【优化求解】基于竞争学习的粒子群优化算法(CLPSO) matlab源码

315 阅读10分钟

一、粒子群算法

粒子群算法是在1995年由Eberhart博士和Kennedy博士一起提出的,它源于对鸟群捕食行为的研究。它的基本核心是利用群体中的个体对信息的共享从而使整个群体的运动在问题求解空间中产生从无序到有序的演化过程,从而获得问题的最优解。设想这么一个场景:一群鸟进行觅食,而远处有一片玉米地,所有的鸟都不知道玉米地到底在哪里,但是它们知道自己当前的位置距离玉米地有多远。那么找到玉米地的最佳策略,也是最简单有效的策略就是搜寻目前距离玉米地最近的鸟群的周围区域。

在PSO中,每个优化问题的解都是搜索空间中的一只鸟,称之为"粒子",而问题的最优解就对应于鸟群中寻找的"玉米地"。所有的粒子都具有一个位置向量(粒子在解空间的位置)和速度向量(决定下次飞行的方向和速度),并可以根据目标函数来计算当前的所在位置的适应值(fitness value),可以将其理解为距离"玉米地"的距离。在每次的迭代中,种群中的例子除了根据自身的经验(历史位置)进行学习以外,还可以根据种群中最优粒子的"经验"来学习,从而确定下一次迭代时需要如何调整和改变飞行的方向和速度。就这样逐步迭代,最终整个种群的例子就会逐步趋于最优解。

上面的解释可能还比较抽象,下面通过一个简单的例子来进行说明

在一个湖中有两个人他们之间可以通信,并且可以探测到自己所在位置的最低点。初始位置如上图所示,由于右边比较深,因此左边的人会往右边移动一下小船。

现在左边比较深,因此右边的人会往左边移动一下小船

一直重复该过程,最后两个小船会相遇

得到一个局部的最优解

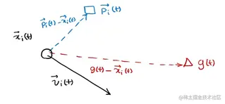
将每个个体表示为粒子。每个个体在某一时刻的位置表示为,x(t),方向表示为v(t)

p(t)为在t时刻x个体的自己的最优解,g(t)为在t时刻所有个体的最优解,v(t)为个体在t时刻的方向,x(t)为个体在t时刻的位置

下一个位置为上图所示由x,p,g共同决定了

种群中的粒子通过不断地向自身和种群的历史信息进行学习,从而可以找到问题的最优解。

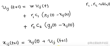
但是,在后续的研究中表表明,上述原始的公式中存在一个问题:公式中V的更新太具有随机性,从而使整个PSO算法的全局优化能力很强,但是局部搜索能力较差。而实际上,我们需要在算法迭代初期PSO有着较强的全局优化能力,而在算法的后期,整个种群应该具有更强的局部搜索能力。所以根据上述的弊端,shi和Eberhart通过引入惯性权重修改了公式,从而提出了PSO的惯性权重模型:

每一个向量的分量表示如下

其中w称为是PSO的惯性权重,它的取值介于【0,1】区间,一般应用中均采用自适应的取值方法,即一开始令w=0.9,使得PSO全局优化能力较强,随着迭代的深入,参数w进行递减,从而使的PSO具有较强的局部优化能力,当迭代结束时,w=0.1。参数c1和c2称为学习因子,一般设置为1,4961;而r1和r2为介于[0,1]之间的随机概率值。

整个粒子群优化算法的算法框架如下:

step1种群初始化,可以进行随机初始化或者根据被优化的问题设计特定的初始化方法,然后计算个体的适应值,从而选择出个体的局部最优位置向量和种群的全局最优位置向量。

step2 迭代设置:设置迭代次数,并令当前迭代次数为1

step3 速度更新:更新每个个体的速度向量

step4 位置更新:更新每个个体的位置向量

step5 局部位置和全局位置向量更新:更新每个个体的局部最优解和种群的全局最优解

step6 终止条件判断:判断迭代次数时都达到最大迭代次数,如果满足,输出全局最优解,否则继续进行迭代,跳转至step 3。

  对于粒子群优化算法的运用,主要是对速度和位置向量迭代算子的设计。迭代算子是否有效将决定整个PSO算法性能的优劣,所以如何设计PSO的迭代算子是PSO算法应用的研究重点和难点。

二、竞争学习的粒子群优化算法(CLPSO)

