图文并茂的AVL树

278 阅读4分钟

平衡二叉搜索树(Self-balancing binary search tree)又被称为AVL树(有别于AVL算法),其具有以下性质:它是一棵空树或它的左右两个子树的高度差的绝对值不超过1,并且左右两个子树都是一棵平衡二叉树。 平衡与不平衡的演示

平衡因子

某结点的左子树与右子树的高度(深度)差即为该结点的平衡因子(BF,Balance Factor).平衡二叉树上所有结点的平衡因子只可能是 -1,0 或 1。如果某一结点的平衡因子绝对值大于1则说明此树不是平衡二叉树.为了方便计算每一结点的平衡因子我们可以为每个节点赋予height这一属性,表示此节点的高度。

基础设计

首先我们可以设计出AVL树节点,并且实现一些简单通用的方法供后续操作。

/**
 * AVLTree是BST,所以节点值必须是可比较的
 */
public class AvlTree<E extends Comparable<E>>{
	private class Node{
		public E e;
		public Node left;
		public Node right;
		public int height;

		public Node(E e){
			this.e = e;
			this.left = null;
			this.right = null;
			this.height = 1;
		}
	}

	private Node root;
	private int size;

	public AvlTree(){
		root=null;
		size=0;
	}

	//获取某一结点的高度
	private int getHeight(Node node){
		if(node==null){
			return 0;
		}
		return node.height;
	}
	
	public int getSize(){
		return size;
	}

	public boolean isEmpty(){
		return size == 0;
	}
	
	/**
	 * 获取节点的平衡因子
	 * @param node
	 * @return
	 */
	private int getBalanceFactor(Node node){
		if(node==null){
			return 0;
		}
		return getHeight(node.left)-getHeight(node.right);
	}
	
	//判断树是否为平衡二叉树
	public boolean isBalanced(){
		return isBalanced(root);
	}

	private boolean isBalanced(Node node){
		if(node==null){
			return true;
		}
		int balanceFactory = Math.abs(getBalanceFactor(node));
		if(balanceFactory>1){
			return false;
		}
		return isBalanced(node.left)&&isBalanced(node.right);
	}
}

添加节点

往平衡二叉树中添加节点很可能会导致二叉树失去平衡,所以我们需要在每次插入节点后进行平衡的维护操作。插入节点破坏平衡性有如下四种情况:

LL(右旋)

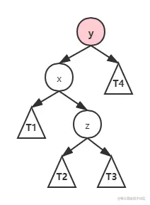
LL的意思是向左子树(L)的左孩子(L)中插入新节点后导致不平衡,这种情况下需要右旋操作,而不是说LL的意思是右旋,后面的也是一样。 LL.png

我们将这种情况抽象出来,得到下图:

LL抽象.png

我们需要对节点y进行平衡的维护。步骤如下图所示:

LL操作.png 对应代码如下所示:

/**
 * 右旋转
 */
private Node rightRotate(Node y){
	Node x = y.left;
	Node t3 = x.right;
	x.right = y;
	y.left = t3;
	//更新height
	y.height = Math.max(getHeight(y.left),getHeight(y.right))+1;
	x.height = Math.max(getHeight(x.left),getHeight(x.right))+1;
	return x;
}

RR

RR.png

我们将这种情况抽象出来,得到下图:

RR抽象.png

我们需要对节点y进行平衡的维护。步骤如下图所示:

RR操作.png

/**
 * 左旋转
 */
private Node leftRotate(Node y){
	Node x = y.right;
	Node t2 = x.left;
	x.left = y;
	y.right = t2;
	//更新height
	y.height = Math.max(getHeight(y.left),getHeight(y.right))+1;
	x.height = Math.max(getHeight(x.left),getHeight(x.right))+1;
	return x;
}

LR

image.png

RL.png

我们将这种情况抽象出来,得到下图:

LR抽象.png

我们需要对节点y进行平衡的维护。步骤如下图所示:

