经济学

238 阅读4分钟

一:需求

1:需求

概念:需求(Demand):表示在某一定时间内,在各种可能的价格水平下,个人愿意并且能够买的某种商品的数量。

两个要点:第一、个人有购买的意愿;第二、个人是有支付能力

2:影响需求的因素

  • 相关商品的价格
    • 替代品之间:一种商品的价格与另一种替代性商品的需求数量之间存在着负相关关系。
    • 互补品之间:一种商品价格与另一种互补品的需求数量之间存在正相关关系。
  • 消费者收入
    • 随着人们收入的增加,人们对正常品的消费是增加的;劣等品对于消费者而言往往是不会热衷的商品,因此需求与收入之间呈负相关。
  • 价格预期
    • 预期价格的高低与消费者当前消费,存在同方向变动关系。即预期价格上升,消费者当前需求将会增加,反之,则相反。

3:需求规律

需求规律 :价格上升,需求量减少,即价格下降,需求量增加

4:需求量的变化与需求的变化

image.png

image.png

二:供给

1:供给

供给:是在一定时期内,在一定价格条件下企业愿意生产并销售某种商品的数量。

2:影响供给的因素

image.png

3:供给的规律及例外

image.png

4:供给量的变化与供给的变化

价格越高,供给量越高,价格之外的元素影响需求

image.png

三:市场均衡与供求规律

1:均衡价格与均衡数量

均衡是指“选定的”一组内在联系的变量经过彼此调整,使这些变量所构成的模型不存在内在变化倾向。

市场均衡即供求相等时的市场状态。

市场达致均衡时的价格为均衡价格,市场达致均衡时的数量为均衡数量。

2:供求规律

image.png

3:均衡价格的应用

image.png

四:弹性

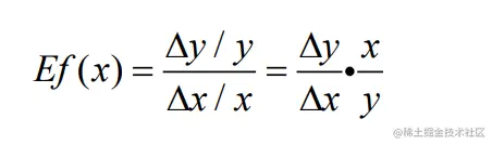
1:弹性的含义

弹性是指因变量对自变量变动的敏感程度。

image.png

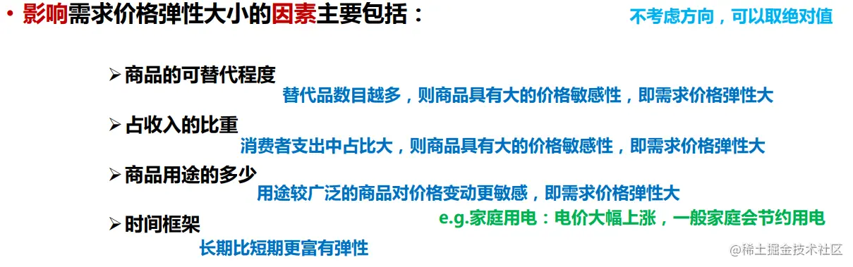
2:需求的价格弹性

需求价格弹性是指需求量变动对于商品本身价格变动的敏感程度。表示为需求量变动的百分比除以价格变动的百分比

image.png

image.png

3:弹性狐计算

image.png

4:点弹性计算

image.png

五:偏好与效用

1:偏好

消费者偏好(consumer’s preference)是消费者根据自己的意愿,对可能消费的 商品组合进行的排序。

image.png

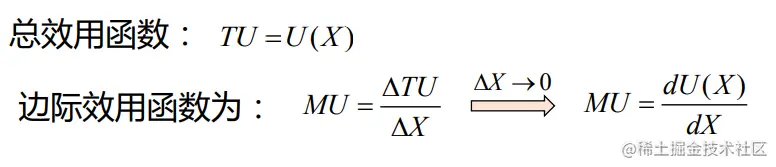
2:效用

消费者从商品和服务的消费中所得到的满足程度称为效用(Utility)。

总效用是指消费者在一定时期内消费一定数量的商品或服务所得到的总满足程度或效用总量。

边际效用是指一定时期内消费者每增加(或减少)一单位商品或服务的消费时所得到的总效用的增加(或减少)量,也就是消费最后一单位商品或服务所带来效用量的增量。

image.png

image.png

3:边际效用的递减规律

image.png

4:无差异曲线与边际替代率

无差异曲线

image.png 特征:

