LeetCode第24题:两两交换链表中的节点

167 阅读1分钟

题干

给定一个链表,两两交换其中相邻的节点,并返回交换后的链表。

你不能只是单纯的改变节点内部的值,而是需要实际的进行节点交换。

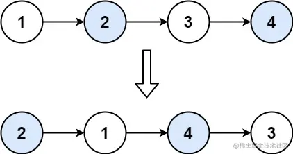
示例 1:

img

输入:head = [1,2,3,4]
输出:[2,1,4,3]

解法:迭代

我们使用迭代的方法,设置三个指针,其中还需要设置一个前指针,三个指针进行操作,最后返回的是我们定义的前指针的next节点,就是我们当前的head节点。因为我们下面代码中使用head节点进行移动。

执行用时:72 ms, 在所有 JavaScript 提交中击败了97.05%的用户

内存消耗:37.8 MB, 在所有 JavaScript 提交中击败了85.16%的用户

/**
 * Definition for singly-linked list.
 * function ListNode(val, next) {
 *     this.val = (val===undefined ? 0 : val)
 *     this.next = (next===undefined ? null : next)
 * }
 */
/**
 * @param {ListNode} head
 * @return {ListNode}
 */
var swapPairs = function (head) {
    let dummy = new ListNode(1);
    dummy.next = head;
    let prev=dummy
    while (head!=null&&head.next!=null) {
        let current=head;
        let next=head.next;
        // 交换位置
        current.next = next.next;
        next.next = current;
        // 交换完成以后将上一个指针位置指向当前的第一个节点
        prev.next = next
        // 移位
        prev = current;
        head=current.next
    }
    return dummy.next
};