LL操作 (1).png

RL

RL.png

我们将这种情况抽象出来,得到下图:

RL抽象.png

我们需要对节点y进行平衡的维护。步骤如下图所示:

RL操作.png

添加节点代码

// 向二分搜索树中添加新的元素(key, value)
public void add(E e){
	root = add(root, e);
}

// 向以node为根的二分搜索树中插入元素(key, value),递归算法
// 返回插入新节点后二分搜索树的根
private Node add(Node node, E e){
	if(node == null){
		size ++;
		return new Node(e);
	}
	if(e.compareTo(node.e) < 0)
		node.left = add(node.left, e);
	else if(e.compareTo(node.e) > 0)
		node.right = add(node.right, e);
	//更新height
	node.height = 1+Math.max(getHeight(node.left),getHeight(node.right));
	//计算平衡因子
	int balanceFactor = getBalanceFactor(node);
	if(balanceFactor > 1 && getBalanceFactor(node.left)>0) {
		//右旋LL
		return rightRotate(node);
	}
	if(balanceFactor < -1 && getBalanceFactor(node.right)<0) {
		//左旋RR
		return leftRotate(node);
	}
	//LR
	if(balanceFactor > 1 && getBalanceFactor(node.left) < 0){
		node.left = leftRotate(node.left);
		return rightRotate(node);
	}
	//RL
	if(balanceFactor < -1 && getBalanceFactor(node.right) > 0){
		node.right = rightRotate(node.right);
		return leftRotate(node);
	}
	return node;
}

删除节点

      在删除AVL树节点前需要知道二分搜索树的节点删除操作【点此学习吧!】,和二分搜索树删除节点不同的是我们删除AVL树的节点后需要进行平衡的维护操作。

public E remove(E e){
	Node node = getNode(root, e);
	if(node != null){
		root = remove(root, e);
		return node.e;
	}
	return null;
}

private Node remove(Node node, E e){

	if( node == null )
		return null;
	Node retNode;
	if( e.compareTo(node.e) < 0 ){
		node.left = remove(node.left , e);
		retNode = node;
	}
	else if(e.compareTo(node.e) > 0 ){
		node.right = remove(node.right, e);
		retNode = node;
	}
	else{   // e.compareTo(node.e) == 0
		// 待删除节点左子树为空的情况
		if(node.left == null){
			Node rightNode = node.right;
			node.right = null;
			size --;
			retNode = rightNode;
		}
		// 待删除节点右子树为空的情况
		else if(node.right == null){
			Node leftNode = node.left;
			node.left = null;
			size --;
			retNode = leftNode;
		}else {
			// 待删除节点左右子树均不为空的情况
			// 找到比待删除节点大的最小节点, 即待删除节点右子树的最小节点
			// 用这个节点顶替待删除节点的位置
			Node successor = minimum(node.right);
			successor.right = remove(node.right, successor.e);
			successor.left = node.left;

			node.left = node.right = null;

			retNode = successor;
		}
	}
	if(retNode==null)
		return null;
	//维护平衡
	//更新height
	retNode.height = 1+Math.max(getHeight(retNode.left),getHeight(retNode.right));
	//计算平衡因子
	int balanceFactor = getBalanceFactor(retNode);
	if(balanceFactor > 1 && getBalanceFactor(retNode.left)>=0) {
		//右旋LL
		return rightRotate(retNode);
	}
	if(balanceFactor < -1 && getBalanceFactor(retNode.right)<=0) {
		//左旋RR
		return leftRotate(retNode);
	}
	//LR
	if(balanceFactor > 1 && getBalanceFactor(retNode.left) < 0){
		node.left = leftRotate(retNode.left);
		return rightRotate(retNode);
	}
	//RL
	if(balanceFactor < -1 && getBalanceFactor(retNode.right) > 0){
		node.right = rightRotate(retNode.right);
		return leftRotate(retNode);
	}
	return retNode;
}