【BP预测】基于麻雀算法改进BP神经网络实现数据预测

408 阅读9分钟

一、 BP神经网络预测算法简介

说明:1.1节主要是概括和帮助理解考虑影响因素的BP神经网络算法原理,即常规的BP模型训练原理讲解(可根据自身掌握的知识是否跳过)。1.2节开始讲基于历史值影响的BP神经网络预测模型。

使用BP神经网络进行预测时,从考虑的输入指标角度,主要有两类模型:

1.1 受相关指标影响的BP神经网络算法原理

如图一所示,使用MATLAB的newff函数训练BP时,可以看到大部分情况是三层的神经网络(即输入层,隐含层,输出层)。这里帮助理解下神经网络原理:
1)输入层:相当于人的五官,五官获取外部信息,对应神经网络模型input端口接收输入数据的过程。
2)隐含层:对应人的大脑,大脑对五官传递来的数据进行分析和思考,神经网络的隐含层hidden Layer对输入层传来的数据x进行映射,简单理解为一个公式hiddenLayer_output=F(w*x+b)。其中,w、b叫做权重、阈值参数,F()为映射规则,也叫激活函数,hiddenLayer_output是隐含层对于传来的数据映射的输出值。换句话说,隐含层对于输入的影响因素数据x进行了映射,产生了映射值。
3)输出层:可以对应为人的四肢,大脑对五官传来的信息经过思考(隐含层映射)之后,再控制四肢执行动作(向外部作出响应)。类似地,BP神经网络的输出层对hiddenLayer_output再次进行映射,outputLayer_output=w *hiddenLayer_output+b。其中,w、b为权重、阈值参数,outputLayer_output是神经网络输出层的输出值(也叫仿真值、预测值)(理解为,人脑对外的执行动作,比如婴儿拍打桌子)。
4)梯度下降算法:通过计算outputLayer_output和神经网络模型传入的y值之间的偏差,使用算法来相应调整权重和阈值等参数。这个过程,可以理解为婴儿拍打桌子,打偏了,根据偏离的距离远近,来调整身体使得再次挥动的胳膊不断靠近桌子,最终打中。

再举个例子来加深理解:

图一所示BP神经网络,具备输入层、隐含层和输出层。BP是如何通过这三层结构来实现输出层的输出值outputLayer_output,不断逼近给定的y值,从而训练得到一个精准的模型的呢?

从图中串起来的端口,可以想到一个过程:坐地铁,将图一想象为一条地铁线路。王某某坐地铁回家的一天:在input起点站上车,中途经过了很多站(hiddenLayer),然后发现坐过头了(outputLayer对应现在的位置),那么王某某将会根据现在的位置离家(目标Target)的距离(误差Error),返回到中途的地铁站(hiddenLayer)重新坐地铁(误差反向传递,使用梯度下降算法更新w和b),如果王某某又一次发生失误,那么将再次进行这个调整的过程。

从在婴儿拍打桌子和王某某坐地铁的例子中,思考问题:BP的完整训练,需要先传入数据给input,再经过隐含层的映射,输出层得到BP仿真值,根据仿真值与目标值的误差,来调整参数,使得仿真值不断逼近目标值。比如(1)婴儿受到了外界的干扰因素(x),从而作出反应拍桌(predict),大脑不断的调整胳膊位置,控制四肢拍准(y、Target)。(2)王某某上车点(x),过站点(predict),不断返回中途站来调整位置,到家(y、Target)。

在这些环节中,涉及了影响因素数据x,目标值数据y(Target)。根据x,y,使用BP算法来寻求x与y之间存在的规律,实现由x来映射逼近y,这就是BP神经网络算法的作用。再多说一句,上述讲的过程,都是BP模型训练,那么最终得到的模型虽然训练准确,但是找到的规律(bp network)是否准确与可靠呢。于是,我们再给x1到训练好的bp network中,得到相应的BP输出值(预测值)predict1,通过作图,计算Mse,Mape,R方等指标,来对比predict1和y1的接近程度,就可以知道模型是否预测准确。这是BP模型的测试过程,即实现对数据的预测,并且对比实际值检验预测是否准确。
在这里插入图片描述
图一 3层BP神经网络结构图

1.2 基于历史值影响的BP神经网络

以电力负荷预测问题为例,进行两种模型的区分。在预测某个时间段内的电力负荷时:

一种做法,是考虑 t 时刻的气候因素指标,比如该时刻的空气湿度x1,温度x2,以及节假日x3等的影响,对 t 时刻的负荷值进行预测。这是前面1.1所说的模型。

另一种做法,是认为电力负荷值的变化,与时间相关,比如认为t-1,t-2,t-3时刻的电力负荷值与t时刻的负荷值有关系,即满足公式y(t)=F(y(t-1),y(t-2),y(t-3))。采用BP神经网络进行训练模型时,则输入到神经网络的影响因素值为历史负荷值y(t-1),y(t-2),y(t-3),特别地,3叫做自回归阶数或者延迟。给到神经网络中的目标输出值为y(t)。

二、麻雀算法

优化问题是科学研究和工程实践领域中的热门问题。智能优化算法大多是受到人类智能、生物群体社会性或自然现象规律的启发,在解空间内进行全局优化。麻雀算法于2020年由薛建凯[1]首次提出,是基于麻雀种群的觅食和反捕食行为的一种新型智能优化算法。

麻雀搜索算法的具体步骤描述以及公式介绍:

构建麻雀种群:
在这里插入图片描述

其中,d表示待优化问题的维数,n表示麻雀种群的数量。所有麻雀种群的适应度函数可以表示成如下形式:

