信息论知识基础

484 阅读2分钟

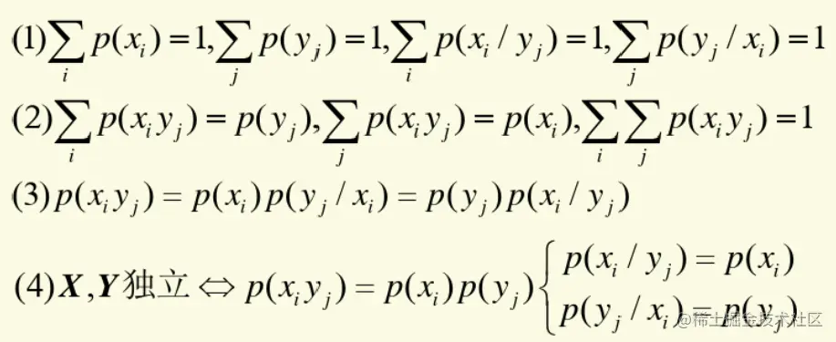
第0章:概率论基础

第一章:引论

通信系统模型

通信系统的基本任务要求

  • 可靠:要使信源发出的消息经过传输后,尽可能准确的、不失真或限定失真地再现在接收端。
  • 有效:用尽可能短的时间和尽可能少的设备来传输最大的消息。

信息、消息和信号

  • 信息:一个抽象的概念,可以定量的描述。信息、物质和能量是构成一切系统的三大要素。
  • 消息:是信息的载体,相对具体的概念,如语言、文字、数字、图像。
  • 信号:表示信息的物理量,电信号的幅度、频率、相位等。

信源的分类

  • 连续信源:是指发出在时间和幅度上都是连续分布的连续消息的信源,如图像、图形等都是连续消息。
  • 离散信源:是指发出在时间和幅度上都是离散分布的离散消息的信源,如文字、数字、数据等符号都是离散消息。

信息论的基本任务

  • 设计有效且可靠的通信系统。

信息论的局限性

香农信息论适用于能够进行定量描述的信息,对难于进行定量描述的信息是无能为力的。

第二章:熵及其性质

自信息 I(xi)

  1. 自信息应当满足的性质
  • 非负性
  • 概率越大的事,其自信息越小。
  • 概率为1,自信息为0,概率为0,自信息为无穷大。
  • 两个独立事件的联合信息量等于它们分别的信息量之和。
  1. 自信息的公式及意义。
  2. 自信息量的单位
  3. 自信息例题

离散信源的信息熵H(X)

自信息的数学期望为信源的平均信息量。

  1. 信息熵例题
  2. 信源熵的意义
  3. 联合熵与条件熵
  4. 条件熵例题
  5. 联合熵与条件熵之间的推导公式