[算法|LeetCode] 数组系列

505 阅读9分钟
  • 2021-7-10 更新:简单(202、217);待更新:中等(137、287)
  • 2021-7-8 更新:简单(26、136、剑指3)

难度:简单

26. 删除有序数组中的重复项

难度简单通过率54.01%(718,156/1,329,468)

题目描述:

给你一个有序数组 nums ,请你 原地 删除重复出现的元素,使每个元素 只出现一次 ,返回删除后数组的新长度。

不要使用额外的数组空间,你必须在 原地 修改输入数组 并在使用 O(1) 额外空间的条件下完成。

说明:

为什么返回数值是整数,但输出的答案是数组呢?

请注意,输入数组是以「引用」方式传递的,这意味着在函数里修改输入数组对于调用者是可见的。

你可以想象内部操作如下:

// nums 是以“引用”方式传递的。也就是说,不对实参做任何拷贝
int len = removeDuplicates(nums);

// 在函数里修改输入数组对于调用者是可见的。
// 根据你的函数返回的长度, 它会打印出数组中 该长度范围内 的所有元素。
for (int i = 0; i < len; i++) {
    print(nums[i]);
}

示例 1:

输入:nums = [1,1,2]
输出:2, nums = [1,2]
解释:函数应该返回新的长度 2 ,并且原数组 nums 的前两个元素被修改为 1, 2 。不需要考虑数组中超出新长度后面的元素。

示例 2:

输入:nums = [0,0,1,1,1,2,2,3,3,4]
输出:5, nums = [0,1,2,3,4]
解释:函数应该返回新的长度 5 , 并且原数组 nums 的前五个元素被修改为 0, 1, 2, 3, 4 。不需要考虑数组中超出新长度后面的元素。

提示:

  • 0 <= nums.length <= 31043 * 10^4
  • 104-10^4 <= nums[i] <= 10410^4
  • nums 已按升序排列

题解

双指针、原地算法

题目已经明确规定“原地修改数组”,那只能在现有数组上进行操作。

双指针是个不错的方法,具体过程看我的手稿,如下图:

值得注意的是if(j-index>1)这句判断,看注释,就知道为什么我要加上这句,当然不这么做也没问题,只是多少有点时间开销,或许这开销也不明显,但是这个小细节优化还是挺到位的哈哈~

class Solution {
    public int removeDuplicates(int[] nums) {
        int index = 0;
        for (int j = 1; j < nums.length; j++)
            if (nums[index] != nums[j]) {
                // 加上这个判断是对付含有较多连续递增的子数组
                // 如[0,1,2,4,5,5,6,7,8,8,9]等
                // 当nums[index]!=nums[j]时,会原地复制nums[j]
                // 这是个没必要的操作,会有时间开销
                if (j - index > 1)
                    nums[index+1] = nums[j];
                ++index; 
                /** 如果优先++index的话,就不用if(j-index>1)了
                    ++index;
                    nums[index] = nums[j];
                 */
            }
        return index + 1; // index为原地操作的次数,所以最后要+1    
    }
}

时间复杂度:O(n)O(n)

空间复杂度:O(1)O(1)

136. 只出现一次的数字

难度简单通过率71.64%(431,981/602,961)

题目描述:

给定一个 非空 整数数组,除了某个元素只出现一次以外,其余每个元素均出现两次。找出那个只出现了一次的元素。

说明:

你的算法应该具有线性时间复杂度。 你可以不使用额外空间来实现吗?

实例 1:

输入: [2,2,1]
输出: 1

实例 2:

输入: [4,1,2,1,2]
输出: 4

题解

① Set 不可重复性

  • Set的特性:元素不可重复性

利用这个特性,能快速解决这个问题,当被add()Set的元素是重复元素时,不进行add()并且将重复元素从set中移除,重复上述操作,最后set中剩下的就是不重复的元素了。

class Solution {
    public int singleNumber(int[] nums) {
        Set<Integer> set = new HashSet<>();

        for (int i = 0; i < nums.length; i++)
            // 尝试将当前元素加入 set
            if (!set.add(nums[i]))
                // 当前元已经存在于 set,即当前元素第二次出现,从 set 删除
                set.remove(nums[i]);

        // 最后只剩一个不重复的元素
        return set.iterator().next();
    }
}

时间复杂度:O(n)O(n),达到题目说明的“线性时间复杂度”。

空间复杂度:O(n)O(n) ,使用了Set空间,未能达到说明中的“可以不使用额外空间”。

② 位运算

既然题目说明中让我们“可以不使用额外空间”,我再想想别的方法——位运算

为什么是“位运算”呢?

