【ELMAN预测】基于粒子群算法改进ELMAN动态递归神经网络实现数据预测matlab源码

330 阅读10分钟

一、Elman神经网络介绍

1.特点
Elman神经网络是一种典型的动态递归神经网络,它是在BP网络基本结构的基础上,在隐含层增加一个承接层,作为一步延时算子,达到记忆的目的,从而使系统具有适应时变特性的能力,增强了网络的全局稳定性,它比前馈型神经网络具有更强的计算能力,还可以用来解决快速寻优问题。
2.结构
Elman神经网络是应用较为广泛的一种典型的反馈型神经网络模型。一般分为四层:输入层、隐层、承接层和输出层。其输入层、隐层和输出层的连接类似于前馈网络。输入层的单元仅起到信号传输作用,输出层单元起到加权作用。隐层单元有线性和非线性两类激励函数,通常激励函数取Signmoid非线性函数。而承接层则用来记忆隐层单元前一时刻的输出值,可以认为是一个有一步迟延的延时算子。隐层的输出通过承接层的延迟与存储,自联到隐层的输入,这种自联方式使其对历史数据具有敏感性,内部反馈网络的加入增加了网络本身处理动态信息的能力,从而达到动态建模的目的。其结构图如下图1所示,
Elman神经网络结构图
其网络的数学表达式为:
这里写图片描述


其中,y为m维输出节点向量;x为n维中间层节点单元向量;u为r维输入向量;​为n维反馈状态向量;​为中间层到输出层连接权值;​为输入层到中间层连接权值;​为承接层到中间层连接权值;g()为输出神经元的传递函数,是中间层输出的线性组合;f()为中间层神经元的传递函数,常采用S函数。
3.与BP网络的区别
它是动态反馈型网络,它能够内部反馈、存储和利用过去时刻输出信息,既可以实现静态系统的建模,还能实现动态系统的映射并直接反应系统的动态特性,在计算能力及网络稳定性方面都比BP神经网络更胜一筹。
4.缺点
与BP神经网络一样,算法都是采用基于梯度下降法,会出现训练速度慢和容易陷入局部极小点的缺点,对神经网络的训练较难达到全局最优。

二、粒子群算法

粒子群算法是在1995年由Eberhart博士和Kennedy博士一起提出的,它源于对鸟群捕食行为的研究。它的基本核心是利用群体中的个体对信息的共享从而使整个群体的运动在问题求解空间中产生从无序到有序的演化过程,从而获得问题的最优解。设想这么一个场景:一群鸟进行觅食,而远处有一片玉米地,所有的鸟都不知道玉米地到底在哪里,但是它们知道自己当前的位置距离玉米地有多远。那么找到玉米地的最佳策略,也是最简单有效的策略就是搜寻目前距离玉米地最近的鸟群的周围区域。

在PSO中,每个优化问题的解都是搜索空间中的一只鸟,称之为"粒子",而问题的最优解就对应于鸟群中寻找的"玉米地"。所有的粒子都具有一个位置向量(粒子在解空间的位置)和速度向量(决定下次飞行的方向和速度),并可以根据目标函数来计算当前的所在位置的适应值(fitness value),可以将其理解为距离"玉米地"的距离。在每次的迭代中,种群中的例子除了根据自身的经验(历史位置)进行学习以外,还可以根据种群中最优粒子的"经验"来学习,从而确定下一次迭代时需要如何调整和改变飞行的方向和速度。就这样逐步迭代,最终整个种群的例子就会逐步趋于最优解。

上面的解释可能还比较抽象,下面通过一个简单的例子来进行说明

在一个湖中有两个人他们之间可以通信,并且可以探测到自己所在位置的最低点。初始位置如上图所示,由于右边比较深,因此左边的人会往右边移动一下小船。

现在左边比较深,因此右边的人会往左边移动一下小船

一直重复该过程,最后两个小船会相遇

得到一个局部的最优解

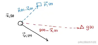
将每个个体表示为粒子。每个个体在某一时刻的位置表示为,x(t),方向表示为v(t)

p(t)为在t时刻x个体的自己的最优解,g(t)为在t时刻所有个体的最优解,v(t)为个体在t时刻的方向,x(t)为个体在t时刻的位置

下一个位置为上图所示由x,p,g共同决定了

种群中的粒子通过不断地向自身和种群的历史信息进行学习,从而可以找到问题的最优解。

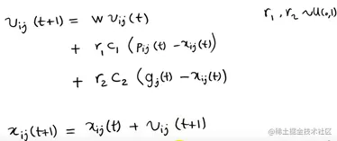
但是,在后续的研究中表表明,上述原始的公式中存在一个问题:公式中V的更新太具有随机性,从而使整个PSO算法的全局优化能力很强,但是局部搜索能力较差。而实际上,我们需要在算法迭代初期PSO有着较强的全局优化能力,而在算法的后期,整个种群应该具有更强的局部搜索能力。所以根据上述的弊端,shi和Eberhart通过引入惯性权重修改了公式,从而提出了PSO的惯性权重模型:

每一个向量的分量表示如下

其中w称为是PSO的惯性权重,它的取值介于【0,1】区间,一般应用中均采用自适应的取值方法,即一开始令w=0.9,使得PSO全局优化能力较强,随着迭代的深入,参数w进行递减,从而使的PSO具有较强的局部优化能力,当迭代结束时,w=0.1。参数c1和c2称为学习因子,一般设置为1,4961;而r1和r2为介于[0,1]之间的随机概率值。