公式也仅仅是对经典的粒子群算法中速度更新项进行改进,将自身历史最优项换为新的综合学习因子同时将全局最优项删去。
在这里插入图片描述
所以接下来我们重点分析一下他的综合学习因子。首先看看他如何产生:

for k=1:ps
    ar=randperm(D);
    ai(k,ar(1:m(k)))=1;
    fi1=ceil(ps*rand(1,D));
    fi2=ceil(ps*rand(1,D));
    fi=(pbestval(fi1)<pbestval(fi2))'.*fi1+(pbestval(fi1)>=pbestval(fi2))'.*fi2;
    bi=ceil(rand(1,D)-1+Pc(k));
    if bi==zeros(1,D),rc=randperm(D);bi(rc(1))=1;end
    f_pbest(k,:)=bi.*fi+(1-bi).*f_pbest(k,:);
end

  • 1
  • 2
  • 3
  • 4
  • 5
  • 6
  • 7
  • 8
  • 9
  • 10

简单描述就是:对每一个粒子,在整个种群中随机选取两个粒子,比较两个粒子适应度并取较优的一个作为待选,然后依据文章定义的交叉概率Pc来按维度将待选粒子与该粒子的历史最有进行交叉,以生成综合学习因子,即公式中的Pbest.fri。同时在迭代过程中记录粒子没有变化的迭代停滞次数(注意源代码中并未将变化的粒子停滞次数归零),当某个粒子的停滞次数大于阈值,则重新为其生成综合学习因子。
其Pc的定义如下

t=0:1/(ps-1):1;t=5.*t;
Pc=0.0+(0.5-0.0).*(exp(t)-exp(t(1)))./(exp(t(ps))-exp(t(1)));

  • 1
  • 2

也很容易理解,即对整个种群的每个粒子定义线性递增的Pc(Pc=[0,0.5])且Pc不随迭代变化。
实际上整个算法所有的改进如上,十分的简单易懂却很有效,这里说说本人对其改进的理解:
首先为什么要去掉全局最优项?
实际上好多对CLPSO的改进会刻意将全局最优项加上以增强其开采能力,我认为其中HCLPSO[2]算是效果较好的变体,它主要就是将多种群拓扑引入,本身保留一个CL群然后生成一个新的带全局项的CL群,其实和众多该类改进一样,破坏了CLPSO本身的拓扑,所以实验证明在处理多峰问题时HCLPSO劣于CLPSO。说说我理解的为什么去掉全局最优项:首先,综合学习因子本身会选取随机两个粒子里面较好的一个,也就是说,全局最优在每次迭代中有不小的概率会被种群中的一个或多个粒子选择为学习目标。其次,全局最优项会大幅抵消综合学习因子的勘探能力(下文所述的振荡问题),因为本身综合学习因子是粒子自身最优与随机学习目标依概率的组合。
为什么综合学习因子会在多模态问题上起作用
原文中其实是有解释的,即粒子群算法本身进化中存在的振荡问题!从经典粒子群算法速度的进化公式来描述一下,我们可以看出,除了惯性项W*V,后面两项实际上控制了粒子整个进化过程的方向,也决定了粒子在搜索中对勘探与开采的侧重。那么当(Pbest-x)与(Gbest-x)这两项在多个维度中出去相互对立或者整体一致的方向时,其中的某一项必然失去作用甚至起到反作用,即力学中两个力同向,或完全反向。陷入多代这种进化的粒子必然会失去其搜索能力,不仅浪费计算次数,而且极易陷入早熟收敛。这就是为什么CLPSO在自身历史最优中混合入随机选取的目标,之后去掉全局最优,实际上就是避免了这一现象,事实证明效果显著!

三、部分代码

function [gbest,gbestval,fitcount]= CLPSO_new_func(fhd,Max_Gen,Max_FES,Particle_Number,Dimension,VRmin,VRmax,varargin)
%[gbest,gbestval,fitcount]= CLPSO_new_func('f8',3500,200000,30,30,-5.12,5.12)
rand('state',sum(100*clock));
me=Max_Gen;
ps=Particle_Number;
D=Dimension;
cc=[1 1];   %acceleration constants
t=0:1/(ps-1):1;t=5.*t;
Pc=0.0+(0.5-0.0).*(exp(t)-exp(t(1)))./(exp(t(ps))-exp(t(1)));
% Pc=0.5.*ones(1,ps);
m=0.*ones(ps,1);
iwt=0.9-(1:me)*(0.7/me);
% iwt=0.729-(1:me)*(0.0/me);
cc=[1.49445 1.49445];
if length(VRmin)==1
    VRmin=repmat(VRmin,1,D);
    VRmax=repmat(VRmax,1,D);
end
mv=0.2*(VRmax-VRmin);
VRmin=repmat(VRmin,ps,1);
VRmax=repmat(VRmax,ps,1);
Vmin=repmat(-mv,ps,1);
Vmax=-Vmin;
pos=VRmin+(VRmax-VRmin).*rand(ps,D);