因为题目描述中说到“除了某个元素只出现一次以外,其余每个元素均出现两次”,这是个突破口。

首先,来看个例子,比如:a^b

假设,ab的值分别是152

a 的值是15,转换成二进制为 1111

b 的值是2,转换成二进制为 0010

这下可以根据 异或 的运算规律,可以得出其结果为 1101,即13

15^2=13
	1 1 1 1
⊕  0 0 1 0
————————————
    1 1 0 1

继续看看,我们来看看异或运算⊕的运算性质:

  • a⊕0 = a
  • a⊕a = 0
  • a⊕b⊕a = (a⊕a)⊕b = 0⊕b = b

回到这题目来,能肯定的是题目提供的数组,其元素个数一定是奇数个!

现在我假设一共有 2m+1 个元素,

其中,m对元素是成对出现的,唯一1个元素就是将被输出的结果。

接下来可以根据这个假设,列出这个表达式:

(a1a2am)(a1a2am)am+1(a1a1)(a2a2)(amam)am+1000am+1am+1\left ( a_{1} \bigoplus a_{2} \bigoplus \cdot \cdot \cdot \bigoplus a_{m} \right ) \bigoplus \left ( a_{1} \bigoplus a_{2} \bigoplus \cdot \cdot \cdot \bigoplus a_{m} \right ) \bigoplus a_{m+1} \\ \Rightarrow \left ( a_{1} \bigoplus a_{1} \right ) \bigoplus \left ( a_{2}\bigoplus a_{2} \right ) \bigoplus \cdot \cdot \cdot \left ( a_{m}\bigoplus a_{m} \right ) \bigoplus a_{m+1} \\ \Rightarrow 0 \bigoplus 0 \bigoplus \cdot \cdot \cdot \bigoplus 0 \bigoplus a_{m+1} \\ \Rightarrow a_{m+1}

class Solution {
    public int singleNumber(int[] nums) {
        // (a1​⊕a1​)⊕(a2​⊕a2​)⊕⋯⊕(am​⊕am​)⊕am+1​
        // ⇨ 0⊕0⊕⋯⊕0⊕am+1​=am+1​
        // 结合三个性质:
        // 1、a⊕0 = a
        // 2、a⊕a = 0
        // 3、a⊕b⊕a = (a⊕a)⊕b = 0⊕b = b
        int ans = 0;
        for(int num : nums){
            // 比如:a^b=13
            // a 的值是15,转换成二进制为1111,
            // b 的值是2,转换成二进制为0010,
            // 根据异或的运算规律,可以得出其结果为1101,即13
            ans ^= num;
        }
        return ans;
    }
}

时间复杂度:O(n)O(n)

空间复杂度:O(1)O(1),明显达到了说明中的“不使用额外空间”

Stream流,一行实现 位运算 操作
  • 这种过于高级,使用的是Java的Stream API,看看就好~
class Solution {
    public int singleNumber(int[] nums) {
        return Arrays.stream(nums).reduce((a,b)->a^b).getAsInt();
    }
}

③ 双指针

双指针,也是一种解决办法,思路就不码字了,直接看代码理解吧 ~

class Solution {
    public int singleNumber(int[] nums) {
        int len = nums.length;
        if (len == 1) return nums[0];
        int index = 0;
        Arrays.sort(nums);
        for (int i = 1; i < len-1; i = i+2) {
            if (nums[i] == nums[i-1])
                index = index + 2;
            else if (nums[i] != nums[i-1])
                return nums[i-1];
            else if (index == len-1)
                return nums[index];
        }
        return nums[index];
    }
}

④ List集合

  • 创建一个集合,遍历数组,集合中没有遍历的元素就直接添加,如果有就把集合中元素删除。
class Solution {
	public int singleNumber(int[] nums) {
        List<Integer> list = new ArrayList<>();
        for (int i = 0; i < nums.length; i++) {
            if (!list.contains(nums[i])){
                list.add(nums[i]);
            }else {
                list.remove((Integer) nums[i]);
            }
        }
        return list.get(0);
    }
}

⑤ 数组排序

  • 这也能做到“不适用额外空间”,但是性能会低一些,作为了解吧~
class Solution {
    /* 排序1 */
    public int singleNumber_sort_1(int[] nums) {
        int len = nums.length;
        if (len == 1) return nums[0];
        int index = 0;
        Arrays.sort(nums);
        for(int i = 0; i < len; i += 2)
            if(i == len-1 || nums[i] != nums[i+1])
                return nums[i];
        return -1;
    }
}
class Solution {
	/* 排序2 */
    public int singleNumber_sort_2(int[] nums) {
        int len = nums.length;
        if (len == 1) return nums[0];
        int index = 0;
        Arrays.sort(nums);
        for (int i = 1; i < len; i += 2) {
            if (nums[i] == nums[i-1])
                index += 2;
            else if (nums[i] != nums[i-1])
                return nums[i-1];
            else if (index < len)
                return nums[index];
        }
        return nums[index];
    }
}

