测试函数即使没有直接请求一个autouse fixture,但是只要这个测试函数在这个autouse的作用范围内,那么这个autouse就会自动执行。
看代码示例:

import pytest


@pytest.fixture(scope="class")
def order():
    return []


@pytest.fixture(scope="class", autouse=True)
def c1(order):
    order.append("c1")


@pytest.fixture(scope="class")
def c2(order):
    order.append("c2")


@pytest.fixture(scope="class")
def c3(order, c1):
    order.append("c3")


class TestClassWithC1Request:
    def test_order(self, order, c1, c3):
        assert order == ["c1", "c3"]


class TestClassWithoutC1Request:
    def test_order(self, order, c2):
        assert order == ["c1", "c2"]

执行代码,运行case是通过的,说明order == ["c1", "c2"]
可以看到,虽然类TestClassWithoutC1Request(官方写的是TestClassWithC1Request,应该是错了)没有请求c1,但是c1还是在这个类里运行了。

但是,仅仅是一个autouse的fixture请求了一个非autouse的话,其实这并不能说这个非autouse的fixture也成为了一个可以应用到上下文的fixture函数。
仅仅是适用于请求它的那个autouse fixture的作用范围。
例如,看下面代码:

import pytest


@pytest.fixture
def order():
    return []


@pytest.fixture
def c1(order):
    order.append("c1")


@pytest.fixture
def c2(order):
    order.append("c2")


class TestClassWithAutouse:
    @pytest.fixture(autouse=True)
    def c3(self, order, c2):
        order.append("c3")

    def test_req(self, order, c1):
        assert order == ["c2", "c3", "c1"]

    def test_no_req(self, order):
        assert order == ["c2", "c3"]


class TestClassWithoutAutouse:
    def test_req(self, order, c1):
        assert order == ["c1"]

    def test_no_req(self, order):
        assert order == []

if __name__ == '__main__':
    pytest.main(['-s', 'test_module2.py'])

运行都是可以通过的,这里的依赖关系图是这样的。

在类TestClassWithAutouse中:

  • test_reqtest_no_req是2个测试方法。
  • c3是autouse,并且请求了c2,所以c2也成了autouse。虽然2个测试并没去请求c2c3,但是都执行了,而且在c1之前执行。

在这里,c3请求了还order,同样地,在c3的作用域内,order也扮演了autouse的存在。但是在TestClassWithoutAutouse,order就不是
autouse了,所以类TestClassWithoutAutouse中的test_no_req可以运行成功,因为order=[]