for i=1:ps;
    e(i,1)=feval(fhd,pos(i,:),varargin{:});
end

fitcount=ps;
vel=Vmin+2.*Vmax.*rand(ps,D);%initialize the velocity of the particles
pbest=pos;
pbestval=e; %initialize the pbest and the pbest's fitness value
[gbestval,gbestid]=min(pbestval);
gbest=pbest(gbestid,:);%initialize the gbest and the gbest's fitness value
gbestrep=repmat(gbest,ps,1);

stay_num=zeros(ps,1);

ai=zeros(ps,D);
f_pbest=1:ps;f_pbest=repmat(f_pbest',1,D);
for k=1:ps
    ar=randperm(D);
    ai(k,ar(1:m(k)))=1;
    fi1=ceil(ps*rand(1,D));
    fi2=ceil(ps*rand(1,D));
    fi=(pbestval(fi1)<pbestval(fi2))'.*fi1+(pbestval(fi1)>=pbestval(fi2))'.*fi2;
    bi=ceil(rand(1,D)-1+Pc(k));
    if bi==zeros(1,D),rc=randperm(D);bi(rc(1))=1;end
    f_pbest(k,:)=bi.*fi+(1-bi).*f_pbest(k,:);
end

stop_num=0;
i=1;


while i<=me&fitcount<=Max_FES
    i=i+1;
    for k=1:ps
        
        if stay_num(k)>=5
            %     if round(i/10)==i/10%|stay_num(k)>=5
            stay_num(k)=0;
            ai(k,:)=zeros(1,D);
            f_pbest(k,:)=k.*ones(1,D);
            ar=randperm(D);
            ai(k,ar(1:m(k)))=1;
            fi1=ceil(ps*rand(1,D));
            fi2=ceil(ps*rand(1,D));
            fi=(pbestval(fi1)<pbestval(fi2))'.*fi1+(pbestval(fi1)>=pbestval(fi2))'.*fi2;
            bi=ceil(rand(1,D)-1+Pc(k));
            if bi==zeros(1,D),rc=randperm(D);bi(rc(1))=1;end
            f_pbest(k,:)=bi.*fi+(1-bi).*f_pbest(k,:);
        end
        
        for dimcnt=1:D
            pbest_f(k,dimcnt)=pbest(f_pbest(k,dimcnt),dimcnt);
        end
        aa(k,:)=cc(1).*(1-ai(k,:)).*rand(1,D).*(pbest_f(k,:)-pos(k,:))+cc(2).*ai(k,:).*rand(1,D).*(gbestrep(k,:)-pos(k,:));%~~~~~~~~~~~~~~~~~~~~~~
        vel(k,:)=iwt(i).*vel(k,:)+aa(k,:);
        vel(k,:)=(vel(k,:)>mv).*mv+(vel(k,:)<=mv).*vel(k,:);
        vel(k,:)=(vel(k,:)<(-mv)).*(-mv)+(vel(k,:)>=(-mv)).*vel(k,:);
        pos(k,:)=pos(k,:)+vel(k,:);
        
        if (sum(pos(k,:)>VRmax(k,:))+sum(pos(k,:)<VRmin(k,:)))==0;
            e(k,1)=feval(fhd,pos(k,:),varargin{:});
            fitcount=fitcount+1;
            tmp=(pbestval(k)<=e(k));
            if tmp==1
                stay_num(k)=stay_num(k)+1;
            end
            temp=repmat(tmp,1,D);
            pbest(k,:)=temp.*pbest(k,:)+(1-temp).*pos(k,:);
            pbestval(k)=tmp.*pbestval(k)+(1-tmp).*e(k);%update the pbest
            if pbestval(k)<gbestval
                gbest=pbest(k,:);
                gbestval=pbestval(k);
                gbestrep=repmat(gbest,ps,1);%update the gbest
            end
        end
        
    end
    
    % if round(i/100)==i/100
    %     plot(pos(:,D-1),pos(:,D),'b*');hold on;
    %     for k=1:floor(D/2)
    %         plot(gbest(:,2*k-1),gbest(:,2*k),'r*');
    %     end
    %     hold off
    %     title(['PSO: ',num2str(i),' generations, Gbestval=',num2str(gbestval)]);
    %     axis([VRmin(1,D-1),VRmax(1,D-1),VRmin(1,D),VRmax(1,D)])
    %     drawnow
    % end
    
    if fitcount>=Max_FES
        break;
    end
    if (i==me)&(fitcount<Max_FES)
        i=i-1;
    end
end
gbestval


四、仿真结果

五、参考文献及代码私信博主

[1] J.J. Liang, A.K. Qin, P.N. Suganthan, S. Baskar, Comprehensive learning particle swarm optimizer for global optimization of multimodal functions, IEEE Trans. Evol. Comput. 10 (3) (2006) 281–295.