202. 快乐数

难度简单通过率61.55%(150,223/244,049)

编写一个算法来判断一个数 n 是不是快乐数。

快乐数」定义为:

对于一个正整数,每一次将该数替换为它每个位置上的数字的平方和。 然后重复这个过程直到这个数变为 1,也可能是 无限循环 但始终变不到 1。 如果 可以变为 1,那么这个数就是快乐数。 如果 n 是快乐数就返回 true ;不是,则返回 false

示例 1:

输入:19
输出:true
解释:
12 + 92 = 82
82 + 22 = 68
62 + 82 = 100
12 + 02 + 02 = 1

示例 2:

输入:n = 2
输出:false

提示:

  • 1 <= n <= 23112^{31} - 1

题解

  • 可以用“哈希集合”或者“递归”来实现,但更建议用“快慢指针”,更好理解!
    • 不建议用集合记录每次的计算结果来判断是否进入循环,因为这个集合可能大到无法存储。
    • 同理,也不建议使用递归,如果递归层次较深,会直接导致调用栈崩溃。
  • 看了官方题解后发现这其实是道数学题,可以利用数学的方式来解决:
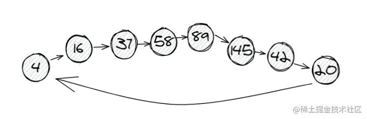
    • 在转换的过程中,会发现一个循环,很关键的循环:4 → 16 → 37 → 58 → 89 → 145 → 42 → 20 → 4,根据这个循环,其他数字只有两种可能:要么进入这个循环、要么进入1的链。

快慢指针

  • 把转换过程中的每一个数看作(模拟的)单链表的一个节点,把1看作单链表的最后一个节点
  • 在转换的过程中,快指针一定会追上慢指针,就是快慢指针相等
  • 判断快慢指针的值:
    • !1,则n不是快乐数,如116
    • =1,则n是快乐数,如19

为啥一定不会出现死循环?

因为int类型最大值为为‭‭2 147 483 647‬‬,所以平方和最大的数是1 999 999 999,平方和为1 + 81*9 = 724

任何数的平方和都在1724之间,724次循环之内一定有重复的。

class Solution {
    public boolean isHappy(int n) {
        // 把转换后的数看作模拟单链表的节点
        int slow = n, fast = squareSum(n);
        while (fast != slow) {
            slow = squareSum(slow);
            fast = squareSum(squareSum(fast));
        }
        // 判断快慢指针的值
        // 为1,则为快乐数
        return slow==1 ? true : false;
    }

    private int squareSum(int n){
        int squareSum = 0;
        while (n != 0) {
            squareSum += (n%10) * (n%10);
            n /= 10;
        }
        return squareSum;
    }
}

时间复杂度:O(n)O(n)n为转换的次数。

空间复杂度:O(1)O(1)

217. 存在重复元素

难度简单通过率56.09%(293,091/522,475)

题目描述:

给定一个整数数组,判断是否存在重复元素。

如果存在一值在数组中出现至少两次,函数返回 true 。如果数组中每个元素都不相同,则返回 false

示例 1:

输入: [1,2,3,1]
输出: true

示例 2:

输入: [1,2,3,4]
输出: false

示例 3:

输入: [1,1,1,3,3,4,3,2,4,2]
输出: true

题解

① Set 不可重复性

class Solution {
	/* HashSet.add Set元素不可重复性 */
    public boolean containsDuplicate(int[] nums) {
        Set set = new HashSet();
        for (int num : nums)
            if (!set.add(num))
                return true;
        return false;
    }
}

时间复杂度:O(logn)O(\log\,n)

空间复杂度:O(logn)O(\log\,n)

② 数组排序

class Solution {
	/* Arrays.sort */
     boolean containsDuplicate_Arrays(int[] nums) {
        Arrays.sort(nums);
        for (int i = 1; i < nums.length; i++)
            if (nums[i] == nums[i-1])
                return true;
        return false;
    }
}

时间复杂度:O(nlogn)O(n\,\log\,n) ,即排序的时间复杂度。扫描的时间复杂度 O(n)O(n) 可忽略。

空间复杂度:O(log1)O(\log\,1) ,没有用到额外空间。如果深究 Arrays.sort(nums) 使用了栈空间,那就是 O(logn)O(\log n)