整个粒子群优化算法的算法框架如下:

step1种群初始化,可以进行随机初始化或者根据被优化的问题设计特定的初始化方法,然后计算个体的适应值,从而选择出个体的局部最优位置向量和种群的全局最优位置向量。

step2 迭代设置:设置迭代次数,并令当前迭代次数为1

step3 速度更新:更新每个个体的速度向量

step4 位置更新:更新每个个体的位置向量

step5 局部位置和全局位置向量更新:更新每个个体的局部最优解和种群的全局最优解

step6 终止条件判断:判断迭代次数时都达到最大迭代次数,如果满足,输出全局最优解,否则继续进行迭代,跳转至step 3。

  对于粒子群优化算法的运用,主要是对速度和位置向量迭代算子的设计。迭代算子是否有效将决定整个PSO算法性能的优劣,所以如何设计PSO的迭代算子是PSO算法应用的研究重点和难点。

三、算法流程

步骤1:输入影响因素数据与目标输出数据,ELMAN神经网络划分训练集与测试集,对数据归一化处理,

步骤2:构建ELMAN神经网络,初始化网络结构。

步骤3:粒子群算法参数初始化。初始化最大迭代次数N,种群大小n,以及c1,c2,w参数。

步骤4:初始化粒子群算法PSO的种群位置。根据步骤2的网络结构,计算需要优化的变量元素个数。

步骤5:使用粒子群算法优化。将适应度函数设为ELMAN预测的均方误差。执行PSO的循环体过程,即速度更新和位置更新,直至达到最大迭代次数,终止粒子群优化算法。

步骤6:将PSO优化后的权值和阈值参数,赋给ELMAN神经网络。(或者在循环体当中,将网络结构理解为优化变量,输出最优的网络结构)。

步骤7:PSO优化后的ELMAN神经网络训练和预测,并与优化前的ELMAN神经网络进行预测误差分析和对比。

四、演示代码

clc;clear;close all;
%% 初始化种群
N = 500;                         % 初始种群个数
d = 24;                          % 空间维数
ger = 300;                      % 最大迭代次数   

          % 设置位置参数限制(矩阵的形式可以多维)
vlimit = [-0.5, 0.5;-0.5, 0.5;-0.5, 0.5;-0.5, 0.5;-0.5, 0.5;-0.5, 0.5;    -0.5, 0.5;-0.5, 0.5;-0.5, 0.5;-0.5, 0.5;-0.5, 0.5;-0.5, 0.5;    -0.5, 0.5;-0.5, 0.5;-0.5, 0.5;-0.5, 0.5;-0.5, 0.5;-0.5, 0.5;    -0.5, 0.5;-0.5, 0.5;-0.5, 0.5;-0.5, 0.5;-0.5, 0.5;-0.5, 0.5;];               % 设置速度限制
c_1 = 0.8;                        % 惯性权重
c_2 = 0.5;                       % 自我学习因子
c_3 = 0.5;                       % 群体学习因子 
 for i = 1:d
    x(:,i) = limit(i, 1) + (limit(i, 2) - limit(i, 1)) * rand(N, 1);%初始种群的位置
end    
v = 0.5*rand(N, d);                  % 初始种群的速度
xm = x;                          % 每个个体的历史最佳位置
ym = zeros(1, d);                % 种群的历史最佳位置
fxm = 100000*ones(N, 1);               % 每个个体的历史最佳适应度
fym = 10000;                      % 种群历史最佳适应度
%% 粒子群工作
iter = 1;
times = 1; 
record = zeros(ger, 1);          % 记录器
while iter <= ger
    for i=1:N
     fx(i) = calfit(x(i,:)) ; % 个体当前适应度 
    end
     for i = 1:N      
        if fxm(i) > fx(i)
            fxm(i) = fx(i);     % 更新个体历史最佳适应度
            xm(i,:) = x(i,:);   % 更新个体历史最佳位置
        end 
     end
if fym > min(fxm)
        [fym, nmax] = min(fxm);   % 更新群体历史最佳适应度
        ym = xm(nmax, :);      % 更新群体历史最佳位置
 end
    v = v * c_1 + c_2 * rand *(xm - x) + c_3 * rand *(repmat(ym, N, 1) - x);% 速度更新
    % 边界速度处理
    for i=1:d 
        for j=1:N
        if  v(j,i)>vlimit(i,2)
            v(j,i)=vlimit(i,2);
        end
        if  v(j,i) < vlimit(i,1)
            v(j,i)=vlimit(i,1);
        end
        end
    end       
    x = x + v;% 位置更新
    % 边界位置处理
    for i=1:d 
        for j=1:N
        if  x(j,i)>limit(i,2)
            x(j,i)=limit(i,2);
        end
        if  x(j,i) < limit(i,1)
            x(j,i)=limit(i,1);
        end
        end
    end
    record(iter) = fym;%最大值记录
    iter = iter+1;
    times=times+1;
end
disp(['最小值:',num2str(fym)]);
disp(['变量取值:',num2str(ym)]);
figure
plot(record)
xlabel('迭代次数');
ylabel('适应度值')

​五、仿真结果

粒子群算法的进化曲线

在这里插入图片描述
PSO-ELMAN预测与优化前ELMAN预测的误差对比分析

在这里插入图片描述
在这里插入图片描述

六、参考文献及代码私信博主

《排土场沉降预测的Elman模型及_省略_性分析_以大宝山矿李屋排土场为例_宁志杰》