在这里插入图片描述

其中,Fx表示适应度函数值。

麻雀算法中的麻雀具有两大类分别是发现者和加入者,发现者负责为整个种群寻找食物并为加入者提供觅食的方向,因此,发现者的觅食搜索范围要比加入者的觅食搜索范围大。在每次迭代过程中,发现者按照公式(3)进行迭代。

在这里插入图片描述

其中,t表示当前迭代次数,Xij表示第i个麻雀种群在第j维中的位置信息,阿尔法表示的0到1的随机数,itermax表示最大迭代次数,Q表示一个服从正态分布的随机数,L是一个1*d并且元素全为1的矩阵,R2属于0-1表示麻雀种群位置的预警值,ST属于0.5-1表示麻雀种群位置的安全值。

当R2<ST时表示 预警值小于安全值,此时觅食环境中没有捕食者,发现者可以进行广泛搜索操作;当R2>ST时意味着种群中有部分麻雀已经发现捕食者,并向种群中的其他麻雀发出预警,所有麻雀都需要飞往安全区域进行觅食。

在觅食过程中,部分加入者会时刻监视发现者,当发现者发现更好的食物,加入者会与其进行争夺,若成功,会立即获得该发现者的食物,否则加入者按照公式(4)进行位置更新。

在这里插入图片描述

其中,XP表示目前发现者所发现的最优位置,Xworst表示当前全局最差的位置,A表示其元素随机赋值为1或-1的1*d的矩阵并且满足一下关系:

L仍然是一个1*d并且元素全为1的矩阵。当i>n/2时这表明第i个加入者没有获得食物,处于饥饿状态,此时需要飞往其他地方进行觅食,以获得更多的能量。

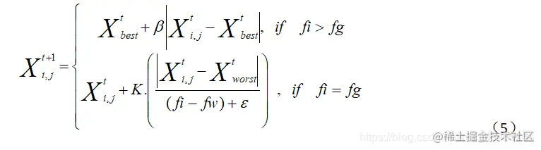
在麻雀种群中,意识到危险的麻雀数量占总数的10%到20%,这些麻雀的位置是随机产生的,按照公式(5)对意识到危险的麻雀的位置进行不断更新。

图片

其中,Xbest表示当前全局最优位置,是服从标准正态分布的随机数用来作为步长控制参数,贝塔是一个属于-1到1的随机数,fi表示当前麻雀个体的适应度值,fg表示全局最佳适应度值,fw表示全局最差适应度值,像左耳朵一样的这个是读"一不洗诺"吗?"一不洗诺"表示一个避免分母为0的常数。当fi>fg时表示此时麻雀处于种群边缘,极易受到捕食者的攻击,当fi=fg时表示处于种群中间的麻雀也受到了危险,此时需要靠近其他麻雀以减少被捕食的风险。

三、部分代码

function [FoodFitness,FoodPosition,Convergence_curve]=SSA(N,Max_iter,lb,ub,dim,fobj)
if size(ub,1)==1
    ub=ones(dim,1)*ub;
    lb=ones(dim,1)*lb;
end
Convergence_curve = zeros(1,Max_iter);
%Initialize the positions of salps
SalpPositions=initialization(N,dim,ub,lb);
FoodPosition=zeros(1,dim);
FoodFitness=inf;
%calculate the fitness of initial salps
for i=1:size(SalpPositions,1)
    SalpFitness(1,i)=fobj(SalpPositions(i,:));
end
[sorted_salps_fitness,sorted_indexes]=sort(SalpFitness);
for newindex=1:N
    Sorted_salps(newindex,:)=SalpPositions(sorted_indexes(newindex),:);
end
FoodPosition=Sorted_salps(1,:);
FoodFitness=sorted_salps_fitness(1);
%Main loop
l=2; % start from the second iteration since the first iteration was dedicated to calculating the fitness of salps
while l<Max_iter+1
    c1 = 2*exp(-(4*l/Max_iter)^2); % Eq. (3.2) in the paper
    for i=1:size(SalpPositions,1)
        SalpPositions= SalpPositions';
        if i<=N/2
            for j=1:1:dim
                c2=rand();
                c3=rand();
                %%%%%%%%%%%%% % Eq. (3.1) in the paper %%%%%%%%%%%%%%
                if c3<0.5 
                    SalpPositions(j,i)=FoodPosition(j)+c1*((ub(j)-lb(j))*c2+lb(j));
                else
                    SalpPositions(j,i)=FoodPosition(j)-c1*((ub(j)-lb(j))*c2+lb(j));
                end
                %%%%%%%%%%%%%%%%%%%%%%%%%%%%%%%%%%%%%%%%%%%%%%%%%%%%%%
            end
        elseif i>N/2 && i<N+1
            point1=SalpPositions(:,i-1);
            point2=SalpPositions(:,i);
            SalpPositions(:,i)=(point2+point1)/2; % % Eq. (3.4) in the paper
        end
        SalpPositions= SalpPositions';
    end
    for i=1:size(SalpPositions,1)
        Tp=SalpPositions(i,:)>ub';Tm=SalpPositions(i,:)<lb';SalpPositions(i,:)=(SalpPositions(i,:).*(~(Tp+Tm)))+ub'.*Tp+lb'.*Tm;
        SalpFitness(1,i)=fobj(SalpPositions(i,:));
        if SalpFitness(1,i)<FoodFitness
            FoodPosition=SalpPositions(i,:);
            FoodFitness=SalpFitness(1,i); 
        end
    end
    Convergence_curve(l)=FoodFitness;
    l = l + 1;
end



四、仿真结果

在这里插入图片描述

图2 麻雀算法收敛曲线

测试统计如下表所示

测试结果

测试集正确率

训练集正确率

BP神经网络

100%

95%

SSA-BP

100%

99.8%

五、参考文献及代码私信博主

《基于BP神经网络的宁夏水资源需求量预测》