③ Java Stream的IntStream

  • 这是一种很高级的题解,参考“甜姨 Sweetiee”的题解
  • Java Stream可以将int[]转成Set<integer>,为了更简短一些,可以直接利用 streamdistinctcount 算子。
    • 如果使用 Python 那更简单: len(set(nums)) != len(nums)
class Solution {
    public boolean containsDuplicate(int[] nums) {
        // 将 int[] 转成 Set<Integer>
        return IntStream.of(nums).distinct().count() != nums.length;
        // of(nums):返回其元素是指定值的顺序排序流
        // distinct():返回由该流的不同元素组成的流
        // count():返回此流中的元素数
    }
}

时间复杂度:O(logn)O(\log\,n)

空间复杂度:O(logn)O(\log\,n)

剑指Offer 3. 数组中重复的数字

难度简单通过率67.71%(335,520/495,461)

找出数组中重复的数字。

在一个长度为 n 的数组 nums 里的所有数字都在 0~n-1 的范围内。数组中某些数字是重复的,但不知道有几个数字重复了,也不知道每个数字重复了几次。请找出数组中任意一个重复的数字。

示例 1:

输入:
[2, 3, 1, 0, 2, 5, 3]
输出:23 

限制:

  • 2 <= n <= 100000

题解

① 哈希表

  • 肯定最先想到的是哈希表,因为Set的特性:元素不可重复性
class Solution {
    /* Set 元素不可重复性 */
    public int findRepeatNumber(int[] nums) {
        Set set = new HashSet();
        for (int num : nums)
            if (!set.add(num))
                return num;
        return -1;
    }
}

时间复杂度:O(n)O(n)

空间复杂度:O(n)O(n)

② 原地算法

  • 原地算法可以达到“不适用额外空间”,详细过程见我的手稿:

class Solution {
	    public int findRepeatNumber(int[] nums) {
        for (int i = 0; i < nums.length; i++) {
            if (nums[i] == i)
                continue;
        
            int temp = nums[nums[i]];
            nums[nums[i]] = nums[i];
            nums[i] = temp;

            if (nums[nums[i]] == nums[i])
                return nums[i];
        }
        return -1;
    }
}

时间复杂度:O(n)O(n)

空间复杂度:O(1)O(1)

③ 数组排序

  • nums进行排序后,重复的元素必定 相邻
class Solution {
	public int findRepeatNumber(int[] nums) {
        Arrays.sort(nums);
        for (int i = 0; i < nums.length-1; i++)
            if (nums[i] == nums[i+1]) 
                return nums[i];
        return -1;
    }
}

时间复杂度:O(n)O(n)

空间复杂度:O(1)O(1)

难度:中等

137. 只出现一次的数字 II

难度中等通过率71.89%(92,189/128,236)

题目描述:

给你一个整数数组 nums ,除某个元素仅出现 一次 外,其余每个元素都恰出现 **三次 。**请你找出并返回那个只出现了一次的元素。

示例 1:

输入:nums = [2,2,3,2]
输出:3

示例 2:

输入:nums = [0,1,0,1,0,1,99]
输出:99

提示:

  • 1 <= nums.length <= 31043 * 10^4
  • 231-2^{31} <= nums[i] <= 23112^{31} - 1
  • nums 中,除某个元素仅出现 一次 外,其余每个元素都恰出现 三次

进阶:

你的算法应该具有线性时间复杂度。 你可以不使用额外空间来实现吗?

题解

287. 寻找重复数

难度中等通过率66.59%(159,302/239,210)

给定一个包含 n + 1 个整数的数组 nums ,其数字都在 1n 之间(包括 1n),可知至少存在一个重复的整数。

假设 nums 只有 一个重复的整数 ,找出 这个重复的数

你设计的解决方案必须不修改数组 nums 且只用常量级 O(1) 的额外空间。

示例 1:

输入:nums = [1,3,4,2,2]
输出:2

示例 2:

输入:nums = [3,1,3,4,2]
输出:3

示例 3:

输入:nums = [1,1]
输出:1

示例 4:

输入:nums = [1,1,2]
输出:1

提示:

  • 1 <= n <= 10510^5
  • nums.length == n + 1
  • 1 <= nums[i] <= n
  • nums只有一个整数 出现 两次或多次 ,其余整数均只出现 一次

进阶:

  • 如何证明 nums 中至少存在一个重复的数字?
  • 你可以设计一个线性级时间复杂度 O(n) 的解决方案吗?

题解

难度:困难