image.png

image.png

image.png

边际替代率

image.png

image.png

image.png

六:预算约束

1:预算约束线

预算约束:对消费者可以支付得起的消费组合的限

image.png

image.png

image.png

image.png

2:预算约束线的移动

image.png

image.png

image.png

image.png

第三讲:企业时如何决策的

1:理性的企业追求---利润最大化

image.png

1.1:生产要素

企业要组织生产,就必须投入一定的人力、物力和财力。我们把组织生产所必需的一切人力、物力和财力,称为生产要素

image.png

1.2:生产函数

生产函数表示在一定时期内,在技术水平不变的情况下,生产中所使用的各种生产要素的数量与所能生产的最大产量之间的关系。

边际收益递减 image.png

image.png

2:企业的收益分析

2.1:收益的短期变化规律:边际收益递

image.png

image.png

image.png

2.2:收益的长期变化规律:规模报酬

规模收益,又称规模报酬,指在技术水平与要素价格不变条件下,所有生产要素都按同一比例变动所引起的产量(收益)的变动状态

image.png

规模经济

image.png

3:企业的成本分析

3.1:成本的分类

显性,隐姓,机会成本

image.png

image.png

image.png

可变,固定,总成本

image.png

平均成本与边际成本

image.png

平均成本也就是总成本除以产量

3.2:成本函数

image.png

第十二讲:一国经济如何增长

1:如何衡量经济状况

1.1:什么是GDP

image.png

1.2:GDP如何核算

生产法

image.png

支出法

image.png

收入法

image.png

2:名义GDP与实际GDP

image.png

第十四讲 失业与通货膨胀

1:失业

定义: 是指在当前工资水平下愿意工作的人无法找到工作的一种状态。

image.png

2:失业率

image.png

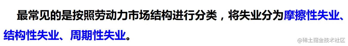
3:失业的类型

image.png

摩擦性失业

image.png

结构性失业

image.png

周期性失业

image.png

image.png

4:充分就业

image.png

5:失业的影响

image.png

image.png

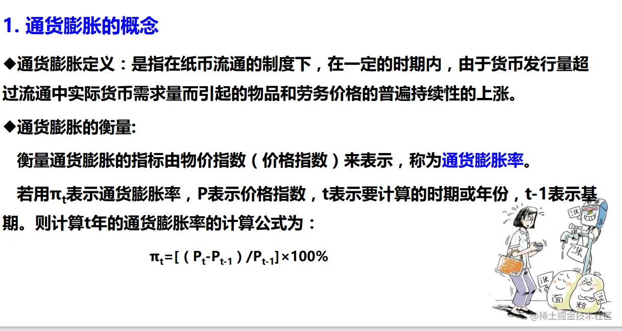
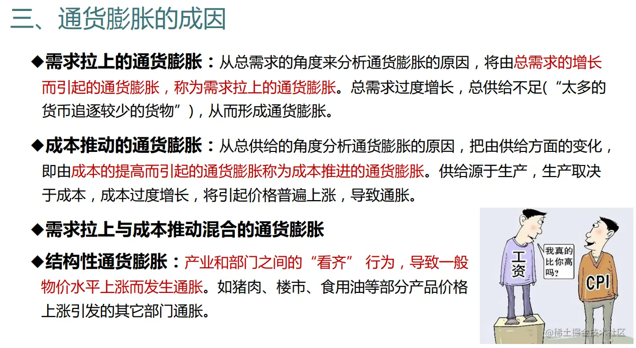
6:通货膨胀

image.png

image.png

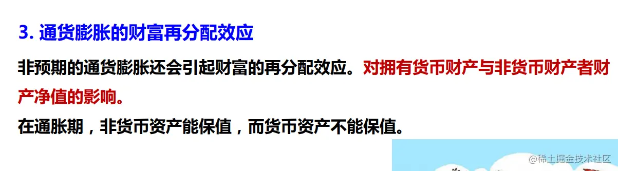
通货膨胀经济效应

image.png

image.png

image.png

image.png

曲线

image.png

image.png

image.png